2021年12月8日,是久經考驗的忠誠的共產主義戰士、無產階級革命家、卓越的軍事家、軍事教育家,我國地質工業的開創者和主要領導人,抗大總校副校長何長工同志誕辰121週年,抗大文化研究院刊發此文,以示紀念!
何長工同志從1938年5月到抗戰勝利一直致力於抗大的教育事業,把自己的命運與抗大的命運連在一起,流汗、流血,參與鑄就了抗大的輝煌。先後任抗大第五大隊大隊長,第一分校校長,總校教育長、副校長等職。在抗大擔任職務期間,何長工同志克服種種困難,堅持敵後辦學,先後撰寫了《抗大五年來工作總結》和《抗大教育方針及其特點》等多篇文章,為我黨我軍培養了一大批優秀的軍政人才,為抗日戰爭的勝利作出了重要貢獻。
1939年抗大總校挺進華北敵後辦學,1940年2月底,抗大總校抵達山西武鄉縣蟠龍鎮,何長工立即帶領一分校一個留守大隊歸入總校建制。4月,何長工擔任抗大總校教育長。1940年11月4日,抗大深入敵後漿水辦學期間,何長工同志先後擔任學校教育長、副校長職務,在漿水狠抓游擊戰爭中的正規化建設,總結教學經驗,編寫教材,對抗大的發展付出了巨大的心血。
1941年6月1日是抗大五週年校慶,何長工在大會上對教育方針進行新的闡述,成為繼毛澤東、林彪之後唯一一位對抗大教育方針做闡述的校首長。為了全面總結抗大建立五年來,特別是深入敵後一年多的辦學經驗,滕代遠和何長工多次召開專題座談會,在對各項工作的工作經驗進行了研究、總結之後,編撰了《抗大五年來的工作經驗》一書,何長工的《抗大教育方針及其特點》文章也收入其中。該書系統地闡述了毛澤東關於抗大教育的方針,也是何長工等多年來創辦抗大的實踐經驗的總結和昇華。
1942年8月,滕代遠調任八路軍前方總參謀長,何長工被任命為代理副校長,主持抗大工作。1943年1月,抗大總校奉令將連以下幹部及陸軍中學留在太行抗日根據地,其餘人員由何長工率領,返回陝北綏德繼續辦學。1945年10月中旬,抗大總校在何長工率領下東渡黃河開赴東北。1946年2月,在吉林通化成立東北民主聯軍軍政大學,何長工擔任第一副校長。
![]()
1943年8月14日,中共中央軍事委員會任命何長工為抗大總校副校長委任狀
![]()
1946年,東北軍政大學進駐哈爾濱,右為第一副校長何長工,左為副政委吳溉之
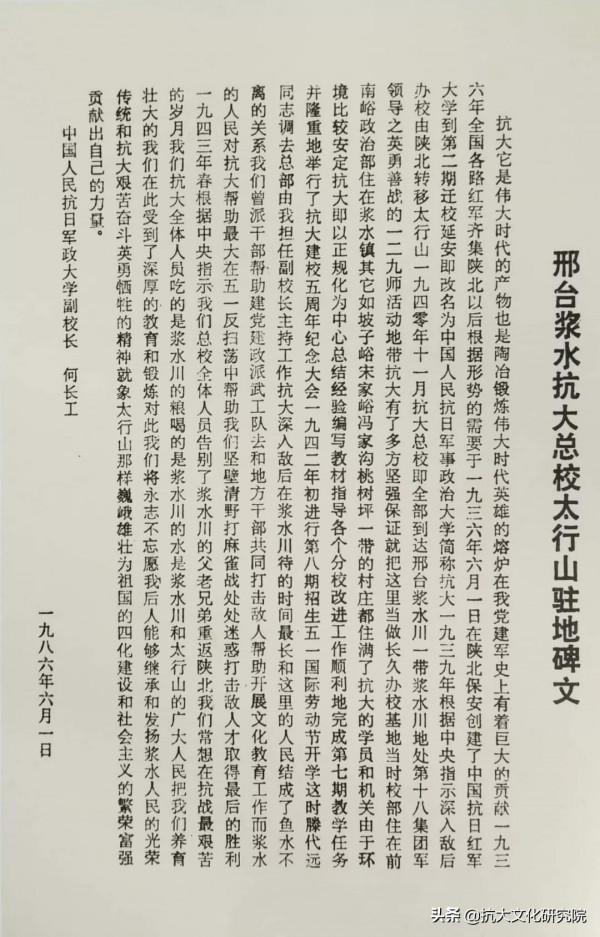
太行山的戰鬥歲月,在何長工的心中留下了永生難忘的印象。1986年6月1日,紀念抗大成立五十週年之際,中央軍委和中共河北省委、河北省人民政府在漿水抗大總校駐地前南峪村建造了全國唯一一座抗大紀念碑,何長工滿懷熱情,撰寫了碑文。何長工對於漿水感情非常深厚,碑文中,何校長這樣說道:“我們常想在抗戰最艱苦的歲月,我們抗大全體人員吃的是漿水川的糧,喝的是漿水川的水,是漿水川和太行山的廣大人民把我們養育壯大的。我們在此受到了深厚的教育和鍛鍊,對此我們將永誌不忘。”
何長工與老區人民的血肉聯絡
抗大在漿水期間,抗大總校與當地群眾建立了深厚的“軍民魚水之情”。何長工經常親自深入群眾,瞭解群眾的疾苦,為群眾排憂解難,在漿水鎮留下了不少美談。
在抗大總校校部進駐漿水鎮前南峪村不久時,何長工夫婦得知,村裡有個乳名叫衛生子的窮孩子,因父親流落他鄉,母親過早去世,家裡只剩下他和十來歲的姐姐衛娥子二人,孤苦伶仃,無依無靠。由於缺吃少穿,瘦得皮包骨頭,村裡人認為這孩子活不了多久。何長工決定將其接到家中,同自己孩子一起吃住,慢慢衛生子恢復了健康。長大後,他不辜負革命前輩的養育和教誨,曾擔任了大河菱鎂礦廠的廠長,成為邢臺縣(現信都區)有名的企業家。
熔爐火焰 代代相傳
![]()
2017年6月1日,何長工之子何光暐參加抗大建校80週年,圖為參觀何長工宿辦室
2018年6月 1日,何長工之子何光皓參加抗大建校82週年活動,圖為活動留影
![]()
2021年6月1日,何長工孫女何佳霖捐贈其爺爺何長工珍貴史料若干件
何長工(1900年—1987年),原名何坤,1922年加入中國共產黨。1927年,參加秋收起義,主持設計了中國工農革命軍第一面軍旗,是我黨第一個農村革命根據地——井岡山革命根據地的建立者之一;改造了我軍第一支農民武裝王佐部隊,並於1928年4月主持了朱毛兩軍會師和紅四軍成立大會;1933年10月,在瑞金成立了紅軍大學,何長工任校長兼政委;新中國成立後,曾任中共第七、八次全國代表大會代表;1982年9月至1985年9月為中共中央顧問委員會常務委員、第三、四屆全國政協常務委員、第五屆全國政協副主席。
