聯邦智慧財產權局已將下諾夫哥羅德羅巴切夫斯基國立大學科學家們研究出的“胰島素片劑”列為2021年度主要發明之一。
該大學已經發布了此通知。
此前聯邦智慧財產權局格里戈裡·伊夫列夫在接受衛星通訊社採訪時表示,除抗新冠病毒領域外,過去一年的三大主要發明分別為抗菌複合材料、消毒機器人和胰島素片劑。
他還指出,現如今胰島素只能透過注射來服用。迄今為止,開發片劑形式的嘗試都以失敗告終,因為胰島素在到達迴圈系統之前就在胃腸道中迅速分解了。
下諾夫哥羅德大學的化學家已經開發出一種可以解決胰島素輸送問題的組合物。“新胰島素”對人類胃腐蝕性環境的抵抗力要高出很多倍。
羅巴切夫斯基大學已於 2021 年 10 月取得了“一種用於輸送口服胰島素的奈米組合物及其製備方法”發明的專利權。
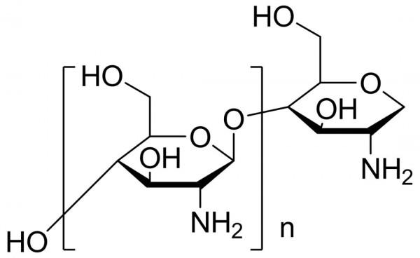
下諾夫哥羅德羅巴切夫斯基國立大學稱,在甲殼類動物和昆蟲的外殼中獲得的殼聚糖基礎上的奈米顆粒被用於製造這種藥物。殼聚糖已被科學家證明對於人類和動物具有無毒以及安全的優良特性。
研發人員稱,“基於殼聚糖的奈米顆粒能夠粘附在人體或動物體內的粘液組織表面,從而逐漸釋放活性物質。因此,患者對藥物的耐受性會更好。”
圖文來源:俄羅斯專利局官網
