數學很難,它們需要抽象的思維和利用某些邏輯基本規則運算數學符號的能力。這就是為什麼在整個數學史上,我們想出了許多方法來簡化這種複雜性,以使數學不那麼複雜。相量(Phasor)就是一個典型的例子。但是,相量概念背後的直覺究竟是什麼,它們在現實世界中有哪些應用?
正弦波和指數函式
三角函式和指數函式是數學中使用最廣泛的函式之一。它們幫助我們描述了大量的自然現象。讓我們快速回顧一下它們的一些特性,因為我們在研究相位時將會用到這些知識。
正弦函式
餘弦和正弦。可能是最基本的週期函式。餘弦和正弦分別是一個圍繞單位圓運動的點的x和y座標。這就是為什麼它們被用於物理學的各個領域(以及數學)以描述任何形式的振盪。
- 餘弦和正弦是圍繞單位圓運動的點的'x'和'y'座標
- 餘弦函式的振幅、角頻率和相移
儘管它們在物理學和數學學科中都極為重要,但從純代數的角度來看,餘弦和正弦並不那麼容易使用。例如,三角函式的加法和乘法比較複雜,為此還制定了一個龐大的公式表,作為涉及三角函式運算的參考。
除了加法和乘法,當我們看一下它們的導數和積分時,就會發現餘弦和正弦的另一個缺點。正如我們所知,餘弦的導數是正弦,反之亦然。這看起來很簡單,那麼問題出在哪裡?讓我們來看一個具有上述所有特性的函式。
指數函式
- 指數函式
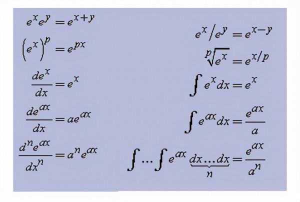
它是函式f(x)=e^x,其中e是尤拉數(e=2.71828),自變數 "x "作為指數出現。在所有的指數函式中,這是迄今為止最重要的一個。拋開所有現實世界的應用,以e為底的指數函式是所有數學中最容易運算的函式。我們可以花很多時間來討論它的屬性,但由於你們已經很熟悉了,我將在下面的圖片中總結一下。
- 指數函式的性質
指數函式在大多數運算中都比較簡單,從乘法和平方根到導數和積分。
相量背後的思想
但為什麼我們要說這些呢?如果我們能用指數函式代替數學和物理中遇到的任何正弦函式不是很好嗎?從代數的角度來看,這將極大地簡化任何問題。這就是相量的主要思想,也是相量在物理學家和數學家中如此受歡迎的原因。讓我們看看我們如何才能真正實現這一目標。
尤拉公式
可以說,這有數學中最美的公式之一。尤拉公式在三角函式和指數函式之間架起了一座橋樑。這個公式是由尤拉在1748年發現的。理查德-費曼(Richard Feynman)將這個公式稱為 "數學中最傑出的、令人震驚的公式之一"。
- 尤拉公式
- 尤拉恆等式
上述公式中的符號'i'是虛數單位,你可以把它僅僅看作是一個數字。
相量
現在終於到了深入研究相量概念的時候了。利用Re{}和Im{}函式,我們可以將餘弦和正弦分別表示為複數指數的實部和虛部。
在文章的剩下部分,我們將選擇餘弦作為重點,但我們要講的一切也適用於正弦的情況。透過分解上面公式中的指數,我們得到:
- 圖中紅色的應該是相量,此處筆誤寫作了相位
透過分解指數,我們得到兩個獨立指數的乘積。第一個指數只包含引數phi,即餘弦的初始相位,而另一個指數則包含角頻率omega和自變數t。在大多數情況下,無論是物理學還是工程學,系統中都存在許多頻率相同的正弦。然而,它們的振幅和相位將是不同的。這就是相量發揮作用的地方。
相量是一個複數,用來表示正弦函式。這個複數包含函式的振幅和初始相位,但它不包含其頻率(重點)。
你已經可以看到為什麼相量如此重要。如果我們有一個系統,所有的正弦波都有相同的頻率,那麼我們只需要一個數字,一個複數來表示每一個正弦訊號。如果我們有了這個數字,那麼我們所要做的就是用它乘以包含頻率資訊的exp(jωt),來得到實際的正弦波。
相量的幾何解釋
複數可以被認為是複平面上的向量,這個平面是由垂直的虛軸和水平的實軸構造的。向量的長度代表複數的振幅,而與正實軸的角度代表其相位。
- 相量是複數平面上的複數
正如我們所看到的,振幅和相位是我們完全描述向量所需要的一切。這就是為什麼頻率不會出現在相量中。它不是向量的內在特徵。相反,頻率告訴我們這個箭頭在複平面上逆時針旋轉的速度。頻率越大,向量的旋轉速度就越快。
相位的應用
由於相量使我們能夠用複數替代正弦函式,我們可以在遇到正弦函式時使用它們。從電路和電磁場,一直到波浪和量子力學,相量似乎都是主宰。
電路
在電路中,當我們處理交變電流和電壓時,相量就會派上用場。在這種情況下,電流和電壓都是振盪的,因此,我們可以使用三角函式來模擬它們。此外,它們還能幫助我們定義一個元件的阻抗,簡單地說,這個概念使我們能夠用一個數值為複數的電阻來代替任何元件如電容器、電感器等。
波動力學
波動力學是研究波的物理學領域。波是一種擾動或振盪,它在空間和時間中傳播,傳遞能量和動量,但不傳遞物質。作為一種振盪,還有什麼比使用正弦波更好的方式來描述它們呢?同樣,我們用尤拉公式把這個正弦波變成一個指數。
因此:
- 波浪方程是複數函式
應該注意的是,大多數時候我們完全省略Re{}函式,直接將波定義為複數指數。我們這樣做是為了避免一遍又一遍地重寫Re{}。相反,當我們找到問題的答案時,我們會在最後說,為了得到實際的實數波,我們取我們所找到的任何解的實數部分。
考慮到這一點,如果我們有一個包含許多相同頻率ω的波的物理系統,我們可以透過使用相量使數學變得更加簡單。就像我們之前所做的那樣,我們把上面的復指數分解成兩個指數,我們捨棄有頻率成分的那個指數來獲得相量。
其他應用
所有包含波動力學中相量的概念都自然延伸到量子力學和電磁學。在電磁學中,振盪的量是電場和磁場,我們用相位數來描述它們。在量子力學中,要複雜一些,因為我們現在要處理的是機率波,但從數學的角度來看,同樣的原則也適用。
總結
指數函式的數學運算比三角函式的運算更簡單。我們使用尤拉公式來實現轉換。
此外,如果我們處理的是一個所有振盪頻率相同的系統,我們可以將尤拉公式得到的指數分成兩半,在代數運算中不考慮頻率部分。因此,在這種情況下,只需要一個單一的複數,即相量,就可以完全描述我們系統中的每個正弦波。
