上一篇文章談了《行星軌道為什麼是橢圓形》,有朋友希望再說說雙星互相繞轉問題。我認為有上一篇文章做基礎,這個問題很好解答。
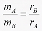
雙星互繞最重要的特徵是什麼?很簡單,三個特徵:一是在忽略外力的影響下,雙星系統的質心位置保持靜止或勻速直線運動(對該系統來說,按保持靜止來分析就可以了);二是雙星連線必定透過系統質心,也就是任何一顆星受到的引力必然指向系統質心;三是雙星與系統質心的距離比與質量比成反比關係,用式子表示就是:
由此,能看出雙星執行與上一篇文章是非常相似的,可以將任何一顆星的受力等效為上一篇文章中的情景:受到靜止質心的引力作用而圍繞這個質心做橢圓運動,不用考慮另一顆星的位置和引力,從而簡化軌道的計算。
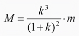
假設B星質量是 m,A星質量是B星的 k 倍,把 m、r、k 的關係代入萬有引力計算公式,即可求得相對B星的系統質心的等效質量 M(推導過程略):
有了這個式子,在上一篇文章的公式中代入初始條件,我們很容易計算出雙星的執行軌道。
上面兩圖軌道都是相交橢圓,是不是說這是雙星軌道的必然形態?答案:......不是的。決定雙星軌道的因素除了質量比,還有初始時刻雙星的速度、方向和距離,具體是如何影響的,按照上一篇文章《行星軌道為什麼是橢圓形》和式1可以計算得出,這裡就不詳細論述了,以免嚇走讀者。
上一篇文章中,分析行星軌道時把太陽看成不動的固定點,這樣的設定不會帶來什麼問題,因為太陽質量比行星大得太多,例如,太陽質量是水星的600萬倍,雖然實際太陽與行星也是雙星互繞,但太陽的繞轉半徑太過微小,可以忽略不計。
這大概既是世間最永恆的愛情,也是最絕望的愛情。既不回頭,何必不忘。
