中微子物理是李先生一生喜愛的研究方向之一。在不同時期和不同研究方向,李先生在中微子物理研究中的開拓性貢獻對現代粒子物理有非常巨大和深遠的影響。
何小剛
上海交通大學
01
引言
本文是應《現代物理知識》編輯部邀請為紀念李政道先生95 壽辰所編輯的特刊中關於介紹李先生對中微子物理的開拓性傑出貢獻而撰寫。作為中國科學技術大學大七七級在校生於1981 年入選李政道先生倡導和促成的中美聯合物理研究生專案(CUSPEA)的學生,這是一極為榮幸的機會。我非常高興能為此特刊撰文紀念李政道先生95壽辰。
入選1981 年CUSPEA 專案後,我於1982 年到美國夏威夷大學攻讀物理博士學位。經過一番從基本粒子高能實驗到基本粒子理論研究選擇的糾結,最終進入基本粒子理論研究,一直歷練到現在。我在中學時就聽聞過關於李政道先生和楊振寧先生由於推翻物理領域傳統的宇稱守恆法則,從而引發了一場物理學革命,並因此獲得1957 年諾貝爾物理學獎的故事。因此一直對粒子物理研究非常感興趣。從博士生開始研究生涯到現在,我在弱相互作用以及由此延伸的新物理相關領域研究已有超過35 年的研究積累,其中很大一部分工作與中微子物理相關。在不同時期和不同研究方向,我都深切體會到李先生在中微子物理研究中的開拓性貢獻對現代粒子物理非常巨大和深遠的影響。
李政道先生是深受世人敬仰的國際著名科學家,他的研究領域涵蓋量子場論、基本粒子物理、核物理、統計力學、流體力學和天體物理等諸多領域,並作出了許多開創性和具有里程碑意義的傑出貢獻。本文著重介紹的是李政道先生在現代中微子物理研究中的先驅開拓性貢獻。這些貢獻與李先生1957 年獲得諾貝爾物理學獎的空間宇稱在弱相互作用中不守恆的劃時代的貢獻密切相關。其實在李政道和楊振寧發現宇稱不守恆的歷史性論文裡建議的幾個實驗驗證中,最先獲得肯定證據的由吳健雄先生領導的鈷60(Co60)的貝塔(β)衰變實驗以及隨後另外兩個研究組完成的π介子衰變到一個繆子(μ)加上一個反中微子
(
)
的實驗都與中微子物理密切相關。
中微子物理的研究從一開始就充滿傳奇,引發了許多重大發現。中微子是自然界中已知的最輕但具有非零質量的基本粒子,僅主要參與自然界已知電磁、強、弱和引力四種基本相互作用中的後兩種。在粒子物理對基本粒子特性研究中,引力作用非常小,很難在實驗室中透過引力直接觀測瞭解中微子。因此弱相互作用是研究中微子最重要的途徑,而中微子也為人們瞭解弱相互作用提供了絕佳的舞臺。
李政道先生2001年在紀念克萊因演講中將弱相互作用的發展分為三個重要階段:
(1) 1898 年到1949 年的經典階段。
這是弱相互作用的貝塔衰變的發現,到透過貝塔能譜研究,再到泡利認識到中微子存在的必要性,進而由費米建立貝塔衰變理論的經典時期。
(2) 1949年到1956 年的過渡階段。
在這期間人們對弱相互作用研究逐步深入,特別是對中微子以及其他新發現的粒子如何與已知基本粒子相互作用開始有了新的認識,建立了費米理論的普適性概念。當然非常重要的是由李政道和楊振寧引領的推翻物理領域傳統的宇稱守恆法則革命性突破,為如何研究弱相互作用,瞭解大自然開啟了新的篇章。
(3) 1956 年開始到現在的近代階段。
這是粒子物理發展的黃金時期。在此階段,弱相互作用中宇稱破缺得到驗證,中微子在實驗中被測量到,對中微子相互作用的研究建立了弱相互作用的V-A 理論,提出弱電作用的統一模型,強子的夸克模型被提出,發現CP 破缺,發現與電子及其中微子不同的類似的粒子和參與強相互作用的不同種類的夸克,發現中微子振盪等。在此期間,強相互作用的色動力學理論也被提出。弱電統一模型預言的希格斯粒子在2012 年被實驗證實等。到現在描述自然界電磁、弱及強相互作用的標準模型已完美地建立起來,從而踏入探索自然規律的新徵程。在各個階段裡中微子物理的研究都扮演著重要角色。而李先生從1949 年發表第一篇科學論文開始,對弱相互作用和中微子研究的後兩個階段都做出了傑出的開拓性貢獻。
