一、哥本哈根量子力學詮釋
量子力學是研究微觀粒子的運動狀態和運動規律,微觀粒子電子、中子、質子,夸克和量子一樣都是量子力學的研究範疇,但是實體粒子和量子是不同的,實體粒子有質量,而量子是能量子,它是沒有靜止質量的。量子力學是在20世紀初由玻爾、海森堡、薛定諤、泡利、普朗克等物理學家建立的,他們組成了哥本哈根學派,哥本哈根詮釋是目前對量子力學本質的正統解釋。愛因斯坦的光子理論學說推動和發展了量子力學。哥本哈根對量子力學的詮釋,就是認為微觀粒子在微觀空間中的運動狀態是不確定的,運動狀態可以用波函式來描述,薛定諤方程的波函式Ψ(x、y、z、t),可以計算粒子在微觀空間的分佈機率。泡利量子理論的原子軌道就是波函式的描述行為,透過薛定諤方程計算得到原子核外電子的原子軌道和原子軌道量子數。原子核外電子在空間分佈狀態是不確定的,電子單縫衍射,相同的電子透過狹縫射在螢幕上,隨著電子數目的增多,電子以不同的機率分佈呈現出明暗條紋,這些都說明了粒子在微觀空間中呈機率分佈的,電子在某時刻它的運動狀態是不確定的。
在愛因斯坦看來,波函式機率描述電子的軌道並不是電子真實的運動情況,電子的運動狀態是精確的,準確的,用機率描述自然現象只是人在研究微觀粒子的過程中採用的一種不得已的手段。哥本哈根學派總是用機率粗略的描述一群電子的運動規律,而不能準確地描述單個電子真實的運動規律,這隻能說明量子力學是不完備的,真正完備的量子力學肯定可以描述單個電子精確的運動規律。愛因斯坦反對哥本哈根詮釋中的不確定原理,所以他說上帝不會擲骰子。他對電子的機率分佈理論不滿,愛因斯坦認為核外電子在某個時刻的位置和速度都是可以準確測定的,只是沒有找到準確測定的方法和完整的底層理論。
二、薛定諤方程
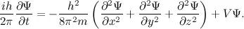
量子力學是研究微觀粒子的狀態和運動的規律,薛定諤方程是描述微觀粒子運動狀態的基本方程。微觀粒子在空間某時刻的位置是不確定的,是隨機的,薛定諤方程的波函式就是用來描述電子在空間的分佈機率,薛定諤方程表示式。
薛定諤方程波函式ψ(x、y、z、t),粒子勢能函式V(x、y、z、t)都是時間和位置的函式,h普朗克常數,i虛數單位,m粒子質量。
波函式ψ模的平方表示粒子在t時刻在某位置出現的機率,也就是粒子的機率密度,而波函式Ψ本身是機率的平方根,是一個非物理量,本身沒有物理意義,只是描述粒子在空間分佈的機率波動。薛定諤方程,描述了微觀世界粒子的運動狀態和運動規律,牛頓定律描述了宏觀世界物體的運動狀態和運動規律。薛定萼方程可以計算原子核外電子的分佈機率,計算電子層的原子軌道和原子軌道的量子數。
三、薛定諤的貓
薛定諤貓的實驗是將一隻貓關在一個箱子裡,箱子裡有一個瓶子裝有氰化鉀,還有一個瓶子裝有放射性鐳,鐳原子核衰變存在機率,如果鐳發生衰變,就會釋放出中子觸發機關,打碎裝有氰化物的瓶子,這樣一來貓就會死,如果鐳不衰變就不會釋放出中子,裝有氰化物的瓶子就不會碎,貓就能活。在箱子門沒有開啟前,貓可能死也可能活機率為50%,處於生死的疊加態,當門開啟後這種疊加態就坍塌成一種確定的狀態。用薛定諤的貓比喻微觀粒子狀態,在沒有測量以前粒子的位置是不確定的,可能在不同的位置,粒子狀態處於疊加態,當被測量後,量子的位置就被確定的,也就是說粒子的疊加態坍塌成一種確定狀態。
薛定諤的貓,常用來形容不確定的事物,比喻一種事件,在沒有確定之前,可能是A也可能是B,處於AB的疊加態,當經過驗證後,疊加態就能坍塌成一種確定的事件。
