又到了一年一度發放年終獎的時候。被A股市場認為業內頂流的券商年薪,自然成了關注的焦點。與此同時,市場關於共同富裕的討論越來越熱烈,與普遍員工差別巨大的券商管理層的年薪將如何這樣變化呢?
券商有可能被限薪
在這種大背景下,一份證券業協會下發的《關於開展行業薪酬管理制度調研的通知》的截圖廣泛流傳。
有媒體報道,中國證券業協會近日向券商下發薪酬管理制度調研的通知,要求券商在1月17日17點前提交反饋意見。通知提到,健全合理的薪酬激勵機制是公司穩定健康發展的必要保障,同時也是促進行業高質量發展和防範化解金融風險的重要基礎。為了解行業對完善薪酬管理制度的意見建議進行調研。
據稱,通知被業內解讀為限薪的前奏。
此前1月6日晚間,媒體圈有關“中泰證券非銀分析師陸韻婷在小紅書上曬工資單”的截圖爆火。工資單截圖顯示,截至去年11月的收入超224萬元,申報稅額達62萬元。
這位網名Ingrid的小紅書使用者曬出其截至2021年11月的納稅記錄,其中,11月稅後收入超過6萬元,貼主卻感嘆是“最低一個月的收入”。網友透過網名,將該工資單與中泰證券非銀分析師陸韻婷聯絡起來。隨後陸韻婷在其朋友圈發文稱,不認識發文之人,也沒有小紅書賬號,自己被移花接木了,“今天碰到大無語事件,還是要出來說:沒有小紅書賬號,有人移花接木再傳播。”
中證協網站顯示,陸韻婷曾先後在海通證券、天風證券供職,2018年加入中泰證券,學歷為碩士研究生。
中國證券業協會向券商下發薪酬管理制度調研的通知,與這張截圖所引起的市場反應是否有關,目前不得而知。
頭部券商投行曾醞釀漲薪
據北京青年報記者瞭解,2021年下半年,國內頭部券商投行曾經醞釀過漲薪計劃。
當時市場傳聞,一家證券投行Senior Associate(高階經理)的底薪最少將漲到3.8萬,這意味著,剛入職的應屆生(SA1職級)就能拿到這個數字。而Vice President(副總裁)的底薪,最少漲到5.8萬。另一家券商投行也被曝出醞釀漲薪。一名疑似該券商投行的網友在社交媒體透露,投行業務計劃全面漲薪,要對齊兩家頭部公司,員工第一年底薪不低於3.4萬。若對標公司應屆生底薪漲到3.8萬,該公司有跟進的可能。
但漲薪傳聞隨後出現反轉。取而代之的,則是一則降薪傳聞。3.8萬的漲薪徹底取消,多拿的可能還得返還。
最終結果如何,外界不得而知。
北青報記者注意到,去年的智聯招聘調研顯示,結合競爭指數與平均招聘薪酬來看,基金/證券/期貨/投資領域的工作具有平均月薪12389元的高薪特點,吸引無數人才踴躍求職。
50家券商高管薪酬在網上流傳
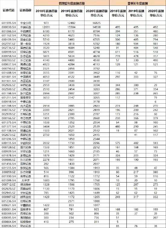
目前,一份2020年券商管理層的年薪排行榜在網路上流傳。這份標有50家券商的大榜單,將各家公司高管年薪與董事長年薪標得清清楚楚。
根據這份榜單,2020年度中金公司的高管薪酬總額為1.68億,位居第一;中信證券高管薪酬總額1.49億緊隨其後;成為券商業高管高薪的第一梯隊。
中信建投以總額8787萬名列第三,天風證券、國金證券、第一創業、國信證券的年度高管薪酬總額均超過5000萬,成為第二梯隊。
然後高管薪酬總額從1000萬到5000萬不等,可以列為第三梯隊。第四梯隊的高管薪酬總額則不足1000萬,分別是國投資本、西南證券、湘財股份和哈投股份,高管薪酬總額分別為935萬、896萬、736萬和311萬。
據榜單顯示,第一創業董事長2020年的薪酬為981萬元,國金證券董事長795萬,國信證券、招商證券董事長薪酬均超500萬元。
經濟日報曾點名中金公司, 指其人均月薪10萬損害股民利益
2021年4月1日,《經濟日報》刊文點名中金公司, 指其人均月薪10萬損害股民利益。
文章指出,中金公司在眾多券商年報中“出圈”的不是其亮眼的業績,而是其位居券商榜首的人均薪酬。中金公司去年拿出108.31億花在員工薪酬福利上,分紅僅8.69億,員工薪酬福利金額是分紅的12.46倍。
文章稱,公司業績增速明顯,員工薪酬水漲船高無可厚非,是正向激勵員工的一種方式。但拿出分紅12倍的錢分配給員工,中金公司置股東以至眾多小股民於何地?文章認為,員工利益與股東利益對於公司而言,經常是天平的兩端,如何平衡十分重要。但不能採取過度有損於一邊以實現任意傾斜向另一邊的方式。人均月薪近10萬元,不僅對中金公司長遠發展不利,而且有損社會公平。
另據北京青年報記者瞭解,中金公司2020年的董監高薪酬也位居行業前列。有資料顯示,12名高管的年薪之和為5995萬;另有董事長、合規總監和資訊長等7人的年薪沒有顯示。
據東方財富網顯示,執行長,執行董事,管理委員會主席黃朝暉的年薪為1598.20萬。總裁助理徐翌成的年薪為1010.10萬。董事會秘書孫男的年薪為797.30萬。首席財務官黃勁峰的年薪為729.80萬。首席風險官張逢偉的年薪為521.70萬。
文/北京青年報記者劉慎良
