![]()
喝酒臉紅,是酒精性臉紅反應。半數亞洲人在飲酒後會出現這種亞洲紅臉,尤其是中國,在其他種族裡卻很少見到,這是基因在作怪,亞洲人乙醛脫氫酶(ALDH2)基因出現變異,導致體內不足,歐美人士卻極少有變異,乙醛脫氫酶相對較多。
東亞常見的兩種基因變異(ALDH2和ADH1B)會降低一個人對酒精的耐受性,與飲酒後面部發紅有關,缺少它會降低人體分解乙醛的能力,從而導致乙醛在血液中積聚,從而引起人體對毒素的反應,即面紅耳赤。更值得注意的是,ALDH2突變在東亞人群中十分普遍。
早期研究表明,黃種人60%不能喝酒,國內曾有調查表明,乙醛脫氫酶缺陷型者,女性比男性所佔比例大,南方人比北方人佔的比例大。這或許是男性比女效能喝,北方人比南方人酒量大的原因之一。
在 Science Advances 上發表過一篇題為" Defined lifestyle and germline factors predispose Asian populations to gastric cancer "的研究論文。
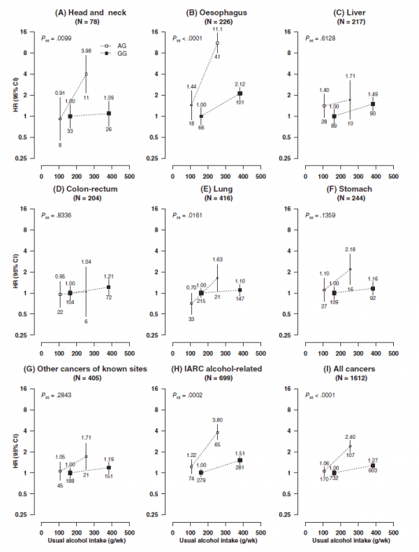
研究表明,ALDH2基因突變的人,也就是喝酒臉紅的人,即使只是喝少量飲酒,患上胃癌的風險也會大大增加。近日,北京大學聯合英國牛津大學的研究人員在《國際癌症雜誌》" IJC "期刊上發表了一篇題為" Alcohol metabolism genes and risks of site-specific cancers in Chinese adults:An 11-year prospective study "的研究論文,分析了中國人基因突變低酒精攝入量與癌症之間的關係。
研究發現,即使少量喝酒,也可以直接導致多種癌症發生,並且這些風險會在乙醛脫氫酶缺陷人群中進一步增加。
![]()
眾所周知,酒精與一系列腫瘤有關,包括乳腺癌、腸癌、口腔癌、咽喉癌和肝癌等。牛津大學的早期研究表明,從不喝酒或只是偶爾喝一口的人患某些特定性腫瘤的可能性要低31%。
在該研究中,研究人員追蹤了中國CKB資料庫中的512726名中國男性和女性,平均時間長達11年。使用了一種新穎的方法,研究了與低酒精攝入量相關的兩種基因突變(ALDH2和ADH1B),這兩種突變在中國和東亞人群中很常見,經常作為酒精攝入量的代表,屬於天生遺傳因素,獨立於其他生活方式因素。
研究人員透過問卷形式收集了參與者的飲酒習慣和近十多年的健康記錄,並採集血樣長期儲存。在11年的隨訪中,共有9339名參與者患上了癌症。資料分析發現,攜帶一到兩個 ADH1B 的男性患癌症的可能性降低13%-25%。尤其是與酒精相關的特定癌症,如頭部、頸部和食道的腫瘤。
此外,攜帶兩個 ALDH2 的男性很少喝酒,整體患癌症的風險降低了14%,患食道癌、結腸癌、直腸癌和肝癌的風險降低了31%。
對於那些至少有一個突變仍然經常飲酒的人,頭頸癌和食道癌的發病率明顯更高,這意味著無法分解乙醛可能與癌症風險增加直接相關。對於那些從不喝酒的人,攜帶一份 ALDH2 與癌症風險增加之間沒有關聯。
重要的是,考慮到吸菸、飲食、活動、體重和癌症家族史,研究結果仍然保持不變。
在女性中,只有2%經常飲酒,但研究發現,這些突變與女性癌症風險的增加無關。這表明男性攜帶者的患癌風險降低,與他們喝的少直接相關。
早期劍橋大學的研究表明,乙醛水平的升高會直接損失DNA,為該研究提供一個合理的致癌機制,特別是在那些無法有效清除乙醛的人群中。
總之,該研究強調了即使少量喝酒,也可以直接導致多種癌症發生,在不能正常代謝酒精的遺傳性低酒精耐受性人群中,這些風險可能會進一步增加,為戒酒增加了一個強有力的證據。
【來源:中國網醫療頻道】
