文 | 學術頭條,作者 | 庫珀,編輯 | 寇建超
![]()
這是一張“神奇”的太陽能燃料系統的照片,該裝置放置於蘇黎世聯邦理工學院機器實驗室大樓樓頂。據介紹,這種裝置製造的燃料是碳中性的,因為它們燃燒釋放的二氧化碳與製作時提取的二氧化碳量一樣多。
而且,這個系統可以利用陽光和空氣直接生產出液態烴或甲醇燃料,也就是所謂的“空氣燃料”。
甚至,研究人員認為,該系統所需的升級方案有望滿足全球範圍內的航空煤油消耗量(2019 年為 4140 億升)。
空氣燃料?未來是不是可以“秒殺”新能源電池?聽上去確實有點不可思議。
如今,來自蘇黎世聯邦理工大學(ETH)的科研團隊就成功地驗證了太陽能空氣燃料生產流程的技術可行性,論文日前發表在頂級科學期刊 Nature 上。據論文描述,當前的系統能在日常條件下運轉,在一天 7 小時的工作時間內產生 32 毫升的甲醇。
眾所周知,陽光和空氣是地球上唾手可得的自然資源,隨著生產流程的最佳化和改進,這項研究成果有望為生產碳中和的碳氫燃料鋪平道路。
太陽能空氣燃料合成系統
如今,在全球推進“碳中和”的背景下,許多國家都在開啟一場經濟社會全方位的綠色低碳轉型,例如推進使用低碳能源取代化石燃料,或者倡導低碳出行。
在交通領域,航空航運目前約佔人為二氧化碳排放總量的 8%,全球旅遊業和貿易量的增長預計將進一步增加這一指標。在現實生活中,碳中和的交通運輸是可行的,例如近年來開始普及的由電池供能的新能源汽車,但挑戰在於,電量焦慮往往難以很好滿足長途商業旅行需求,特別是在航空旅行中。
近年來,透過太陽能驅動的過程從水和二氧化碳中提取燃料(石油衍生液體碳氫化合物燃料的合成替代品)被視為是很有希望的一種解決方案。
科學家們嘗試了許多可能的方法,其中,使用濃縮太陽輻射作為高溫過程熱源的熱化學路徑潛在具有高生產率和有效性。進一步而言,如果實驗所需的二氧化碳能直接從大氣中獲得,則可以提供真正意義上的碳中和燃料,如果水分子也能從空氣中共同提取,那麼原料來源和燃料生產可以集中在陽光照射強烈、水資源有限的沙漠地區進行。
針對這一設想,蘇黎世聯邦理工大學的科研團隊演示了整個熱化學太陽能空氣燃料生產鏈的執行,完成了直接從環境空氣中捕獲水分子和二氧化碳到運輸燃料(如甲醇)的合成,並評估了將這種合成燃料推向市場所需的經濟可行性和政策。
從實驗裝置來看,他們開發的太陽能空氣燃料系統包含三個基本單元:
1、直接空氣捕捉(DAC)裝置,直接從環境空氣中共同提取二氧化碳和水分子;
2、太陽能氧化還原裝置,將二氧化碳和水分子轉化為所需的一氧化碳和氫氣混合物(合成氣);
3、將合成氣轉化為液態烴或甲醇的氣-液(GTL)裝置。
ETH 附屬的一家公司專門從事二氧化碳空氣捕獲技術,名為 Climeworks AG,該公司的技術可透過吸附-脫附過程直接從環境空氣中過濾出二氧化碳,為這項實驗提供了基礎裝置。吸附在環境溫度和壓力下進行,每次迴圈 180 分鐘,解吸在 95 °C 和 0.1-0.3 bar 下進行,每次迴圈 43 分鐘。該裝置可處理 2000 立方米/hr的氣流,每天 5.5 個迴圈可產生約 8 kg 的二氧化碳,測得純度為 98%(其餘為空氣)和 20-40 kg 的水(取決於空氣相對溼度),汙染物低於 0.2 ppm 的檢測限值。
在吸附步驟中,廢氣離開裝置,捕獲了約 40-70% 的初始二氧化碳含量。解吸步驟中,從 DAC 裝置排出的捕獲二氧化碳流在環境壓力下收集到氣球式緩衝罐中,隨後壓縮至最大 12 bar,並儲存在 750 升鋼緩衝罐中,水分子則從解吸流中冷凝並儲存在塑膠緩衝罐中。根據需要,二氧化碳和水分子均從緩衝罐輸送至太陽能氧化還原裝置。
具體而言,太陽能氧化還原裝置透過集中太陽輻射,驅動還原-氧化(氧化還原)迴圈,透過二氧化碳和水分子的熱化學分解產生一氧化碳和氫氣。研究人員使用非化學計量氧化鈰作為氧化還原材料,因為它具有快速動力學、晶體穩定性和豐度。至於可替代的氧化還原材料,如鈣鈦礦和鐵尖晶石等,可能會表現出優異的氧化還原效能,但尚未證明其穩定性。
太陽能氧化還原裝置中心的迴圈包括兩個步驟:在第一吸熱步驟中,二氧化鈰熱還原生成氧氣,在第二放熱步驟中,還原的氧化鈰用二氧化碳/水分子重新氧化,分別生成一氧化碳或氫氣。燃料(氫氣、一氧化碳)和氧氣分別在單獨步驟中生成,從而避免形成爆炸性混合物,無需高溫氣體分離,研究人員採用溫度和壓力波動來最大化氧化鈰的氧交換能力,從而提高每迴圈的燃料產量。
