語 文
高考全國卷作文評分規則
一、基礎等級
基礎等級分內容和表達兩項,基礎等級的評分,以題意、內容、語言、文體為重點,全面衡量。
(一)內容項(20分)——題意、內容
其重點是題意、內容。對於內容要綜合考慮,對於材料的把握雖然符合題意,但文章不好、中心基本明確、內容單薄、感情基本真實的,可以在三等上打分。
考生的考卷中所述論據的真實性要特別注意,如果是編造,或者有明顯錯誤,或者不能佐證文章觀點的,要適當扣分。
(二)表達項(20分)——語言、文體和結構、卷面
其重點是作文的結構、語言、文體、卷面等,但也要綜合考量。
1.根據表達項的細則,在“內容”評等的基礎上,除了在相應的等級上評分外,還可以考慮在上一等或下一等打分。
2.在“內容”等級判分的基礎上,表達項原則上不跨等給分,如內容判三等,表達不能在一等給分,只能在三等或二等或四等給分。
二、發展等級(20分)
基礎等級分要與發展等級分相匹配,發展等級分不能跨越基礎等級的得分等級。
1.發展等級分原則上隨內容或表達的等次給分,如內容二等,表達三等,發展等級一般可在二等給分。
2.發展等級一般不在內容或表達的下一等給分,如內容一等,表達二等,發展等級一般在一等或二等給分。
3.發展等級在內容給分的基礎上,一般不跨等給分,如內容三等,發展等級不能在一等給分。
4.內容在四等的,“發展等級”可以給1到2分;確為抄襲的,“發展等級”不給分。
發展等級評分。不求全面,可根據“特徵”4項16點中若干突出點按等評分。
1.深刻:①透過現象看本質②揭示事物內在的因果關係③觀點具有啟發作用
2.豐富:④材料豐富⑤論據充足⑥形象豐滿⑦意境深遠
3.有文采:⑧用詞貼切⑨句式靈活⑩善於運用修辭手法 ⑾ 文句有表現力
4.有創意:⑿ 見解新穎 ⒀ 材料新鮮 ⒁ 構思精巧 ⒂ 推理想象有獨到之處 ⒃ 有個性特徵
附表:高考作文等級評分細則
數 學
一、數學閱卷流程
二、分題型展示
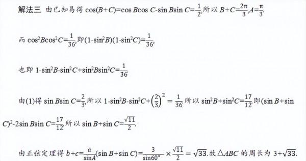
題型一、三角形解答題
高考真題:
(一)評分標準展示——看細節
(二)一題多解鑑賞——擴思路
(三)閱卷老師提醒——明原因
三角函式題目屬於高考題中的低中檔題,但每年考生的得分情況都不理想,如公式記憶不清、解題方法不明、解題方法選擇不當等問題屢屢出現,不能保證作答“會而對,對而全,全而美”.下面就以2017年高考數學全國卷Ⅰ理科第17題為例進行分析說明。
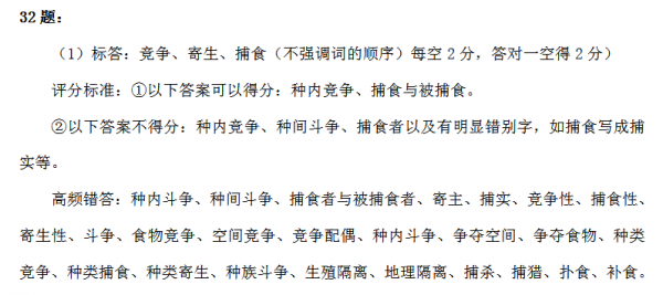
1.知識性錯誤
2.策略性錯誤
(四)新題好題演練——成習慣
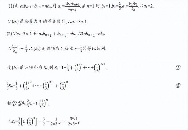
題型二、數列解答題
(2016全國,文17)(本小題滿分12分)已知{an}是公差為3的等差數列,數列{bn}滿足b1=1,b2=,anbn+1+bn+1=nbn。
(1)求{an}的通項公式;(2)求{bn}的前n項和。
(一)評分標準展示——看細節
(二)一題多解鑑賞——擴思路
解法二
(三)閱卷老師提醒——明原因
(四)新題好題演練——成習慣
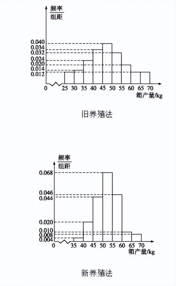
題型三、機率與統計解答題
(2017全國2,文19)(本小題滿分12分)海水養殖場進行某水產品的新、舊網箱養殖方法的產量對比,收穫時各隨機抽取了100個網箱,測量各箱水產品的產量(單位:kg),其頻率分佈直方圖如下:
(1)記A表示事件“舊養殖法的箱產量低於50 kg”,估計A的機率;
(2)填寫下面列聯表,並根據列聯表判斷是否有99%的把握認為箱產量與養殖方法有關;
|
箱產量<50 kg |
箱產量≥50 kg |
|
|
舊養殖法 |
||
|
新養殖法 |
(3)根據箱產量的頻率分佈直方圖,對這兩種養殖方法的優劣進行比較。
(一)評分標準展示——看細節
(二)閱卷老師提醒——明原因
1.正確閱讀理解,弄清題意:與機率統計有關的應用問題經常以實際生活為背景,且常考常新,而解決問題的關鍵是理解題意,弄清本質,將實際問題轉化為數學問題求解。
2.對互斥事件要把握住不能同時發生,而對於對立事件除不能同時發生外,其並事件應為必然事件,這些也可類比集合進行理解,具體應用時,可把所有試驗結果寫出來,看所求事件包含哪幾個試驗結果,從而斷定所給事件的關係。
3.用頻率分佈直方圖解決相關問題時,應正確理解圖表中各個量的意義,識圖掌握資訊是解決該類問題的關鍵。
4.某些資料的變動對中位數可能沒有影響。中位數可能出現在所給資料中,也可能不在所給資料中。當一組資料中的個別資料變動較大時,可用中位數描述其集中趨勢。平均數與方差都是重要的數字特徵,是對總體的一種簡明的描述,它們所反映的情況有著重要的實際意義,平均數、中位數、眾數描述其集中趨勢,方差和標準差描述其波動大小。
//////////
5.獨立性檢驗的注意事項
(1)在列聯表中注意事件的對應及相關值的確定,不可混淆。K2的觀測值k的計算公式很複雜,在解題中易混淆一些資料的意義,代入公式時出錯,而導致整個計算結果出錯。
(2)對判斷結果進行描述時,注意物件的選取要準確無誤,應是對假設結論進行的含機率的判斷,而非其他。
