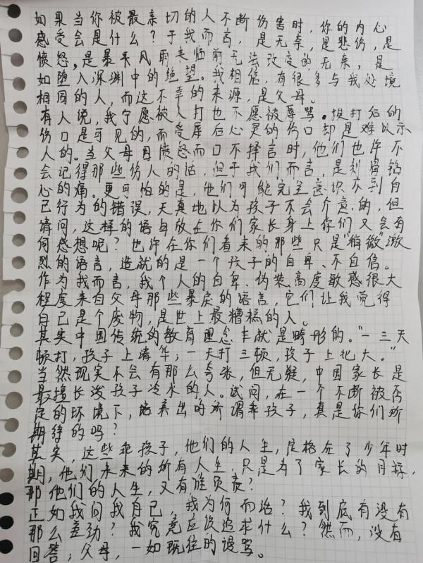
這個孩子找到我時,我已經不給他代課了。他說:“這些話,我不知道該給誰說,我很痛苦,很矛盾!感覺老師你還比較關心我們,所以,我想約你個時間。”於是,我們整整用了一個晚自習的時間交談,但我基本上都是聽他說。說到傷心的時候,他說:“老師,不瞞你說,我曾經有過自殘。”
聽了他的訴說,我陷入了長久的思考。我說你可以把你內心真實的東西寫出來,或許可以幫到更多的人。過了幾天,當他給我這張紙條時,感覺明顯好了一些。我徵求他的意見,能否把這個發出來時,他說可以,只要能讓更多家長明白他們的行為所產生的後果。
那麼,這個孩子和家長之間到底有什麼解不開的結呢?是因為學習成績不好嗎?其實,這個孩子很多時候排名都在年級前100,好的時候能排到前20名。但圍繞學習成績發生的衝突卻是家常便飯。
搜尋