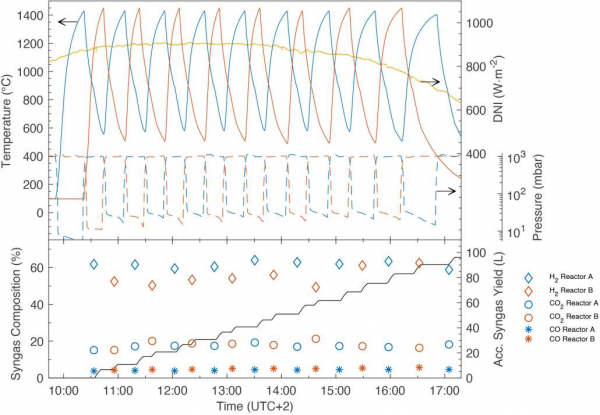
7 小時執行生成 32 毫升甲醇,汙染極低
在一天 7 小時的正常環境下執行,研究人員透過連續的氧化還原迴圈,共獲得 96.2 升(標準升,包括所有物種:59.5% 氫氣、4.6% 一氧化碳、17.5% 二氧化碳和氬)的合成氣,合成氣的日質量比產率為 12.81 L/kg 氧化鈰。二氧化碳與一氧化碳的累積摩爾轉化率為 15.1%,二氧化碳裂解的峰值為 65%。
在這一天的執行中,目標合成氣質量適合甲醇合成,該太陽能合成氣可在 GTL 裝置中進一步加工成甲醇,這是一項成熟的技術工藝,GTL 裝置測得的單程摩爾轉化率為 27%,產生純度為 65% 的甲醇,其餘為水(低於檢測限的汙染物,例如乙醇和丁醇
剩餘的未轉化合成氣迴圈多次透過 GTL 裝置,然而,由於氬氣濃度隨著每一道次的增加而增加,迴圈的合成氣在連續 6 次迴圈後被丟棄,最終總摩爾轉化率為 85%,一天 7 小時執行,產生的純甲醇量為 32 毫升。
在任何一種情況下,合成氣純度和質量都適用於 GTL 處理,並且可以針對甲醇或其他合成燃料進行定製,而不需要額外的步驟來校正成分和分離不需要的副產物。從石油中提取的碳氫化合物就包含很多空氣汙染物(例如硫化合物、重金屬等)。此外,基於實驗中合成染料的噴氣燃料的燃燒測試表明,與基於化石的噴氣燃料相比,有害物質排放顯著減少。
研究人員在論文中表示,在間歇太陽照射下,整個系統穩定、成功地在室外執行,令人信服地證明了熱化學工藝鏈將陽光和環境空氣轉化為燃料的技術可行性。但將此類燃料技術推向市場需要大量的工藝最佳化和升級,這需要得到政策的支援以實現商業規模的市場引入。
從產業化層面來講,可以使用大量聚焦在太陽能塔上的太陽碟或定日鏡場放大並將直接正常太陽輻射(DNI)濃縮到所需的太陽通量濃度(C>2000 個太陽),例如,商業規模的太陽能燃料發電廠可以使用 10 個定日鏡場,每個定日鏡場收集 100 兆瓦的太陽輻射功率,理論上每天約能生產 95000 升燃料(假設總體系統效率 η 係為 10%),足以為一架載有 325 名乘客的空中客車 A350 提供倫敦-紐約往返航班的燃料。
碳中和燃料里程碑
在當下成熟的產業硬體/軟體控制下,定日鏡場的這種方式是可行的,但其動態特性仍需在現場得到驗證。
使用當前太陽能燃料系統中應用的技術,大約只需 4500 平方米,就能用於捕獲工藝所需的約 100000 噸二氧化碳/年,所覆蓋的土地面積不到總土地足跡的 1%。
假設 η 系=10%,這樣一個太陽能燃料廠每年將產生約 3400萬 升燃料,進一步而言,2019 年全球航空煤油消耗量為 4140 億升,完全滿足全球航空燃料所需的所有太陽能發電廠的總佔地面積約為 45000 平方公里,相當於撒哈拉沙漠面積的 0.5%。
值得關注的是,在本次實驗演示中,研究人員並沒有嘗試最佳化機組以獲得最大成效,整套系統還擁有較大改進潛力,與受資源供應限制的生物燃料不同,如果全球航空燃料需求可以透過利用全球不到 1% 的乾旱土地來滿足,前景堪稱充滿想象力,且太陽能空氣燃料生產鏈的生命週期評估表明,相對於傳統化石噴氣燃料,80% 的溫室氣體排放得以避免。
鑑於太陽能熱化學燃料的初始投資成本較高,因此需要政策支援,以實現廣泛部署,並透過規模效應和工藝最佳化,大規模生產關鍵部件和持續最佳化,從而實現合成燃料成本降低。
研究人員暢想,隨著時間的推移,政策和技術框架大概要經歷以下幾個階段:初始研發和技術演示、市場建立和系統開發以及形成市場競爭力,這將開啟太陽能空氣燃料曲線發展程序。
粗略計算之下,即使初期建造的前十座太陽能空氣燃料發電廠的初始成本超過每公升燃料 10 美元(相比之下,等量傳統石化燃料的生產成本不到 1 美元),供應 0.1% 的市場份額就能夠部署早期生產設施,重要的是,太陽能空氣燃料可利用現有的儲存、分配和利用基礎設施,不需要生產鏈以外的新技術開發。
研究人員表示,利用陽光和空氣生產碳中和的碳氫燃料是一個重要里程碑,在適當的政策支援下,有望啟動航空部門長期脫碳目標的實現。
- 參考資料:https://www.nature.com/articles/s41586-021-04174-y