(三)新題好題演練——成習慣
(2018四川涼山診斷性檢測)為了解男性家長和女性家長對高中學生成人禮儀式的接受程度,某中學團委以問卷形式調查了50位家長,得到如下統計表:
|
男性家長 |
女性家長 |
合計 |
|
|
贊成 |
12 |
14 |
26 |
|
無所謂 |
18 |
6 |
24 |
|
合計 |
30 |
20 |
50 |
(1)據此樣本,能否有99%的把握認為“接受程度”與家長性別有關?說明理由;
(2)學校決定從男性家長中按分層抽樣方法選出5人參加今年的高中學生成人禮儀式,並從中選2人交流發言,求發言人中至多一人持“贊成”態度的機率。
參考資料
|
P(K2≥k) |
0.05 |
0.010 |
|
k |
3.841 |
6.635 |
探討高考數學命題人如何編定機率統計的試題
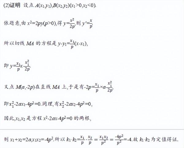
題型四、立體幾何解答題
(2017全國3,文19)(本小題滿分12分)如圖,四面體ABCD中,△ABC是正三角形,AD=CD。
(1)證明:AC⊥BD;
(2)已知△ACD是直角三角形,AB=BD。若E為稜BD上與D不重合的點,且AE⊥EC,求四面體ABCE與四面體ACDE的體積比。
(一)評分標準展示——看細節
(二)一題多解鑑賞——擴思路
(三)閱卷老師提醒——明原因
1.證明線面垂直時,不要忽視“面內兩條直線為相交直線”這一條件,如第(1)問中,學生易忽視“DO∩BO=O”,導致條件不全而減分;
2.求四面體的體積時,要注意“等體積法”的應用,即合理轉化四面體的頂點和底面,目的是底面積和頂點到底面的距離容易求得;
3.注意利用第(1)問的結果:在題設條件下,如果第(1)問的結果第(2)問能用得上,可以直接用,有些題目不用第(1)問的結果甚至無法解決,如本題中,由(1)及題設知∠ADC=90°。
4.要注意書寫過程規範,計算結果正確。書寫規範是計算正確的前提,在高考這一特定的環境下,學生更要保持規範書寫,力爭一次成功,但部分學生因平時習慣,解答過程中書寫混亂,導致失誤過多。
(四)新題好題演練——成習慣
題型五、解析幾何解答題
(一)評分標準展示——看細節
(二)一題多解鑑賞——擴思路
(三)閱卷老師提醒——明原因
(四)新題好題演練——成習慣
題型六、函式與導數解答題
(2017全國2,文21)(本小題滿分12分)設函式f(x)=(1-x2)ex。
(1)討論f(x)的單調性;
(2)當x≥0時,f(x)≤ax+1,求a的取值範圍。
(一)評分標準展示——看細節
(二)一題多解鑑賞——擴思路
解法二 設g(x)=(x2-1)ex+ax+1,x≥0,
則g(x)≥0恆成立.
g\\\\'(x)=(x2+2x-1)ex+a.
g″(x)=(x2+4x+1)·e2>0,g\\\\'(x)在區間[0,+∞)內單調遞增.
當a≥1時,g\\\\'(x)≥g\\\\'(0)=-1+a>0,此時g(x)在區間[0,+∞)內單調遞增,g(x)≥g(x)=0,符合題意.
當a<1時,g\\\ p="" style="max-width: 100%;box-sizing: border-box;font-size: 14px;overflow-wrap: break-word !important;" span="" x1="ln(e+a),0,
綜上所述,a的取值範圍是[1,+∞).
解法三 建構函式g(x)=(1-x2)ex-ax-1,則g\\\\'(x)=(-x2-2x+1)ex-a.
因為g(0)=0,故一定存在x0>0,使得x∈[0,x0]時,g\\\\'(x)≤0.(若不然,即任意x0>0,x∈[0,x0]時g\\\\'(x)>0,則x∈(0,x0),g(x)>0時,不符合題意).從而有g\\\\'(0)=1-a≤0,即a≥1.
下面證明a=1時,g(x)=(1-x2)ex-x-1≤0(x≥0)恆成立.由於g\\\\'(x)=(-x2-2x+1)ex-1,g″(x)=(-x2-4x-1)ex<0,知g\\\\'(x)在[0,+∞)內單調遞減,且g\\\\'(0)=0,故g\\\\'(x)≤0,[g(x)]max=g(0)=0≤0,故a的取值範圍是[1,+∞).(也可直接證明a≥1時,g(x)=f(x)-ax-1≤0成立)
(三)閱卷老師提醒——明原因
1.利用導數研究函式或不等式問題時,正確求導是第一步,也是關鍵一步,而學生往往開始求導就出現錯誤,後面的運算全部變成了無用功;
2.分類討論解決問題時,首先要明確分類的依據和標準;分類討論思想是高中數學中的一種重要思想,也是學生的難點,關鍵要搞清“為什麼要討論?”“如何去討論”,如本題中,需要討論a與0,1的大小關係。
3.要注意書寫過程規範,計算結果正確。書寫規範是計算正確的前提,在高考這一特定的環境下,學生更要保持規範書寫,力爭一次成功,但部分學生因平時習慣,解答過程中書寫混亂,導致失誤過多。
(四)新題好題演練——成習慣
(2018河北保定一模)已知函式f(x)=x+.
(1)判斷函式f(x)的單調性;
(2)設函式g(x)=ln x+1,證明:當x∈(0,+∞),且a>0時,f(x)>g(x).
