點選藍字
關注我們
編者手札
前列腺癌是全球男性第二大常見癌症,大多數晚期前列腺癌患者在接受雄激素剝奪療法(ADT)後會進展為去勢抵抗性前列腺癌(CRPC)。恩扎盧胺和醋酸阿位元龍是治療轉移性去勢抵抗性前列腺癌(mCRPC)的雄激素受體靶向藥物,PREVAIL研究和COU-AA 302研究證實了兩種藥物的療效。目前,恩扎盧胺和醋酸阿位元龍已獲多個國家批准用於化療前mCRPC患者的治療。
但是,恩扎盧胺和醋酸阿位元龍暫無頭對頭Ⅲ期臨床研究,哪種藥物的療效和安全性更優,以及應優先選擇哪種藥物,目前尚不清楚,需要真實世界資料以及更大患者群體的結果進行討論。在此背景下,本研究比較了恩扎盧胺和醋酸阿位元龍在mCRPC患者中的患者基線特徵、療效和生存時間,同時分析了影響影像學無進展生存期(rPFS)和總生存期(OS)的預後因素。
研究介紹
該研究採用回顧性研究設計,共納入2012年至2015年5箇中心(均來自土耳其)、250例mCRPC患者,接受恩扎盧胺160mg/每天或阿位元龍1000mg/每天聯合潑尼松10mg/每天,直至疾病進展、死亡或出現不可耐受的毒性。除雙側睪丸切除患者外,所有患者繼續接受ADT治療,血清睪酮水平為50ng/dL(≤2.0nmol/L)。
研究結果
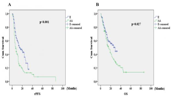
患者基線特徵如表1所示。對於患者確診時即發現轉移的比例,醋酸阿位元龍組高於恩扎盧胺組(P=0.016);對於無PSA下降的患者數量,醋酸阿位元龍組高於恩扎盧胺組;恩扎盧胺組中,PSA下降≥50%的患者比例更高(P=0.020)(圖1)。治療12周後,與恩扎盧胺組相比,阿位元龍組疾病進展率更高,疾病穩定率更低。中位隨訪時間為13個月,隨訪期間,醋酸阿位元龍組疾病進展率(82%)顯著高於恩扎盧胺組(P<0.001)。恩扎盧胺組的rPFS(P<0.001)和OS(P=0.027)獲益更顯著(圖2)。
根據接受多西他賽治療前/後分層的亞組分析結果,如表2所示,無論多西他賽治療前還是治療後,恩扎盧胺組rPFS顯著高於醋酸阿位元龍組。分析OS結果發現,多西他賽治療前兩組OS無顯著差異;多西他賽治療後,恩扎盧胺組的OS較醋酸阿位元龍組顯著延長(圖3)。
關於影響rPFS和OS的預後因素,單因素分析結果顯示,治療藥物(恩扎盧胺或醋酸阿位元龍)對預後結果影響顯著。其他顯著影響rPFS的預後因素包括年齡、多西他賽治療前/後分層以及PSA下降比例;顯著影響OS的預後因素包括多西他賽治療前/後分層和PSA下降率。多變數Cox迴歸分析結果顯示,年齡、治療藥物、PSA下降率以及轉移部位是rPFS的獨立預後因素,尚未觀察到OS的獨立預後因素。
討論
該研究討論了恩扎盧胺和醋酸阿位元龍治療mCRPC患者的rPFS和OS。與醋酸阿位元龍相比,恩扎盧胺組的rPFS和OS在統計學上優勢顯著,但未顯著降低患者死亡風險。研究結果表明,整體佇列的rPFS和OS分別為12個月和20個月,恩扎盧胺組分別為15個月和29個月,醋酸阿位元龍組分別為7個月和16個月(rPFS:P<0.001;OS:P=0.027)。
在Ⅲ期AFFIRM研究中,既往接受過多西他賽治療的患者,接受恩扎盧胺治療後,OS和至PSA進展時間分別為18.4個月和8.3個月。在PREVAIL研究中,恩扎盧胺用於既往未接受過多西他賽化療患者的rPFS顯著優於安慰劑組(20 vs 5.4個月),該研究被提前終止。PREVAIL研究中,恩扎盧胺組和安慰劑組的中位OS分別為35.3個月和31.3個月。在本研究中,多西他賽治療後與治療前的患者,接受恩扎盧胺治療,rPFS分別為11個月和17個月,OS分別為26個月和29個月。儘管本研究隨訪時間較AFFIRM研究和PREVAIL研究稍短,但研究結果一致。
研究結論
該研究表明,與醋酸阿位元龍組相比,恩扎盧胺組的rPFS和OS更長。患者接受多西他賽治療前/後進行分層顯示,多西他賽治療前和治療後,恩扎盧胺組的rPFS顯著優於醋酸阿位元龍組;並且,多西他賽治療後,恩扎盧胺組的OS較醋酸阿位元龍組顯著延長。
參考文獻:
Ayşe Demirci,Cemil Bilir,Burcu Gülbağcı,et al. Sci Rep. 2021 Jul 8;11(1):14131.






 
			 
			 
			 
			 
			 
			 
			 
			 
			 
			 
			 
			 
			 
			 
			 
			 
			