狹義相對論是討論兩個慣性系物理量(時間、距離、動量)之間的變化關係,如果是非慣性系,這種物理量之間的變化關係需要透過廣義相對論去解釋。所謂的慣性系,是指不受外力作用處於靜止或勻速運動的參考系,而非慣性系,是指受外力作用產生加速運動的參考系。
一、時間變慢效應
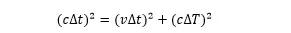
如圖1,飛船裡光子鐘的時間就是光子運動的時間,飛船裡光子從A垂直運動到B經歷的時間是就是光子鍾時間△T,地面小人觀察飛船裡光子從A到B實際上是光子沿著斜線AB運動到B,地面小人觀察飛船裡光子從A到B是光子鐘的時間△T,但實際上光子從A到B的時間就是沿著斜線AB運動到B的時間△t,也就是地面慣性系的時間。由三角形長度關係可得:
從式中看出 △t>△T,就是說地面小人觀察飛船裡時鐘時間小於地面小人觀察地面時鐘時間,當飛船的速度接近光速時,地面小人觀察飛船裡的時鐘經過1少時,而地面上的時鐘卻經過了很長的時間,這是地面小人的觀察和測量的結果,但實質上飛船裡小人觀察飛船裡的時間和地面小人觀察地面時間是一樣的。當飛船速度接近光速時,地面小人觀察飛船裡時鐘走的很慢,當飛船速度等於光速時,飛船裡的時鐘時間靜止。飛船的速度不能超過光速,否則公式沒有意義,愛因斯坦的理論宇宙中的速度不能超過光速。
地面小人觀察飛船裡時鐘走慢的真正原因:1、在不同的慣性系中因為光速不變,2、在飛船裡,當物體發生位移時,物體本身發出的光需要一定的時間進入地面小人的眼睛,地面小人看物體運動會發生時間延遲。
計算1、有一列150m長的火車,火車以v=0.9c(c光速)的速度勻速離我們而去,地面人觀察到飛船上的時鐘走了△T=20分鐘,哪麼地面上時鐘用了多少分鐘呢?
解:△t是地面靜止慣性系時鐘走的時間,△T是運動慣性系時鐘走的時間,由計算公式得到
△t=△T╱0.435=46.5分
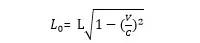
二、尺子縮短效應
如圖2,運動慣性系火車裡有長度為L0的一根尺子ab,火車裡小人觀察尺子ab兩段透過參考點p的運動,所以尺子的固有長度L0=v△t,△t是火車裡小人的觀察火車裡的時間,也就是地面上時鐘的時間。地面小人觀察尺子ab兩段透過參考點p的計算的運動長度L=V△T,△T是地面小人觀察火車裡面的時間。
根據尺子的固有長度和運動長度關係 L0=v△t,L=V△T,匯出:
公式中,L0是火車裡小人在靜止慣性系火車中測定尺子的固有長度,L是地面小人透過觀察時間測定的運動長度,可得出L0>L,測量長度小於尺子的固有長度。