(1)解 因為f\\\\'(x)=1-(x≠0),
①若a≤0,f\\\\'(x)>0,
∴f(x)在(-∞,0),(0,+∞)為增函式;
②若a>0,則f\\\\'(x)>0⇒x2-a>0⇒x<-或x>,
∴函式f(x)的單調遞增區間為(-∞,-),(,+∞),
單調遞減區間為(-,0),(0,)。
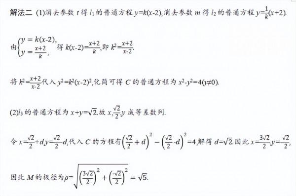
題型七、引數方程與極座標解答題
(一)評分標準展示——看細節
(二)一題多解鑑賞——擴思路
(三)閱卷老師提醒——明原因
1.基本的定義、公式,方法要掌握牢固:本題第(1)問考查消參求軌跡方程的問題,屬於基本問題,第二問求解點在極座標系下的極徑,屬於基礎概念的考查,但是要求對基本的概念和公式能夠熟練理解和掌握。
2.注意利用第(1)問的結果:在題設條件下,如果第(1)問的結果第(2)問能用得上,可以直接用,有些題目不用第(1)問的結果甚至無法解決,如本題即是在第(1)問的基礎上進行計算求解極徑問題。
3.寫全得分關鍵:寫清解題過程的關鍵點,有則給分,無則沒有分,同時解題過程中計算準確,是得分的根本保證。如本題第(1)問要寫出直角座標方程,注意所得的軌跡方程不包括y軸上的點。第(2)問中方程的思想很重要,聯立極座標方程求解極徑、極角體現出方程思想的無處不在。
(四)新題好題演練——成習慣
題型八、不等式選講解答題
(2017全國3,文23)(本小題滿分10分)已知函式f(x)=|x+1|-|x-2|。
(1)求不等式f(x)≥1的解集;
(2)若不等式f(x)≥x2-x+m的解集非空,求m的取值範圍。
(一)評分標準展示——看細節
(二)一題多解鑑賞——擴思路
(三)閱卷老師提醒——明原因
1.基本的定義、公式、方法要掌握牢固:本題第(1)問考查絕對值不等式的解法,屬於基本問題,第(2)問求解引數的取值範圍,要求同學們能夠結合恆成立的條件進行靈活變形處理。
2.注意利用第(1)問的結果:在題設條件下,如果第(1)問的結果第(2)問能用得上,可以直接用,有些題目不用第(1)問的結果甚至無法解決,如本題即是將原問題轉化為求解最值的問題來確定引數的取值範圍。
3.寫全得分關鍵:寫清解題過程的關鍵點,有則給分,無則沒有分,同時解題過程中計算準確,是得分的根本保證.如本題第(1)問要寫出分段函式的形式,分段求解不等式的解集。第(2)問中轉化的思想很重要,將原問題轉化為求解最值的問題即可,轉化的思想是高中數學的重要數學思想之一。
(四)新題好題演練——成習慣
三、閱卷基本建議
高考數學閱卷對知識點和步驟的把握,公正客觀,本著給分有理扣分有據的原則,尋找得分點,否則寫再多也是徒勞的。但是也並非完全無情,比如有少數考生答題錯位,會被要求作為異常試卷提交,由專家組特殊處理,而不是直接判了零分等。為此,總結如下解題中需要把握的準則:
1.閱卷速度以秒計,規範答題少丟分
高考閱卷評分標準非常細,按步驟、得分點給分,評閱分步驟、採“點”給分。關鍵步驟,有則給分,無則沒分。所以考場答題應儘量按得分點、步驟規範書寫。閱卷中強調關注結果,過程可採用不同的方法闡述。
2.不求巧妙用通法,通性通法要強化
高考評分細則只對主要解題方法,也是最基本的方法,給出詳細得分標準,所以用常規方法往往與參考答案一致,比較容易抓住得分點。閱卷中把握見點得分,踩點得分,上下不牽連的原則。
3.乾淨整潔保得分,簡明扼要是關鍵
若書寫整潔, 表達清楚,一定會得到合理或偏高的分數,若不規範可能就會吃虧。若寫錯需改正,只需劃去,不要亂塗亂劃,否則易丟分。
4.狠抓基礎保成績,分步解決克難題
(1)基礎題爭取得滿分。涉及的定理、公式要準確,數學語言要規範,仔細計算,爭取前3個解答題及選考不丟分。
(2)壓軸題爭取多得分。第(1)問一般難度不大,要保證得分,第(2)問若不會,也要根據條件或第(1)問的結論推出一些結論,可能就是得分點。
英 語
英語作文評分細則
一、評分細則
高考英語書面表達題(作文題)的考查要點及評分原則:準確運用語法、詞彙、拼寫、標點。使用某些句型、短語、清楚地表達自己的意思,寫出流暢易懂的短文。
評分主要從以下4個方面考慮:
1.內容要點 (content points) 。
2.運用詞彙和語法結構的數量。
3.詞彙的準確運用與句子的結構把握 (accuracy of vocabulary and structures) 。
4.上下文的連貫性(coherence)。
附表:英語作文等級評分細則
注意第三條,詞數超出範圍也會扣分!同學們要嚴格遵守題目要求!
物 理
評分原則
1.等價給分:高考的評分標準中往往會給出一題的多種解答,以及每種解答中每一步驟的給分原則。只要公式是一級公式,也確實能推出正確答案的,就給滿分。
2.只看對的,不看錯的:高考閱卷時,對於必要的公式,高考的閱卷方式是,只要與本題有關的公式都寫出來了,而且答案正確,那麼就給滿分。
3.不重複扣分:指在同一道題目中,如果一個錯誤犯了兩次,那麼只按一次來扣分。這也是物理閱卷與數學不一樣的地方,物理閱卷認為,錯誤只在第一問,第二問的過程沒錯,結果的錯誤也僅僅是第一問造成的。
4.只看物理公式和答案,不看數學運算過程:在物理試卷中,能不出現數學運算就不要出現,因為只有公式和最後的答案是給分點。
化 學
化學用語的評分細則
一、化學用語規則
化學Ⅱ卷40%左右的答案要用化學用語表述,而部分同學化學用語使用不過關,且沒有引起足夠的重視,而高考評分細則對化學用語的使用要求相當嚴格,如:
(1)化學方程式、離子方程式,不寫反應條件扣一半的分,不配平或產物、反應物的化學式有一處寫錯不得分,
“
”和“===”錯用不得分,“↑”或“↓”符號該標出之處漏標酌情扣分。
(2)熱化學方程式不註明各物質的聚集狀態或焓變數值不註明、計算錯誤、不帶單位、該註明“-”號而漏寫均判為不得分。
(3)將化學式寫成名稱、將有機物結構簡式寫成分子式、將離子方程式寫成化學方程式均不得分。
