高斯積分在科學、統計學和機率論中經常出現。事實上,如果熟悉統計學中的正態分佈(也被稱為 "貝爾曲線"),那麼你可能知道什麼是高斯函式。
高斯積分本質上是高斯函式下的面積。本文將研究高斯函式下的總面積是多少,這意味著我們將計算一個無限域的積分,並將這個結果應用於高斯函式的多種變化。
最簡單的高斯積分的形式是:
- 式1:高斯積分結果
引數a用來控制高斯分佈的 "寬窄 "程度。高斯分佈的中心是x = 0,它有以下特性:a越小,高斯分佈越“寬”,a越大,高斯分佈越 "窄"。從這個結果來看,比較令人驚訝的是,總面積是:
我們也許會猜想它與a成反比,因為高斯分佈的寬度會影響面積,但是為什麼π會出現在這裡呢?為了弄清楚這個問題,我們將從二維的角度來處理這個問題。
一個技巧:轉換為極座標
首先,讓我們把積分寫成:
我們也可以用不同的變數來表示,比如用y:
將兩者相乘,我們可以得到:
這裡我們可以做一個簡化處理。首先,我們注意到,根據福比尼的積分定理(Fubini’s theorem of integration),如果一個雙積分有常數(或與變數無關的)極限,我們可以將兩個積分的乘積合併為一個雙積分,即:
在這個的例子中是:
現在,看一下指數項,我們注意到有平方和。根據勾股定理,們可以將另一個變數寫為:
其中r是三角形的斜邊。在極座標下,r是圓的半徑。同樣地,我們可以定義一個相對於正X軸的角度。利用這兩個新變數,我們可以對積分進行變換。然而,這還不夠。積分的極限肯定會改變,因為在笛卡爾座標系中,積分的定義域是一個長為無窮大的矩形邊(因為在x和y上從負無窮到正無窮積分),在極座標中會是什麼樣子?
那麼,肯定也會有一個無限的域。然而,有一些限制:半徑r根據定義被限制在[0,∞]內,因為半徑不能是負的。其次,角度被限制在[0,2π]。因此,極座標下的積分是不同的。
另外需要注意的是,從直角座標轉換為極座標時,無窮小的增量dx和dy也將發生變化。事實上,由於兩者的乘積是一個 "無限小的矩形區域",當我們將這個矩形轉換為極座標時,我們應該得到:
其中d是一個無窮小的弧長,dr是半徑方向的無窮小變化。將所有這些結合起來,我們的積分就變成了:
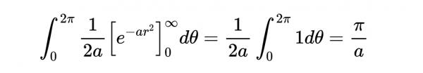
這裡,我們可以用換元法求解內積分:
得到:
這就是I^2的值,所以現在為了得到我們想要的積分值,我們只需取兩邊的平方根,從而得到所需的結果:
擴充套件
我們還可以用不同的形式來研究高斯積分。例如,考慮:
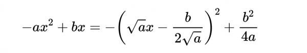
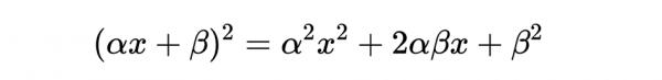
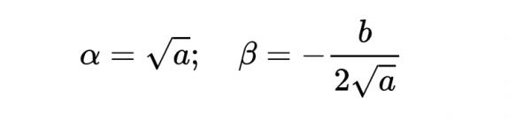
這稍微有點複雜,但我們可以這樣來求解:
也可以把它寫成:
其中:
得到:
因此:
這裡,我們可以做一個替換:
這樣:
利用公式1的結果:
因此,結果是:
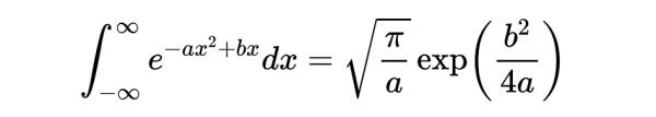
- 方程2:形式為ax^2+bx的高斯積分
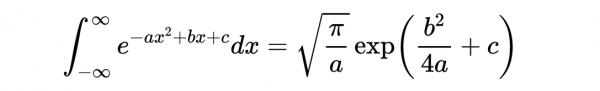
有趣的是,同樣的過程也可以用於得到下面的結果:
- 方程3:形式為ax^2+bx+c的高斯積分
如前所述,高斯積分有多種用途。其中最常見的是在統計學中的正態分佈中,實際上一個連續隨機變數X的點的分佈是高斯分佈:X的大多數隨機樣本將落在均值E[X]附近,方差Var[X]決定高斯分佈的寬度或狹窄程度。因此,Var[X]越大,點的分佈越廣。