四、泡利原理
泡利不相容原理是原子物理和分子物理的基本理論,也是量子力學的重要基礎,泡利的量子理論是研究原子核外電子的分佈規律及電子層的複雜結構。透過薛定諤方程波函式ψ(x、y、z、t)求解和統計,得到了原子軌道和原子軌道四個量子數,薛定諤方程對於簡單系統,如氫原子中電子的狀態薛定諤方程能準確求解,對於複雜系統,如z個電子的原子,由於電子受遮蔽效應相互作用勢能會發生改變,所以只能近似求解。原子軌道和軌道量子數就是薛定諤方程的近似解。原子軌道的四個量子數決定了電子的運動狀態,其中n(主量子數),決定了電子能級;l(角量子數),決定了亞層軌道的形狀和電子的角動量,電子運動的角動量和電子的角量子數有關,M=√l(l+1)*(h/2π) ,l=0,1,2,……。l 越大,角動量越大,能量越大。m(磁量子數),表示亞層的原子軌道,決定了原子軌道在空間的伸展方向;ms自旋量子數,表示原子軌道兩個電子的自旋方向。四個量子數決定了電子的能量、軌道形狀、伸展方向和電子自旋方向,也就是說決定了電子在空間中的狀態。泡利原理可表述在原子內不可能有兩個或兩個以上的電子具有完全相同的4個量子數,或者說在量子數m,l,n相同情況下,一個原子軌道上最多可容納兩個電子,而這兩個電子的自旋方向必須相反。
泡利不相容原理揭示了原子複雜的電子層結構,非常方便地解釋不同原子之間化學鍵的結合機理和相互作用的原理。元素的化學性質與原子結構最外層的電子數有關,不同的元素如果最外層的電子的數量相同,則所表現出的性質相似,週期表就是依據這些原理編制出來的。
五、海森堡的測不準原理
測量粒子在微觀空間某時刻的位置和速度,我們透過儀器發射一定頻率的光子來測量,當光子去照射電子,光子和電子發生干擾作用,假如你先測量電子的位置,由於光子對電子的作用,這時它的運動速度就發生了變化,所以你在測量位置的同時,測量的速度肯定有很大的誤差,並且光子的頻率越大,測量位置就會越準確,而測量的速度就越不準確;反過來你先測量速度,同樣會對位置產生很大的影響。海森堡測不準原理△x△p ≥ h/4π(p動量),意思是測量的位置和動量誤差乘積是個確定的常數,說明不能同時準確測量電子的速度和位置,當速度測量誤差越小,位置測量的誤差就越大;位置測量誤差越小,速度測量誤差就越大。這就是海森堡測不準原理。測不準原理不是儀器精度的問題,也不是方法問題,而是在儀器測量時光子對測定粒子有干擾作用。
六、愛因斯坦的光子理論
光子理論由愛因斯坦提出(建立在普朗克能量子的概念上),愛因斯坦的量子理論推動了量子力學的發展。量子就是能量子,光子就是量子,量子和實體粒子不同,量子沒有靜止質量,實體粒子如電子、質子、中子、夸克等有靜止質量,光子的能量E=hν(ν為頻率,h為普朗克常量),光子的能量E=mc²(m是光子的運動質量),結合E=hν,所以光子的動量p=mc=hν/c。光子是組成光的最小能量單位。這些就是愛因斯坦的光子理論。
當物質受到光的照射時,如果光子的能量滿足原子的能級差hv=E₂-E₂,原子就會吸收這個光子,電子從能級E1跳躍到能級E2軌道上處於激發態,激發態電子是不穩定的,大約經過10-8秒以後,激發態電子將返回到低能級上,並將電子躍遷時所吸收的能量以光子的形式釋放出去。當原子吸收的光子能量大於電子的逸出功,電子就會發生電離產生光電流。這就是愛因斯坦的光電理論。