二、化學簡答與計算評分細則
部分同學不注意文字表達的簡潔性和準確性,答題時書寫廢話,既浪費時間又容易造成扣分,在審題過程中對試題的背景理解不透徹,答案偏離試題要求,或者書寫字型潦草出現錯字、白字等,而對於計算該有過程而未體現解題過程,計算結果無單位或不注意有效數字的問題,高考評分都有明確規定。
(1)簡答題出現科學性錯誤,該空不得分;
(2)出現錯別字且錯別字是關鍵字該空不得分;
(3)簡答不全面得一半分;
(4)關於實驗設計的簡答缺少步驟、現象和結論中的一部分,要分步得分,只能得部分分;
(5)化學計算的表示式錯誤或計算資料錯誤不給分,缺少單位扣一半分,不注意有效數字酌情減分。
三、多答案選擇題的給分原則
Ⅱ卷的選擇題可能有一個或多個選項符合題意,但答案中只要有一個錯誤選項則不給分,答案不完整的得相應分數。
//////////
四、不規範答題的具體表現
⑴物質的名稱、化學式、結構簡式等書寫不準確。如要求寫“化學式”,卻寫成結構簡式;要求寫“含鄰二取代苯環結構”的同分異構體簡式,卻寫成了間位或對位。
⑵基本有機物的結構式(結構簡式)書寫不規範。如乙烯的結構簡式寫成C2H4或CH2CH2。
⑶有機化學方程式書寫不完整不規範,有的漏寫小分子,如酯化反應方程式漏寫水分子;結構簡式多碳少碳、多氫少氫;化學式多上標下標等。
⑷專業用語不合要求,不清楚或出現錯別字。如“消去反應”寫成“消除反應”或只寫“消去”;“酯化反應”寫成“脂化反應”;“取代反應”寫成“替代反應”。
⑸題幹明確要求“用化學方程式表示出一種重要用途”,卻依然用“制塑膠”、“制聚乙烯”、“制乙醇”等文字表述。
⑹表示化學反應速率時,必須明確用何種物質表示該反應速率;計算反應速率時,若容器的容積不是1升,不要誤當成1升。
⑺對於高考Ⅱ卷中的選擇、填空題,做題應慎之又慎,逐項分析,嚴防多選。
生 物
生物大題評分細則
歷 史
評分細則
真題回顧1
(2016全國卷I T40)閱讀材料,完成下列要求。(25分)
材料一:清朝康、雍、乾長達一個多世紀中,社會總體穩定,清政府取消了人頭稅,根據耕地面積確定稅額,減輕了下層百姓負擔。農業上普遍採用了輪作、複種、多熟等農作制。玉米、甘薯等耐寒、耐旱、高產作物不斷推廣,人們將林木覆蓋的山地和草原廣為開墾,人口從清初的1.8億增加到鴉片戰爭前夕的4億之眾,引起了一系列變化:一些地區“遊手好閒者更數十倍於前”“田地責少,寸土為金”,水土流失和草原沙化現象凸顯;農業人均收益遞減,各地民變此起彼伏。——摘編自李龍潛《明清經濟史》
材料二:為解決人口壓力,康有為認為,“西北諸省土曠人稀,東三省、蒙古、新疆疏曠益甚,人跡既少……早謀移徙”。嚴復則認為興辦現代實業較墾荒闢田有效得多。到民國時期,有人認為,“人口增加是無止息的,食料的增加是越來越困難的,即使我們能開墾荒地、改良農業、增加生長,總是趕不上人口增加的快”;至於工業化一途,因需要大量投資,短期內難以搞成。因此很多人認為,解決人口問題的“治本方法”是“遲婚與節育”。——據《康有為全集》等
評分細則
(1)根據材料一併結合所學知識,說明清中期人口膨脹的原因及其影響。(12分)
評分標準:共12分,原因、影響各6分。
原因:分5點,答出任意有三點即可,可以針對性抄原材料。
①統一與穩定(或社會總體穩定,或國家統一)。
②耕地面積增加(或土地開墾,或抄材料:人們將林木覆蓋的山地和草原廣為開墾)。
③精耕細作(農業生產技術進步;耕作制度進步;或抄材料:普遍採用了輪作、複種、多熟等農作制)。
④高產作物的推廣(抄材料:玉米、甘薯等耐寒、耐旱、高產作物不斷推廣)。
⑤稅收制度的變革(抄材料:政府取消了人頭稅)。
影響:只答負面影響,答積極影響的不給分;抄材料給分,分3點。
①人地關係緊張(抄材料:“遊手好閒者更數十倍於前”“田地責少,寸土為金”);
②土地過度開發,環境破壞(抄材料:水土流失和草原沙化現象凸顯);
③貧困化,社會矛盾加劇(抄材料:農業人均收益遞減,各地民變此起彼伏)。或者答:資料緊張;環境破壞;水土流失和草原荒漠化;社會不穩定。
(2)根據材料二並結合所學知識,概括近代學者緩解人口壓力的主張,並加以簡要評價。(13分)
評分標準:主張7分(一點2分,兩點4分,三點7分)。
①向人口密度低的地區移民(抄材料:西北諸省土曠人稀,東三省、蒙古、新疆疏曠益甚,人跡既少……早謀移徙);
②發展實業吸收勞動力(發展實業;發展經濟;或抄材料:興辦現代實業較墾荒闢田有效得多);
③增加耕地,改良農業生產(開墾荒地);
④節制生育(計劃生育;晚婚晚育;或抄材料:遲婚與節育)。
評價:標準是可以總體評價,也可以就主張分別評價。
總體評價分積極、消極各3分;分別評價每個人積極、消極各1分,分0、1、2、3、4、5、6分七檔。
總體評價:多角度提出緩解人口壓力的方法,為後世提供了借鑑;有一定的歷史侷限性。
分別評價:康有為的主張是緩解人口壓力的傳統方法,但向生態環境脆弱地區大量移民不可行;嚴復的主張符合時代發展方向,但當時條件尚不具備;節制生育有可取之處,但未認識到人口因素的積極面。
真題回顧2
(2016 全國卷I T45)【歷史——選修1:歷史上重大改革回眸】(15分)
材料:南北朝時,士族族譜是選任官員的重要依據。唐朝初年,舊士族雖已沒落,但清河崔氏、范陽盧氏等數家所謂“山東士族”,仍憑藉其祖先的影響,享有崇高的社會地位。這些家族編寫族譜,標榜為華夏“高門”,自詡“家風”優良,相互間通婚。唐初那些以軍功起家的大臣,也把能與他們通婚視作榮耀。
唐太宗決心從譜牒入手,改變這種狀況。他下令修撰全國總譜《氏族志》,不限地域,不分民族淵源,收集當時全國各地具有影響的293個家族,排出等級,但不作為任用官員的依
據。編寫者受習慣影響,將當時只任六品官的清河人崔民幹列為第一等。這讓唐太宗頗不高興,下令:“不須論數世以前,止取今日官爵高下作等級。”於是皇族被列為第一,外戚次之,清河崔氏只排到第三等。當時文武大臣中,不少人的祖先在北朝後期才從草原南遷,也因此躋身“高門”之列。
