文:懂車帝原創 曹浩
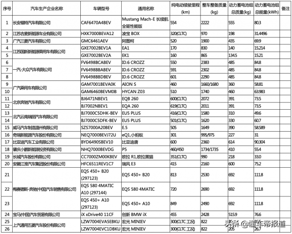
[懂車帝原創 產品] 日前,工信部發布了《免徵車輛購置稅的新能源汽車車型目錄(第四十九批)》,多款新能源乘用車入圍,純電方面包括Mustang Mach-E長續航全驅效能版、廣汽三菱阿圖柯、賓士EQA、EQB、EQS等車型入選;插電混動則有WEY摩卡PHEV入選;燃料電池車輛方面,豐田MIRAI也進入目錄。
具體來看,進入新一批免徵購置稅目錄的純電車型共計26款,包括了很多熱度很高的新車,比如福特Mustang Mach-E長續航全驅效能版、廣汽三菱阿圖柯、賓士EQB、EQA、EQS、寶馬iX等等。除了車型值得關注外,我們也看到很多車型所申報的純電續航里程都已經開始使用最新的CLTC標準。
    
        摩卡DHT-PHEV
其他乘用車方面,插電混動車型此次新增了摩卡DHT-PHEV的兩款車,WLTC標準純電續航里程為175公里和204公里,由於電池容量相同,所以這兩款車或許會分別對應兩驅版本和四驅版本。燃料電池汽車方面則出現了豐田MIRAI的身影,其純電行駛里程為781公里,但目前尚不清楚其儲氫量會是多少。







 
			 
			 
			 
			 
			 
			 
			 
			 
			 
			 
			 
			 
			 
			 
			 
			 
			