02
中微子和弱相互作用研究的誕生
1898 年盧瑟福透過研究發現貝克勒爾1896 年發現的放射線中含有兩種非常不同的成分,其一種被盧瑟福稱為阿爾法(α)射線,另一種更具穿透性的射線被稱為貝塔(β)射線。緊接著在1900 年,居里夫婦發現貝塔射線粒子帶有負電荷。這些對貝塔這一新粒子特性的研究悄然拉開了人類研究弱相互作用的歷史序幕。
後來發現貝塔粒子就是電子。接下來二十幾年裡,人們圍繞貝塔衰變的能量特性展開了很多的研究。貝塔射線到底具有分立的固定能量還是具有連續分佈譜,是當時最熱門的研究課題。到1927 年,埃利斯透過一系列實驗,最終確定貝塔譜線是連續的,而且貝塔射線的最大能量與母原子核衰變後的原子核能量差剛好相等。然而連續貝塔譜的確認卻引來了更深層次的問題。為什麼貝塔射線的能量不剛好是母原子核與衰變後的原子核能量差?難道能量在貝塔衰變過程中不守恆?當時很多研究人員,包括大名鼎鼎的玻耳,對能量守恆產生了懷疑。在此背景下,傳奇的中微子橫空出世的時刻到來了。
1930 年,泡利在給一個放射線會議參會者寫信時提出了挽救貝塔衰變過程能量守恆定律的想法(見圖1)。他指出在貝塔衰變中,存在一電中性的,他稱為中子的粒子帶走了部分能量,但是這個中性粒子加上電子的能量剛好等於母原子核與衰變後的原子核能量差,因此能量總是守恆的。由於這一粒子是中性的,而且與其他物質作用很小,因而難以被測量到。當時他說還不敢輕易發表論文,但也認為沒有大膽的假設,也得不到更多的回報,並請求大家認真嚴肅考慮他的建議。中微子就這樣戲劇性地由一封信函的形式進入了人們的視線。後來當查德威克1932 年發現中性的與質子質量差不多的核子時,該粒子被命名為中子。但它太重,不可能是泡利建議的中性粒子。
圖1 泡利建議存在中微子的原德文信函的英文翻譯
費米隨後在1934 年根據泡利的建議,提出了他的著名的核的貝塔衰變是由母核中的一箇中子(n)衰變到質子(p)加上一個電子(e)
和一個反中微子
,
的四費米子理論(見圖2)。之後泡利建議的中性粒子被稱為中微子。費米的論文先被自然雜誌以很不現實為由拒絕發表,然後費米將論文發表在義大利和德國的兩個期刊上。當時費米寫出如下的中子到質子加上一個電子和一個反中微子的相互作用,
這裡ψi 是i 類粒子的場。G是費米由萬有引力常數得到的靈感而寫下的相互作用耦合常數。李先生在上面提到的演講中回憶到,他在1956
年注意到在費米寫下的相互作用中,輕子流
和強子流
的形式相差一個
γ5。但已為時過晚未能親自請教費米為什麼作這樣的選擇。如果就只是上面單獨的一個γ5的不同,沒有特別的物理意義,因為可以吸收到場的定義裡。但是如果在強子和輕子流中具有γμ和γμ γ5兩種形式,物理規律將會很不一樣。到底準確的形式是什麼關係到弱相互作用中宇稱是否守恆,以及如果不守恆那麼宇稱又是怎樣被破壞的?後面會再回到這一問題。
圖2 貝塔衰變示意圖
緊接著人們對費米理論預言的電子能量譜是否與實驗觀測相符進行了仔細的比較,經過多年的努力,最終在二戰結束後,1949 年由吳健雄和阿爾伯特實驗組對費米理論預言作出了肯定的結論。弱作用引起的貝塔衰變結束了經典的探索時期。人們對弱相互作用有了較深入的瞭解,儘管中微子直到1956 年才被萊因斯和科萬完成的核反應堆實驗直接測量到,中微子物理的研究也從此開啟了新的征程。李政道先生在如此的大環境下,開始了他不同凡響的研究生涯。