——摘編自唐長孺《魏晉南北朝隋唐史三論》
評分細則
(1)根據材料並結合所學知識,概括唐太宗時譜牒改革的內容。(9分)
評分標準:第1問:每點3分,任意3點共9分。
①朝廷主持修撰全國總譜(全國統一制定總譜或譜牒或抄材料:唐太宗決心從譜牒入手,改變這種狀況。他下令修撰全國總譜《氏族志》);
②擴大入選範圍(抄材料:不限地域;不分民族淵源);
③否定譜牒在選任官員中的作用(抄材料:不作為任用官員的依據);
④建立新的門第標準(抄材料:唐太宗下令:“不須論數世以前,止取今日官爵高下作等級。”)。
(2)根據材料並結合所學知識,簡析唐太宗時譜牒改革的作用。(6分)
評分標準:共5點。每點2分,任意3點6分。
①加強皇室地位(皇權專制或君主專制);
②肯定現有政治秩序,有利於維持政權穩定(有利於維護封建統治或擴大統治基礎);
③抑制舊士族的影響(打破了世家大族的壟斷地位);
④有利於維護統一(加強中央集權);
⑤鞏固民族交融的成果(有利於民族融合)。
真題回顧3
(2016 全國卷I T46)【歷史——選修2:近代社會的民主思想與實踐】(15分)
材料:1721年,英國議會首次對行政高管進行質詢。1783年,下院議長宣佈,任何議員都有權向大臣或官員提出問題,被質詢者可以答覆,也可以拒絕答覆。1835年,質詢首次出現在英國議會下院的議事程式單上,並公佈於眾,被質詢者必須在規定時間內做出答覆。從此,質詢成為英國議會對內閣進行監督和問責的一項固定制度。進入20世紀後,質詢時間固定為一到星期四每天下午1個小時,對於普通質詢,被諮詢人可在7天內答覆,對於緊急質詢,被諮詢人必須3天內答覆。70年代後,下議院設立了與政府工作相對應的多個專門委員會,各委員會可以分別就政府的內政和外交問題向有關政府官員提出質詢,發現政府工作中的問題,督促有關部門加以改善。
——摘編自埃佛爾·詹寧斯《英國議會》等
評分細則
(1)根據材料並結合所學知識,概括英國議會質詢制度的發展變化,並指出這一制度的實質。(9分)
評分標準:共9分,發展變化6分,實質3分。發展變化須答出變化的表現,否則不給分。3點6分。
①質詢時間由不固定到固定(時間逐漸固定);
②由可拒絕回答到有問必答;
③專業化、制度化成都逐步提高(質詢成為固定制度或抄材料:質詢成為英國議會對內閣進行監督和問責的一項固定制度)。
實質:立法機構監督、問責行政機構的民主制度(資產階級代議制、民主制度、議會制度、君主立憲制的完善)。
(2)根據材料並結合所學知識,說明英國議會質詢制度的積極作用。(6分)
評分標準:每點2分,共6分。
①提高政府工作的透明度(答集公開性;主要強調民眾的作用);
②推動政府改善工作(抄材料:發現政府工作中的問題,督促有關部門加以改善;答發現政府問題,體現制衡不給分);
③進一步完善民主制度(防止權力的濫用、腐敗)。
如答:資本主義代議制、民主制度、議會制度、君主立憲制的完善可給分;答削弱國王的有權力、提高行政效率,資本主義制度的完善不給分。
真題回顧4
(2016 全國卷I T47)【歷史——選修3:20世紀的戰爭與和平】(15分)
材料:1965年,美國在越南的軍事行動升級後,中國政府在加強對越南的軍事援助的同時,向美國政府傳遞了一系列警示性資訊,要求美國不得將戰爭無限制升級。美國決策者對此頗為重視,加強相互間的“資訊傳遞”,努力理解中方的資訊,並將中方的可能反應作為制定戰略決策時必須考慮的最重要因素之一。在同中國政府打交道的過程中,美國表現出某種謹慎與剋制,朝鮮戰爭式的中美直接軍衝突沒有重演。
1969年上臺的尼克松政府,面對美國在越南問題上的困境,以及從亞洲收縮力量的需要,對美國的對外政策做出了重大調整,試圖使之適合美國力量的限度和新的國內國際條件。1973年,美國與北越在巴黎簽訂了協定,越南戰爭基本結束。
——摘編自陳兼、赫斯伯格《越戰初期中美之間特殊的“資訊傳遞”》等
評分細則
(1)根 據材料並結合所學知識,簡 析美國與中國在越南戰爭中沒有發生直接軍事衝 突的原因。(8分)
評分標準:共 4點,每點 2分,滿分 8分。抄材 料也給分,但要分點摘抄。
①冷戰時期,美國的戰略中心在 歐洲(美蘇 爭霸或中蘇關係惡化,美國想拉攏中國或 改善同中國的關係 );
②吸取朝鮮戰爭的教訓 (抄材料:朝鮮 戰爭式的中美直接軍事衝突沒有重演);
③中國政府有效的警示資訊 (抄材料:中國政府向美國政府傳遞了一系列警示性資訊 或美國將中方的可 能反應作為制定戰略決策時必須考慮的 最重要因素之一);
④美國採取了避免直接衝突 的一些措施(抄材料:美國在越南問題上的困境,以及從 亞洲收縮力量的需 要,對美國的對外政策做出了重大調整 )。
(2)根據材料並結合所學知識,分析美國結束越南戰爭的原因。(7分)
評分標準:4點,任意3點滿分,每點2分。分點摘抄材料按要點給分,大段摘抄材料的只給2分;有明確時間資訊但錯誤的不給分,不寫時間的給分。
①國內反戰運動的高漲(加國際、各國不給分);
②調整國際戰略,改善與中國的關係(任意一點即可,但答戰略或政策調整不給分;抄材料:從亞洲收縮力量的需要;對美國的對外政策做出了重大調整);
③戰爭給經濟造成巨大負擔(必須強調戰爭帶來的經濟的影響);
④戰爭勝利無望,欲從戰爭中脫身(抄材料:國在越南問題上的困境)。
真題回顧5
(2016 全國卷I T48)[歷史——選修4:中外歷史人物 評說](15分)
材料:隨著 唐朝的發展,由少數民族將 士組成的“蕃兵”“蕃將”,成為唐朝開 邊拓土的重要力量 ,高麗人高仙芝出身於將門之 家,唐玄宗開元后期出 任安西副都護府,鎮守西域。天寶六年( 747), 高仙芝率一萬騎兵 ,歷經艱難險阻,長途奔襲阻斷西 域商路的小勃律( 今克什米爾境內),俘其國王,經此一 役,“諸胡七十二 國皆震懾降附”。
