仰望星空是物理學的起源。
人類早就有了,但是早期的人類不能思維,從何得知?
要想思維必須得要語言,所以第一步必須得先會說話,要說話就得會操縱你的舌頭,沒有舌頭髮不出音。要操縱舌頭需要神經系統高度發達。如何看神經系統發達不發達?看頸椎骨上的腔有多大,整個神經系統是透過整個頸椎骨透過的,你這個腔要足夠的大,才能說明神經系統高度發達,才能用舌頭說話。只有有了語言,人們才可能進行思維。人類真正會說話呢,起源於智人,大約在5萬年前。一旦有了思維,就可以看到發展是多麼神速。
有了思維後,仰望星空,開始思考世界的組成。(好奇心)
我們今天也在思考類似的問題,但比這個要高階一點。
從仰望星空開始,人們在探求科學的真理中經歷了很多挫折,很多人為了科學獻出了自己的生命。
我們今天對這個世界是如何理解的?
對物理世界進行了解,首先要進行測量,測量就免不了要引入單位,介紹完單位、量綱後,依賴單位、量綱來介紹今天對世界的認知。
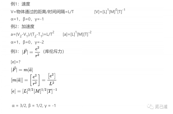
人們在進行物理學研究時,發現所有的單位只需要引進3個基本單位就行,其餘的物理量都可以利用這3個基本的物理量來表述出來。
1、長度(length)centimeter L
2、時間(time)second T
3、質量(mass)gram M
[Q]=[L]α[M]β[T]γ
古代認為世界是由金木水火土五種元素組成,這距離目前的認知相差並不太遠,現在的認知比之稍微複雜一點。
世界大致是有多種夸克以及反夸克加上輕子(電子、反電子、µ介子、反µ介子、τ介子、反τ介子)、中微子(電子、反電子、µ介子、反µ介子、τ介子、反τ介子所對應的)組成。這些是最基本的單元,其餘的物質是這些單元的組合形成的。
這些是磚和瓦,還需要有水泥將他們粘合在一起,這個東西在物理裡叫做相互作用。
夸克目前是不能分離出來的。(夸克禁閉)永遠不會單個存在,必須得抱團。
質子、中子都是夸克透過膠子粘在一起的。
質子(Proton)=uud(2/3+2/3-1/3=1),由兩個U夸克和一個D夸克組成,正好帶一個單位的正電荷。
中子(Neutron)=u+dd=0,不帶電荷。