03
李政道先生與中微子物理
李政道先生1946 年進入美國芝加哥大學師隨當時在那裡執教的大名鼎鼎的費米教授。那時正是弱相互作用經典發展的後期。人們對貝塔衰變認識逐步加深,費米的理論開始成為描述貝塔衰變的主流理論。因此李先生自然很快進入了相關的研究。1949 年開始中微子研究時李先生還在攻讀博士,然而就領銜提出了統一的由同一中間玻色子傳遞費米相互作用力的構想,爾後提出了新方法研究費米理論中中微子的作用形式,提出二分量中微子理論,為建立V-A弱作用理論,以及後來標準模型建立都作出了引領性貢獻。李先生歷來重視實驗和理論結合的重要性。他在1960 年論文中建議的可能的高能中微子實驗涵蓋相當廣泛研究方向,包括怎麼區分不同中微子及中性流的可能性等,從提出到現在一直引領相關研究。李先生對中微子的研究一直持續到2010 年。可以說,中微子研究是李政道先生一生中重要的領域。當時他已84 高齡,但是仍然工作在前沿研究的第一線。當時三代中微子及他們的振盪現象已被觀測到。但是它們到底怎麼混合,相互振盪,特別是第三代中微子怎麼振盪,到底第三個混合角是不是為零,是人們最關心的問題。李先生從平移對稱性出發開展研究,提出了指導性的建議。直到2012 年第三個不為零的中微子混合角才被中國大亞灣實驗發現。這裡就不對李先生的每個工作細節進行描述,我將著重介紹幾個他在中微子領域的重要工作。
04
中微子與統一費米理論以及中間玻色子傳遞相互作用構想
李先生的第一篇學術論文是在攻讀博士期間與羅森布魯斯和楊振寧一起完成的一篇不到一頁的短文,如圖3 所示。在這篇論文中通過當時已比較精準測量到的有中微子參與的弱相互作用過程,核的貝塔衰變,繆(μ)俘獲過程μ +p → n + v
散射,以及繆輕子
衰變壽命的系統分析後,他們發現這些過程的相互作用耦合常數基本相等。相同的結論在當時也獨立地由克萊因、
普丕、蒂姆諾和惠勒得到。現在看起來覺得是比較簡單的系統分析。但是把幾個不同的過程聯絡起來,並提出統一的費米相互作用是一個非常大膽的突破性步驟。李先生他們進一步尋找更深層的原因,提出了這一現象是因為基本的弱相互作用可能是由同一個重的中間玻色子傳播而引起的構想。為弱相互作用模型的建構開闢了新方向。李先生具有非同凡響的物理洞察力,初出茅廬就擠進大師行列。
圖3 李政道1949 年發表在Phys. Rev. 75 (1949) 905 的第一篇論文
後來李先生把這一中間玻色子粒子叫作W粒子,也就是現在標準模型中的W粒子。多年後,在1971 年他還透過理論和精確的繆子壽命估計W粒子的質量。這一基本弱作用傳播粒子於1983 年分別由盧比亞和達里拉特領導的UA1 和UA2 實驗小組在日內瓦歐洲粒子物理中心(CERN)測量到。
05
中微子物理與宇稱不守恆
介紹李政道先生對中微子物理的貢獻,必然會提及李政道和楊振寧發現宇稱不守恆的歷史性論文(圖4)。當時實驗資料顯示,可能存在兩個質量和壽命都一樣的粒子,稱為θ和τ粒子。之所以認為是兩個不同粒子是因為他們分別衰變為兩個派(π)介子和三個派介子而具有不同的宇稱。但是它們為什麼有一樣的質量和壽命。這是著名的θ-τ之謎。李先生他們在分析了貝塔、超子和介子衰變等弱相互作用過程後指出在這些衰變中並沒有宇稱守恆的證據。並且指出如果宇稱在弱作用中不守恆,θ與τ其實就可以是同一個粒子,它們具有同樣質量和壽命是必然的結果,因此θ-τ之謎就迎刃而解。
圖4 李政道和楊振寧發現宇稱不守恆論文摘要