天寶八年( 749),高 仙芝以石國(依附 於唐朝的西域小國)不守蕃屬之禮為由 ,率軍征討,大肆 殺掠,掠得大量金銀珠寶,“皆入其家 ”。石國王子召引 大食(阿拉伯帝國)軍隊進攻唐安西四 鎮,與高仙芝率領 的唐軍戰於怛邏斯城(在今哈薩克 共和國境內),唐 軍大敗,自此,唐朝在西北疆域的擴充套件 受阻。
——摘編自白壽彝主編《中國通 史》
評分細則
(1)根據材料並結合所學知識,概括高仙芝成為唐朝名將的時代背景。(9分)
評分標準:9分,5個分點每點2分,4點9分。
①強大的綜合國力(答經濟發展或經濟發展較快不給分);
②中外文化交流頻繁(必須強調對外,答對內不給分);
③對外貿易繁榮;
④積極的邊疆政策(必須從中央的視角答題);
⑤開放的民族政策與用人政策(抄材料:隨著唐朝的發展,由少數民族將士組成的“蕃兵”“蕃將”,成為唐朝開邊拓土的重要力量給4分;答個人方面的不給分)。
(2)根據材料並結合所學知識,評述高仙芝的功過。(6分)
評分標準:3個點共6分,每點2分,分兩個方面進行評價。
①維護唐朝的統治(要答維護國家的作用);
②為絲綢之路的暢通與西域穩定做出過貢獻(答西域地方方面的作用;抄材料:鎮守西域;諸胡七十二國皆震懾降附);
③個人貪婪一定程度上影響了唐朝的西域開拓(要答個人對國家大局方面的影響,只答個人方面的不給分或抄材料:唐朝在西北疆域的擴充套件受阻)。
政 治
2019全國1卷評分細則
38.閱讀材料,完成下列要求。(14分)
當前,中國是世界第二大貨物貿易進口國、第二大服務貿易進口國,貨物和服務年進口值均佔全球1/10左右。
2018年11月,中國進一步降低石材、陶瓷、機電等1585個稅目商品的最惠國稅率,關稅總水平由2017年的9.8%降至7.5%,平均降幅達23%。同月,全球首個以進口為主題的國家級展會中國國際進口博覽會在上海舉行,來自170多個國家、地區的3600多家企業參展,現場展示了法國葡萄酒、阿根廷紅蝦、美國智慧車載空氣淨化....進博會吸引了40多萬名境內外採購商,累計意向成交578.3億美元,其中1/4以上為智慧及高階裝置。
中國擴大進口“大蛋糕”的清單上,既包括數控機床、智慧終端、精密醫療裝置、新型汽車、先進民用飛機等高技術產品,也包括個人電子產品、農產品、食品、服裝、化妝品等日用消費品。
結合材料並運用經濟生活知識,說明中國進一步擴大進口對國內經濟的積極影響。
參考答案:
降低關稅,增加進口,繁榮生產與消費市場;激發市場競爭,促進供給側結構性改革,推動產業轉型升級;豐富消費品市場供給,降低消費成本,更好滿足消費者美好生活需要;帶動技術引進,促進產品創新研發,推進經濟發展動能轉換。
評分細則:
38.①降低關稅,增加進口,繁榮生產與消費市場;(2分)【答出其中的任何一點均可給2分。】
補充:如無答上述任何一點,以下表述“提高開放型經濟水平”、“放寬市場準入”、“擴大服務業對外開放”、“利用兩種市場兩種資源”等給1分。
②激發市場競爭,促進供給側結構性改革,推動產業轉型升級;(4分)【答出三點給4分。答出其中任何一點可給2分,答兩點給3分。】
補充:替代表述為“提高競爭力”或“倒逼企業……”“促進產業結構升級”等。
③豐富消費品市場供給,降低消費成本,更好滿足消費者美好生活需要;(4分)【答出全部三點給4分。答出其中的任何一點可給2分,兩點給3分。】
補充:替代表述“消費品多樣化”等。
④帶動技術引進,促進產品創新研發,推進經濟發展動能轉換。(4分)【答出全部三點給4分。答出其中任何一點可給2分,兩點給3分。】
補充:替代表述“推動技術創新”、“推動經濟高質量發展”或“促進經濟發展”
注意:任何一點不能重複給分!替代表述不能重複給分!
//////////
39.閱讀材料,完成下列要求,(12分)
2019年是中華人民共和國成立70週年,人民政協也將迎來70華誕,人民政協是國家治理體系的重要組成部分。
第十三屆全國政協委員由34個界別組成,包括中國共產黨,8個民主黨派,無黨派民主人士,人民團體、各少數民族和各界的代表,臺灣同胞,港澳同胞和歸國僑胞的代表,以及特別邀請的人士。
2018年,全國政協召開了1次全體會議、2次專題議政性常委會會議、2次專題協商會、19次雙週協商座談會、2次網路議政選程協商會、1次網路討論會、18次對口協商會、4次提案辦理協商會,進步形威常態化、多層次、各方面有序參與的協商議政格局。
結合材料並運用政治生活知識,說明人民政協在國家治理體系中的地位和作用。
參考答案:
人民政協是中國人民愛國統一戰線組織,是中國共產黨領導的多黨合作和政治協商的重要機構,是我國政治生活中發揚社會主義民主的重要形式。人民政協匯聚了各黨派團體、各族各界代表人士,具有獨特的政治優勢;聚焦黨和國家中心任務,參政議政、民主協商和民主監督;透過制度化、程式化、規範化的安排集中各種意見和建議。推動決策科學化民主化,推進國家治理體系和治理能力現代化。
評分細則:
39.地位(共6分):人民政協是中國人民愛國統一戰線組織(1分),是中國共產黨領導的多黨合作和政治協商的重要機構(1分),是我國政治生活中發揚社會主義民主的重要形式(1分)。人民政協匯聚了各黨派團體、各族各界代表人士(1分),具有獨特的政治優勢 /具有中國特色的制度安排(1分);是國家治理體系的重要組成部分(1分)。
作用(共6分):聚焦黨和國家中心任務,參政議政(1分)民主協商 / 政治協商(1分)和民主監督(1分);透過制度化、程式化、規範化的安排集中各種意見和建議(1分),推動決策科學化和(或)民主化(1分),推進國家治理體系和治理能力現代化(1分)。【以上三點答對任意2點給3分】
40.閱讀材料,完成下列要求。(26分)
走進北京市西胡林村、天津市六街村等傳統村落,我們能夠欣賞風格獨特的民居建築。豐富多樣的村鎮空間格局,品味具有濃郁地方特色的俚語方言,家風家訓、鄉約鄉規,民情風俗,感受人與自然和諧共生的文化韻味。傳統村落承載著絢麗多彩的農耕文化,寄託著一代又一代中華兒女的情感記憶和綿遠鄉愁,是我國鄉村歷史、文化、自然遺產的“活化石"。
