傅立葉變換和傅立葉級數是有史以來最偉大的數學發現之一。它們幫助我們將函式分解成其基本成分。它們揭示了任何數學函式的基本模組,並讓我們能夠使用這些模組,以便更好地理解和運算它們。但是,傅立葉級數和傅立葉變換背後的想法究竟是什麼,這些 "基本成分 "又是什麼?
基本思想
傅立葉級數和傅立葉變換背後的直覺是相同的。
任何函式都可以寫成正弦函式之和。
這個想法很簡單,但卻非常深刻。
我們在高中時都學過什麼是餘弦和正弦。它們將直角三角形的一個角度與兩個邊長的比值聯絡起來。另一種理解方式是,餘弦和正弦分別是圍繞單位圓運動的一個點的x和y座標。它們是人們能想到的最簡單的週期函式之一。
- 正弦和餘弦函式的圖形
- 餘弦和正弦作為繞單位圓運動的點的座標
由這兩個函式組成的和,可以表示任何數學函式,這一事實讓人驚訝。
但是,傅立葉級數和傅立葉變換之間有什麼區別呢?
傅立葉級數和傅立葉變換的區別在於,前者用於將週期性函式分解為正弦和餘弦之和,而後者則用於非週期性函式。
現在讓我們來看看這兩者是如何運作的。
傅立葉級數
正如我們所說,傅立葉級數用於週期性函式。回顧一下,如果以下等式成立,一個函式f(t)被稱為是週期性的,其最小週期為T。
簡單地說,這意味著該函式以長度為T的時間間隔重複其數值。
- 週期性函式的例子
最後,我們將該週期函式的基本頻率定義為1/T,即週期的倒數。如果說週期告訴我們函式重複的頻率,那麼頻率則告訴我們每單位時間有多少次重複。
現在我們有了定義傅立葉級數所需要的一切。
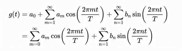
傅立葉級數是正弦函式的無限加權和,每個正弦函式的頻率都是原始週期函式的基頻(1/T)的整數倍。
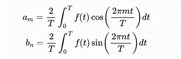
傅立葉級數的公式如下:
- 週期性函式g(t)的傅立葉級數展開
這看起來有點複雜,讓我們把它分解一下。
分解
我們從基本週期為T的週期函式g(t)開始,然後將其表示為兩個無限和。一個是餘弦之和,另一個是正弦之和。這兩個和都是加權的,這意味著它們所包含的每個餘弦和正弦都有一個係數。在我們的例子中,這些係數分別用符號α_m和b_n表示。下標字母m和n是和的計數變數。因此,例如,當m變成1、2、3等時,每個餘弦的係數從α_1變成α_2,α_3以此類推。
還有自變數t,它也是初始函式g(t)的自變數;常數2π,它的存在與對稱性有關;以及分母中的週期T。你可能已經注意到,我們可以用頻率f代替上式中的1/T比率,以避免使用分數。
我們在三角函式中遇到的最後一個符號是每個和的計數變數,m代表餘弦,n代表正弦。它的存在所達到的目的是,在無限的和中,每個餘弦和正弦將有不同的頻率。然而,這些都不是任意的頻率。它們是初始函式g(t)的頻率的整數倍。
計算係數α_m和b_n的公式在下面給出。我們不會多談它們,因為它們對我們的理解沒有幫助。
你現在知道如何將任何週期性函式擴充套件為餘弦和正弦之和。
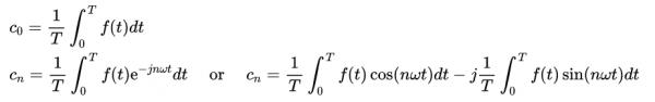
傅立葉級數的替代形式
在我們進入傅立葉變換之前,我想向你介紹一種替代的,也是等價的傅立葉數列的表示方法。這就是下面的內容。
- 傅立葉級數的指數形式
雖然它看起來與我們上面討論的三角函式形式大不相同,但實際上是等價的。我們所做的只是利用尤拉公式(該公式將餘弦和正弦與復指數聯絡起來),以更簡潔的形式重寫傅立葉級數。現在,我們不再有兩個和,而只有一個。
- 尤拉公式
傅立葉變換
如果你已經理解了我們所說的關於傅立葉級數的一切,那麼傅立葉變換就會非常簡單了。這一次,我們關注的是非週期性函式。傅立葉變換的公式如下。
- 傅立葉變換
傅立葉變換的重要性
傅立葉變換的結果是一個頻率的函式。希臘字母omega,"ω",是用來表示角頻率的,它是乘積2πf的名字。當初始函式f(t)是一個時間函式時,傅立葉變換給了我們該函式的頻率內容。
一個時間函式的傅立葉變換是一個頻率的復值函式,其大小(絕對值)代表了原始函式中存在的該頻率的數量,其引數是該頻率的基本正弦波的相位偏移。傅立葉變換不限於時間函式,但原始函式的域通常被稱為時域。
我們可以用逆傅立葉變換把初始函式找回來。
- 傅立葉和逆傅立葉變換
詳解
讓我們比較一下傅立葉逆變換和傅立葉級數。
首先,我們沒有使用餘弦和正弦(這將產生兩個積分),而是使用一個復指數,以更簡潔的方式表示正弦函式。在積分前出現的係數1/2π是為了對稱。
我們立即注意到的另一件重要事情是,我們現在有了一個積分,而不是一個離散的 "西格瑪 "和。請記住,積分本身就是和,唯一的區別是在積分下被求的量是連續的,而不是離散的。由於初始函式f(t)是非週期性的,我們需要所有可能的頻率,從負無窮大到正無窮大來表示它。在傅立葉級數的情況下,我們只使用T的整數倍。由於我們現在沒有一個基本週期T,我們被迫使用所有的週期。
對於復指數的係數,我們得到了在每一個可能的頻率ω下函式的傅立葉變換的值。正如你所看到的,從傅立葉級數的概念到逆傅立葉變換的概念,有一個明顯的一一對應關係。
結束語
正如泰勒級數將一個函式分解為無限的單項式加權和一樣,傅立葉級數和傅立葉變換幫助我們將一個週期性函式表示為正弦訊號的加權和。正弦訊號在數學意義上很容易被運算。如果我們知道一個系統,比如可能是一個有彈簧的經典系統,是如何對正弦波輸入作出反應的,那麼我們就可以用上述的想法將任何其他輸入表示為正弦波之和。因此,很大一部分分析已經完成,數學運算也變得容易多了。由於這個原因,傅立葉級數以及傅立葉變換在所有科學領域都有大量的應用,如電子工程、物理和生物。