為了進一步檢驗弱作用中宇稱不守恆的假設,他們在論文裡建議了幾個實驗來驗證他們的想法。其中最先獲得肯定證據的由吳健雄先生領導的鈷60 的貝塔衰變實驗以及隨後另外兩個研究組完成的π介子衰變到一個繆子(μ)加上一個反中微子
(
)
的實驗都與中微子物理密切相關。李先生他們指出如果宇稱不守恆,鈷60 貝塔衰變觀測到的從極化方向上下出來的貝塔電子有不對稱性。在
π→ μ+
衰變過程中,因為π是自旋為零的粒子,總角動量守恆要求μ和
的自旋方向相反。如果宇稱不守恆,這一過程衰變出來的μ粒子具有左旋和右旋極化的機率會不一樣。實驗觀測到鈷60 貝塔衰變觀測到了從極化方向上下出來的貝塔電子有很大的不對稱性,而且很接近-1。而且從
π→ μ+
衰變出來的μ都是左旋的。宇稱確實在這些過程中被破壞了。他們另外建議的檢驗宇稱破缺的超子散射和衰變過程,π- +p → Λ0 + θ0 和Λ0 → p π-,也被後來的實驗驗證。在那時李先生對中微子特性已有很多精闢的瞭解,因而能夠絕妙地運用它們來解決問題和不斷地深化推進對弱相互作用的瞭解過程。
在完成上述論文後,李政道和楊振寧又向前推進了對中微子參與的相互作用的研究。吳健雄先生回憶道,1956 年聖誕夜她從華盛頓特區做完實驗乘坐最後一班火車回紐約。那時她告訴李先生,她的鈷60 貝塔衰變觀測到了從極化方向上下出來的貝塔電子有很大的不對稱性,而且很接近-1。李教授隨即告訴她這是很好的結果。這正是二分量中微子理論預期的結果。原來那時李先生他們已投入了對費米貝塔衰變理論更為深入的研究。並且在1957 年發表了著名的二分量中微子理論的論文 (圖5)。
圖5 李政道和楊振寧二分量中微子論文摘要
06
二分量中微子與弱相互作用的V-A 理論
前面提到,費米貝塔衰變理論的強子和輕子流分別具有γμ和γμ γ5兩種形式,會有其他可能的形式嗎?當時李政道和楊振寧分析了場論允許的各種可能的雙費米子流形式,1,γ5 ,γμ,γμ γ5 ,σμν (它們分別被稱為S, P, V, A, T類)。並且認識到如果中微子質量為零,中微子場ψν可以用滿足γ5 ψν=-ψν的二分量場來描述。這樣的中微子相互作用必然破壞宇稱對稱性。在弱相互作用中,中微子可用二分量中微子理論表述。這一理論預言鈷60 貝塔衰變觀測到的從極化方向上下貝塔電子有很大的不對稱性,而且很接近-1。因此非常自然解釋吳先生他們的實驗結果。
李先生他們進而系統分析一系列過程,比如
09
過程,
V-A 型別是很自然的。並且,衰變的電子能譜具有特徵性的形狀,預言描述這一能譜的米歇爾引數ρ等於3/4。如圖6 所示,不同的理論預言的電子能譜形狀和不同的ρ值是不同的。他們建議的方法引領探索弱相互作用的規律和中微子的特性。同年,李先生、黃克孫和楊振寧又用二分量中微子理論計算了繆子的捕獲和輻射捕獲率,為檢驗理論提供可能的方法。
圖
6
電子能譜示意圖。
x=電子能量/最大電子能量
早期,實驗得到的米歇爾引數ρ的中心值低於3/4,更像S,T類的弱相互作用理論的預言。在一段時間裡,李先生對相關的發展比較不樂觀。為此,他和楊振寧還探討了可能的其他理論對ρ=3/4 修正的可能性。但是很快更高精度確定的實驗確認了二分量中微子預期的V-A理論的預言。同時他們建議的其他關於輕子極化的相關研究也支援二分量中微子預言的結果。