//////////
隨著工業化、城鎮化的快速發展,傳統村落衰落、消失的現象時有發生。例如:不少傳統村落因缺少產業支撐,醫療、文化、教育等公共服務不能滿足現代生活需要,導致人口流失嚴重,甚至出現“空心化”;古民居、古建築得不到及時修繕和維護,自然毀損嚴重;傳統工匠越來越少,傳統建築工藝、傳統藝術日漸失傳;在旅遊開發過程中,無視傳統村落的自然、歷史、文化等個性化特徵而盲目拆舊建新、拆真建假,對傳統建築、歷史風貌造成破壞性影響,導致“千村一面”。
保護、傳承和利用好傳統村落,是實施鄉村振興戰略和增強中華文化自信的內在要求。2012年以來,我國大部分傳統村落已被列為保護物件。(注:傳統村落是指擁有物質形態和非物質形態文化遺產,具有較高的歷史、文化、科學、藝術、社會、經濟價值的村落。)
(1)有人說:“隨著經濟社會不斷髮展,傳統村落必然走向消亡。”運用文化生活知識對此觀點加以評析。(10分)
參考答案:
(1)文化是經濟和政治的反映,隨著經濟和社會的發展,文化也會變化發展。傳統村落具有鮮明的地域文化和民族文化特色;隨著工業化、城鎮化得發展,傳統村落的生存和發展面臨困難;順應時代要求和人們對美好生活的嚮往,進行創造性地保護和利用,傳統材落就能煥發出新的生機和壓力。
評分細則:
40.(1)①文化是經濟和政治的反映(1分),隨著經濟和社會的發展,文化也會變化發展(2分)。
補充:經濟是文化的基礎/ 文化與政治、經濟具有交融性/ 文化具有相對獨立性(穩定性)(1分)【寫文化的反作用不合題意,不得分】
②傳統村落具有鮮明的地域文化和民族文化特色(2分);
補充:區域文化 / 一方水土、一方文化/ 民族性 / 地方特色(2分)
③隨著工業化、城鎮化的發展,傳統村落的生存和發展面臨困難(2分);
(無補充答案)
④順應時代要求和人們對美好生活的嚮往(1分),進行創造性地保護和利用(1分),傳統村落就能煥發出新的生機和活力(1分)。
//////////
補充:上述給分點答到任意兩個,可給3分;
創造性轉化、創新性發展 / 繼承傳統、推陳出新(3分)
取其精華、去其糟粕(1分)
(2)保護、傳承和利用傳統村落需要增強人們的文化自覺意識。結合材料,運用意識能動作用原理對此加以說明。(10分)
參考答案:
(2)意識是物質的能動的反映,又對物質具有能動的反作用。人們在意識的指導下能動地認識世界、改造世界。增強文化自信、引導人們正確認識傳統材落的歷史文化價值。更加自覺地加以保護和傳承;克服錯誤觀念,避免破壞性開發,把保護、傳承與利用有機統一起來。
評分細則:
40.(2)①意識是對物質的能動的反映,又對物質具有能動的反作用,人們在意識的指導下能動地認識世界、改造世界。(4分)
A.答到“意識是對物質的能動的反映,又對物質具有能動的反作用”或者“人們在意識的指導下能動地認識世界、改造世界”,給4分;
B.答到“能動的反映”或者“認識世界”,給2分;
如答“意識活動具有目的性、自覺選擇性、主動創造性、主觀能動性”,給1分;
C.答到“能動的反作用”或者“改造世界”,給2分;
如答“正確的意識促進事物的發展,錯誤的意識阻礙事物的發展”,給2分;
如答“意識對於人體生理活動具有調節和控制作用”,不給分;
②增強文化自覺,引導人們正確認識傳統村落的歷史文化價值,更加自覺地加以保護和傳承;(3分)
A.答到“引導人們正確認識傳統村落的歷史文化價值”或者“更加自覺地加以保護和傳承”給2分;
B.答到以上兩點,給3分;
③克服錯誤觀念,避免破壞性開發,把保護、傳承與利用有機統一起來。(3分)
A.答到“克服錯誤觀念”或者“避免破壞性開發”,給2分;
B.答到以上兩點,給3分。
(3)結合材料,就保護和利用傳統村落提出三條建議。(6分)
//////////
參考答案:
(3)利用傳統材落品牌,發展特色鄉村旅遊。開發特色手工藝產品,傳承傳統技藝。修繕古民居、古建築,完善基礎設施,增強傳統材落吸引力。開展民俗節慶,尋根問祖活動,傳承歷史文化。
評分細則:
40.(3)①利用傳統村落品牌,發展特色鄉村旅遊。(2分)
考生只要答出其中一點也可給2分,其他相近意思如“發展旅遊業”“特色旅遊”“鄉村旅遊”等也可給2分。
②開發特色手工藝產品,傳承傳統技藝。(2分)
考生只要答出其中一點也可給2分,其他相近意思如“培養傳統工匠”等也可給2分。
③修繕古民居、古建築,完善基礎設施,增強傳統村落吸引力。
考生只要答出其中一點也可給2分,其他相近意思如“維修、保護古村落”“完善公共服務設施”等也可給2分。
④開展民俗節慶、尋根問祖活動,傳承歷史文化。(2分)
考生只要答出其中一點也可給2分。
⑤考生如作下列回答,每類給1分,不超過3分:
1.加大宣傳,提高保護意識類措施;
2.建立完善保護機制、加強立法、政府出臺政策、設立保護區類措施;
3.加大、吸引投資類建議。
地 理
評分細則
真題回顧1
(2014·新課標全國文綜Ⅰ)閱讀圖文資料,完成下列要求。
下圖所示區域海拔在4 500米以上,冬春季盛行西風,年平均大風(≥8級)日數157天,且多集中在10月至次年4月。青藏鐵路在桑曲和巴索曲之間的路段風沙災害較為嚴重,且主要為就地起沙。風沙流主要集中在近地面20~30釐米高度範圍內。
(1)分析錯那湖東北部沿岸地區冬春季風沙活動的沙源。(6分)
(2)說明上述沙源冬春季起沙的原因。(5分)
(3)簡述風沙對該路段鐵路及執行列車的危害。(7分)
(4)針對該路段的風沙災害,請提出防治措施。(6分)
評分細則
(1)標準答案:多條河流在此注入錯那湖,泥沙沉積,河口三角洲面積較大(2分)。冬春季河流水位低,河灘泥沙裸露(2分);錯那湖水位低,(因河口外湖區水深較淺)出露的湖灘泥沙面積較大(2分)。
