近日,中國科學院上海天文臺觀測高能天體物理組研究團隊利用硬X射線調製望遠鏡衛星(“慧眼衛星”)在著名黑洞雙星天鵝座X1的軟譜態時探測到88mHz的高能準週期振盪訊號,相關研究工作已發表在《天體物理學期刊》(Astrophysical Journal)上。
著名的黑洞X射線雙星系統——天鵝座X1是上世紀六十年代最早發現的X射線源之一,它由一顆大質量的O型恆星和一個黑洞組成,二者相互繞轉,恆星星風物質被黑洞吸積,並從黑洞中持續輻射出較強的X射線,這一特點使它成為少數幾個已知的黑洞X射線雙星之一。最新的測量結果顯示它距離地球大約7200光年,雙星系統中的黑洞質量大約21倍太陽質量,是銀河系中已知黑洞質量最大的恆星級黑洞,也是銀河系中唯一已知的黑洞大質量X射線雙星。
“慧眼衛星”是中國第一顆空間X射線天文衛星,覆蓋能量範圍1--250 keV,是既可以實現寬波段、大視場X射線巡天,能夠研究黑洞、中子星等高能天體的短時標光變和寬波段能譜的空間X射線天文望遠鏡,也是具有高靈敏度的伽馬射線暴全天監視儀。升空後的第二天,“慧眼衛星”就對第一目標——天鵝座X-1進行了觀測。
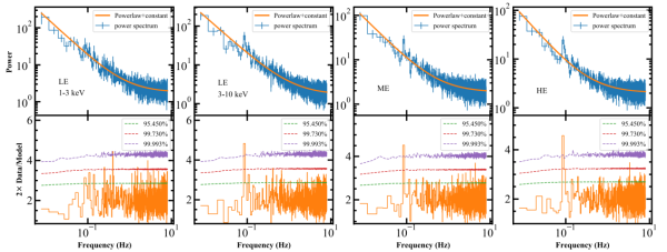
該團隊分析了“慧眼衛星”對天鵝座X1的觀測資料,在曝光時間最長的一次觀測中(約15萬秒),“慧眼衛星”的低、中、高能探測器獨立顯著地探測到一個頻率在88mHz的暫現準週期振盪訊號。透過對該準週期振盪訊號的頻率、相干性、幅度以及隨能量的變化等性質的研究,研究人員發現,具有大質量恆星的天鵝座X1與銀河系中佔多數的小質量黑洞X射線雙星在低頻準週期振盪的性質表現出不同的特徵。
值得注意的是,該研究中透過“慧眼衛星”資料探測到的天鵝座X1準週期振盪訊號是在軟態時發生的,而過去在黑洞雙星中發現的準週期振盪訊號,大都是在黑洞雙星處於硬譜態時探測到的。雖然之前在RXTE衛星時代,人們也曾在天鵝座X1中可能探測到類似準週期振盪訊號,但是從未在50keV以上的硬X射線能量範圍探測到。因此,該探測結果顯示了我國慧眼X射線天文衛星在高能硬X射線的觀測優勢。
同時,該發現對理解大質量X射線雙星中的毫赫茲準週期振盪(頻率<100mHz)現象提供了重要線索,可能為揭示包括X射線脈衝星和近鄰星系超亮X射線源的吸積模式開闢新的研究方向。與天鵝座X1類似的還有大麥哲倫星雲中的大質量黑洞X射線雙星LMC X-1。它長期處於軟譜態中,科學家們偶爾也能探測到幾十毫赫茲左右的準週期振盪。上海天文臺研究人員認為,在大麥哲倫星雲LMC X-1探測到的準週期振盪很可能和本次在天鵝座X1中探測到的毫赫茲準週期振盪是由同一種機制產生的,且類似的毫赫茲準週期振盪在其他型別的大質量X射線雙星中也都發現過,比如大質量X射線雙星中的吸積脈衝星和近鄰星系中的超亮X射線源。因此,這種發現可能暗示著這種毫赫茲準週期振盪和星風吸積模式有關。
![]()
天鵝座X1的藝術想象圖(來自NASA/CXC/M.Weiss)
![]()
慧眼衛星三個儀器低能、中能和高能探測器對毫赫茲準週期振盪訊號的獨立探測
來源:中國科學院上海天文臺