在李先生他們二分量中微子理論論文發表八個月後,費曼和蓋爾曼,以及稍後馬夏克和蘇達山建立起了弱相互作用的V-A理論。在費曼和蓋爾曼的論文裡他們特別強調了李先生他們的工作。這一理論不僅確定了弱相互作用流的形式,而且也為後來建構弱電統一理論提供了新的思維和手段。因為γ5 ψv =-ψν ,也就是說ψν 必須是ψL=(1/2)(1-γ5)ψ左手手徵態。對於一個狄拉克粒子,也會有右手手徵態γ5 ψR=ψR,ψR=(1/2)(1+γ5)ψ。ψL和ψR是建構弱相互的基本元素。而且人們也認識到,這樣的分類其實不需要假設粒子的質量為零。V-A理論的建立是弱相互作用發展的又一重大突破。它是之後格拉肖、溫伯格和薩拉姆建立弱電統一標準模型關鍵性的一步,為建構弱作用模型指出了方向。
07
高能加速器中微子研究新方向
隨著人們對弱相互作用的深入瞭解以及實驗手段的不斷提高,20 世紀50 年代末粒子物理發展的黃金期已來臨。從李政道先生髮表第一篇論文起,他一路引領弱相互作用的研究到達黃金礦區。剛進入60 年代時,他和楊振寧又一次在中微子研究中作出傑出的里程碑性貢獻。那時他們對中微子的瞭解以及如何用中微子研究粒子物理的基本規律,不管從理論和實驗的角度都有了更深入和前瞻的革命性思想,在這篇論文中他們提出了高能加速器中微子實驗原理。在同一期的《物理評論快報》李先生的同事,施瓦茲也提出了高能加速器中微子實驗的構想。這是一個非常革命性的思想,一直在有力地推動著包括中微子在內的粒子物理不斷向前發展,並取得了豐碩成果。
1959 年11 月24 日,在哥倫比亞大學物理系每天下午的咖啡時間,李政道先生與以往一樣是交談的中心,引導眾人探討在高能量探測弱相互作用的實驗方法。當時的弱相互作用V-A理論已廣泛被接受。然而,由於費米理論是四費米子相互作用無法重整,在高能時會出現無窮大的發散。這意味著四費米子相互作用只是低能量條件下的有效算符,是高能完整理論的近似。要想進一步探究弱相互作用的完整面貌,必須尋找更高能量的實驗探測方法。使用包括質子、電子、派介子、繆子等作為研究手段都因為會涉及電磁相互作用或強相互作用,無法避免對探測弱相互作用產生干擾,從而一一被否決。雖然下午的討論無果而終,但引起了施瓦茲對這個問題的強烈興趣。當天晚上施瓦茲意識到,中微子只參與弱相互作用,可以天然地避免電磁或強相互作用的干擾,是探測弱相互作用的理想探針。雖然中微子參與的相互作用非常弱,但探測中微子也不是完全不可能。難以抑制興奮的施瓦茲連夜撥通了李政道家的電話,而李政道聽了這個想法後也非常激動,很快便著手透過計算驗證施瓦茲的想法。不久之後的1960 年3 月15 日,施瓦茲、李政道和楊振寧就發表了他們的重要論文。
圖7 施瓦茲、李政道和楊振寧論文題目
施瓦茲的論文提出,用高能質子束打靶,可以產生大量的派介子,這些高能派介子隨後衰變,產生高能中微子束流。他同時估計,從派介子衰變出來的中微子,最多大概能攜帶派介子一半的能量。施瓦茲給出了實驗的基本概念設計和訊號事例數的估算,並在此基礎上提出了高能中微子實驗的可行性和基本設計要求。在文章末尾,施瓦茲特別感謝了與李政道和楊振寧豐碩的討論。
李政道和楊振寧的論文,則廣泛探討了高能加速器中微子束流的可能應用,非常前瞻性地提出了九大方向:
1) 區分電子相關的中微子和繆子相關的中微子是否是兩種不同的中微子;
2) 檢驗輕子數守恆;
3) 檢驗輕子是否參與電磁相互作用之外的中性流相互作用;
4) 檢驗輕子是否是點粒子;
5) 檢驗電子和繆子參與的相互作用是否完全一致;
6) 檢驗中微子和反中微子之間是否存在S-對稱性;
7) 檢驗向量流守恆;
8) 檢驗是否存在帶電的W規範粒子;
9) 探測大動量轉移的相互作用。
文章最後也感謝了與施瓦茲的討論。