其他答案:河流含沙量大或河流攜帶泥沙多或河口三角洲泥沙沉積或河口三角洲面積大或泥沙堆積、沉積(2分);冬春季河流水量小或處於枯水期,河床泥沙裸露(2分);錯那湖水量小,湖岸出露面積大(2分);人類不合理的活動(或過度放牧;土地荒漠化;土地退化;植被破壞;植被覆蓋率低),使表土疏鬆(或土質疏鬆)(2分)。
錯誤答案:只答“泥沙多”(0分);“西風從中亞、西亞攜帶沙塵堆積”(0分);只答“河流處於枯水期”“湖泊水量小”(0分);“土質疏鬆”“過度開墾”(0分)。
(2)標準答案:冬春季氣候乾燥(降水少)(2分),地表缺乏植被(草)的保護(2分);大風多,湖面較寬闊,西風經湖面無阻擋,沙源東部為河谷,風力強勁(1分)。(說明:答對其中一點得2分,兩點得4分,三點得滿分5分)
其他答案:冬春季乾旱或土地乾燥(2分);沙源東部為河谷,狹管效應,風力強勁(2分);大風天數多(2分);湖面摩擦力小(2分)。(最多得5分)
錯誤答案:只答“降水少”或“植被破壞”或“西北風”或“山地摩擦力小”(0分)。
(3)標準答案:(鐵路路基較高)風沙堆積,填埋路基和軌道(2分);侵蝕路基(和路肩)(2分);損害機車車輛和通訊、訊號裝置等,加大鋼軌、車輪等裝置的磨損(2分);影響執行列車安全(1分)。
其他答案:鐵軌上沙粒沉積(2分);對鐵路損害大(2分),對列車產生危害或影響正常行駛(2分);造成交通事故(1分)。
錯誤答案:風化侵蝕路基(0分);對列車產生影響(0分);影響列車速度、方向(0分)。
(4)標準答案:(阻沙措施)在鐵路兩側設立阻沙牆(高立式沙障)(2分)。(固沙措施)在沙地上用碎石等覆蓋沙面(2分),設定石(草)方格沙障(2分)。
其他答案:設立阻沙屏障(2分);(生物措施)種草,提高植被覆蓋率或單答提高植被覆蓋率(2分);增加綠化面積(2分)。
答“工程措施”“阻沙措施”“固沙措施”“生物措施”只得2分。
錯誤答案:設立護欄(0分);防護網(帶)(0分);防河大壩(堤)
(0分);增加綠化面積(0分);只答“植樹造林”(0分)。
真題回顧2
(2015·全國文綜Ⅱ)閱讀圖文材料,完成下列要求。
奈及利亞人口超過1億,經濟以農礦業為主。2014年11月20日,奈及利亞與我國正式簽署了沿海鐵路專案商務合同。該專案總金額達119.7億美元,全線採用中國鐵路技術標準,是截至當時中國對外工程承包史上單體合同金額最大的專案。下圖示意奈及利亞鐵路的分佈。
(1)簡述奈及利亞沿海地區的氣候特點,以及針對此氣候特點,我國相關人員在建設該鐵路時,為保障身體安康,需要防範的問題。(6分)
(2)指出因奈及利亞沿海鐵路專案而可能獲益的我國主要工業部門。(4分)
評分細則
(1)標準答案:
氣候特點:(緯度低,屬熱帶雨林氣候)全年高溫多雨。(3分)
需要防範的問題:中暑;曬傷;食物中毒;毒蟲叮咬;野生動物侵襲;疫病;瘴氣等。(3分)(答對1項得1分。其他合理答案可酌情評分。本小題滿分不得超過3分。)
其他答案:
氣候特點:緯度低,常年受赤道低氣壓控制,全年氣溫高降水多。(3分)
需要防範的問題:防止曬傷;氣溫高,容易中暑;動植物種類非常多,有些動植物有毒,防止吃到有毒的食物和被毒蟲叮咬,動植物遺體易腐爛,防止有毒的氣體等。(3分)
(答對1項得1分。其他合理答案可酌情評分。本小題滿分不得超過3分。)
錯誤答案:
氣候特點:全年高溫,分乾溼兩季。(0分)
需要防範的問題:旱澇災害、缺氧、凍傷。(0分)
(2)標準答案:鋼鐵、機械、機車製造、電子通訊、管線、建材等與鐵路建設和列車製造有關的部門。(4分)(答對1項得1分,答對4項即可得4分。本小題滿分不得超過4分。)
其他答案:鋼鐵工業、機械製造業、機車製造業、電子通訊製造業、建築材料、管線製造業等。(4分)
//////////
(答對1項得1分,答對4項即可得4分。本小題滿分不得超過4分。)
錯誤答案:鋼鐵廠、機械廠、機車廠、建築材料廠、管線製造廠等。(0分)
真題回顧3
(2015·全國文綜Ⅰ)閱讀圖文材料,完成下題。
多年凍土分為上下兩層,上層為夏季融化,冬季凍結的活動層,下層為多年凍結層。我國的多年凍土主要分佈於東北高緯度地區和青藏高原高海拔地區。東北高緯地區多年凍土南界的年平均氣溫在-1℃~1℃,青藏高原多年凍土下界的年平均氣溫約為-3.5℃~-2℃。
由我國自行設計、建設的青藏鐵路格(爾木)拉(薩)段成功穿越了約550千米的連續多年凍土區,是全球目前穿越高原、高寒及多年凍土地區的最長鐵路。多年凍土的活動層反覆凍融及冬季不完全凍結,會危及鐵路路基。青藏鐵路建設者創造性地提出了“主動降溫、冷卻路基、保護凍土”的新思路,採用了熱棒新技術等措施。圖a示意青藏鐵路格拉段及沿線年平均氣溫的分佈,其中西大灘至安多為連續多年凍土分佈區。圖b為青藏鐵路路基兩側的熱棒照片及其散熱工作原理示意圖。熱棒地上部分為冷凝段,地下部分為蒸發段,當冷凝段溫度低於蒸發段溫度時,蒸發段液態物質汽化上升,在冷凝段冷卻成液態,回到蒸發段,迴圈反覆。
根據熱棒的工作原理,判斷熱棒散熱的工作季節(冬季或夏季),簡述判斷依據;分析熱棒傾斜設定(圖b)的原因。(8分)
評分細則
標準答案:
季節:冬季(2分)。依據:冬季氣溫低於地溫(1分),熱棒蒸發段吸收凍土的熱量,(將液態物質汽化上升,與較冷的地上部分管壁接觸,凝結,釋放出潛熱,)將凍土層中的熱量傳送至地上(大氣)(2分)。
熱棒傾斜設定的原因:使棒體能深入鐵軌正下方(1分),保護鐵軌下的路基(多年凍土)(2分)。
其他答案:
季節:冬季(2分)。依據:當地上部分氣溫低於地下部分時,熱棒散熱。因此冬季時,地上部分氣溫低於地下部分,可以起到散熱的作用。(3分)
熱棒傾斜設定的原因:熱棒傾斜可以增大與鐵軌路基的接觸面積(1分),鞏固鐵軌下的路基(2分)。
錯誤答案:
季節:夏季(0分)。依據:冬季地溫低於氣溫(0分),增大接觸面積(0分)。
熱棒傾斜設定的原因:固定路基(0分),保護鐵軌(0分),保護凍土(0分),有利於列車正常執行(0分)。
宣告:本文綜合自語文匠及網路,版權歸相關權利人所有,轉載請註明出處。
。