這兩篇文章建立了高能加速器中微子實驗這一開創性的思想,為之後的中微子實驗研究指明瞭方向。萊德曼、施瓦茲、斯坦伯格按照李先生他們理論文章的建議,於1962 年用高能加速器產生的中微子驗證了存在電子和繆子相關的兩種不同中微子,並因此獲得1988年的諾貝爾物理學獎。萊德曼在諾貝爾授獎晚宴中代表三人特別感謝了李政道先生:“我們還要感謝很多人,特別要提到我們哥倫比亞大學的同事——李政道教授,感謝他的指導和靈感。”這項工作是理論和實驗物理學學家緊密合作的光輝典範。
60 多年來,這項工作引領了很多成功的探索。前面提到的電子和繆子中微子是不同中微子的驗證,之後弱中性流的驗證,陶中微子的發現,利用加速器和反應堆中微子測量中微子振盪,由此引申的利用太陽中微子,超新星中微子以及宇宙線中微子等開展的粒子物理研究都能看到這項工作的影響。今天還在為粒子物理研究指引著進一步向前探索的方向。
接下來的一段時間,李先生在中微子物理方面致力於比較細緻的關於中微子特性研究。李先生與合作者展開了一些相關的計算,包括高能中微子碰撞核產生W玻色子的截面,檢驗向量流守恆,中微子的電荷形狀因子,並且也與合作者用二分量中微子理論計算了中微子穿過地球產生的繆子通量強度,為大氣宇宙線中微子物理打響了前哨戰。
08
中微子物理研究,一生的探索
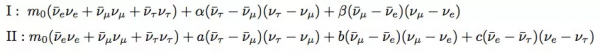
20 世紀60 年代後期到2006 年前,李政道先生主要精力放在了中微子物理外的研究領域。但是中微子物理還是在2006 年再次成為他比較密集的研究課題。2006 年時李先生已80 高齡,但思路清晰,仍然走在研究的前沿。這段時間他關於中微子研究的第一篇論文是與弗裡德伯格合作在2006 年發表的。這篇文章簡單清晰,直指問題要害。當時中微子物理中人們很關心的一個重要問題是不同種類中微子混合模式。到2006 年,三種不同代的中微子:電子—、繆—和陶—三種中微子都已經發現,而且中微子振盪現象已被觀測到,表明不同中微子有混合,而且至少有兩種中微子質量不為零。三代粒子的混合可用一個3×3的么正矩陣描述,如圖8(a)所示。它有三個混合角θ12,θ23,θ13和一個破壞時間反演T對稱性的相位δ。如果中微子是馬約拉納粒子,還可能有另外兩個相位。但是如果只關心透過中微子振盪研究混合,這兩個額外的相位不起作用。實驗結果需要標準模型外新物理來解釋中微子質量的成因與混合機制。
圖8 (a) 標準引數化混合, (b)三重雙極和(c) 修正的混合。Sij=Sinθij, Cij = Cosθij
當時資料表明中微子之間的混合與已知三代夸克混合模式非常不一樣。三代夸克的混合矩陣混合角θ12,θ23,θ13 都比較小,然而中微子的混合矩陣要求第一和二代以及第二和三代的混合的混合角θ12,θ23比較大。是否存在第一和第三代不為零的混合角θ13還很不清楚。當時在這方面的研究中比較集中討論的理論模式有如圖8(b)顯示的有哈里森和斯科特首先,以及稍後高能所的邢志忠以及我和徐一鴻都各自研究的三重雙極混合模式(圖8(b))以及它的修正模式(圖8(c))。如果CP破缺存在,修正模式會更復雜,而且部分矩陣元將會是複數。
但是如何從理論上建構出這樣的混合模式是理論工作者們要回答的問題。李政道和弗裡德伯格2006 的論文關注到哈里森和斯科特、邢志忠以及我和徐一鴻的工作。李先生他們從對稱性角度出發討論問題。首先假設三代中微子質量矩陣的對角元素具有共同的值m0,而非對角元素的產生是由第i 箇中微子νi 作平移變換νi+z 不變而得到。他們考慮了以下兩種可能的質量項形式
第一種情況就會給出圖8(b)的三重雙極混合矩陣。然而第二種形式就會得到圖8(c)的修正形式。這樣從簡單的對稱性的考慮就得到了人們期待的混合模式。在這裡值得一提的是,當人們還在滿足於得到三重雙極混合模式時,李先生已經考慮到了可能的修正形式。這一點很重要。因為當時實驗資料的誤差,三重雙極混合模式與實驗資料沒有矛盾,形式極為簡單,而深受人們喜歡。它預言第三個混合角θ13為零。當時中國的大亞灣中微子實驗和世界上其他幾個實驗正在準備更精準測量θ13。如果得到不為零的值,三重雙極混合模式必須修改。李先生他們得到的修正模型提供了θ13不為零的可能性。所以2012 年大亞灣中微子實驗測量到不為零的θ13後,李先生他們的理論仍然還能繼續作為討論中微子混合模型的架構。如果在平移變換中也引進相位,他們的模型也會存在CP 破缺現象。之後幾年中從各種對稱性出發研究三重雙極混合及其修正成為主流。現在實驗還不能確定中微子混合中CP 破壞的大小。將來一旦有實驗值,所有相關模型將會被重新檢驗。希望在不久的將來,中微子的混合形式能夠被精準地確定。
接下來的幾年裡李政道先生較密集關注中微子物理研究,又發表了五篇更廣泛探討中微子的混合模式,與夸克混合的聯絡以及相關的CP 破缺現象等。李先生這段時間發表的最後一篇中微子物理研究的論文是在2010 年。之後他仍然非常活躍地穿梭於世界各地作相關學術報告,直到2011 年85歲時從哥倫比亞大學榮退。
透過前面的介紹,我們可以清楚地看到中微子物理是李先生一生喜愛的研究方向之一。在不同時期和不同研究方向,李先生在中微子物理研究中的開拓性貢獻對現代粒子物理有非常巨大和深遠的影響。感謝李先生為中微子物理、粒子物理和人類科學事業做出的卓越貢獻。
09
感謝與祝福
在此我借用這一機會,感謝李政道先生,感謝他倡導和促成的為培養中國青年科技人才的CUSPEA專案。這一專案從1979 年到1989 年給予了900 多名中國青年學生到美國深造的機會,培養了許多優秀人才。我常想起小時候我外公李季偉(在法國勤工儉學時用名——李嘉秀)給我講過的他於20 世紀早期,1919 年從四川到法國勤工儉學的艱辛歷程。當時從四川到法國勤工儉學的有鄧小平、陳毅、聶榮臻等老一輩革命家。可是到法國後,當時法國經濟狀況惡化和不穩定以及當時中國政府的不作為,使得留法學生們,工不能勤,學不能儉,連生活都不能維持,還不得不向國內父老鄉親募款維持生計。因而在1921 年爆發了勤工儉學留法學生的“反飢餓運動”。相比之下,CUSPEA 學生到美國學習,不管從生活到學業都得到李先生的關懷,CUSPEA學生都有獎學金,生活無後顧之憂,能專注學業。
我很幸運有機會成為一位CUSPEA學生,能獲得獎學金,得到前沿科學教育,獲得博士學位。之後有機會在基本粒子物理方面在李先生開創的一些領域裡工作推進人類對自然界基本規律不斷的探索,而且現在能在上海交通大學李政道研究所作為李政道講習教授繼續做出努力。為這一切,我從內心非常感激李政道先生,並以此文祝福先生95生日快樂。
圖9 作者1984 年7 月參加第12 屆SLAC暑期學校期間,與李政道先生交談
擴充套件閱讀:
李政道與少年班 | 現代物理知識雜誌
用超級計算機破解繆子反常磁矩之謎 ——格點量子色動力學 | 現代物理知識雜誌
我記憶中的層子模型 | 現代物理知識雜誌
什麼是天才 | 現代物理知識雜誌
我記憶中的層子模型 | 現代物理知識雜誌
李政道先生和北京正負電子對撞機重大改造工程 | 現代物理知識雜誌
背景簡介:本文2021年12月14日發表於微信公眾號 現代物理知識雜誌 (李政道與量子場論 | 現代物理知識雜誌),風雲之聲獲授權轉載。
責任編輯:陳昕悅
表於微信公眾號 現代物理知識雜誌 (李政道與量子場論 | 現代物理知識雜誌),風雲之聲獲授權轉載。
責任編輯:陳昕悅
