新高考,對於高考生影響較大的其中一個方面就是高考總成績的計算方式變了。
什麼是等級賦分?
等級賦分制,是新高考規定選考科目設等級性考試下,成績按等級賦分 (3+3地區是全部6個選考科目,3+1+2地區是思想政治、地理、化學、生物共4個科目),對應這些科目卷面分滿分為100分,根據考生分數排名的百分比而非卷面分數來計算成績的一種方法。目前,等級賦分制只用於選考科目的成績統計,使用範圍為、新高考改革省市。
-注意-
等級賦分制不是按照考生的卷面分數來計算成績。而是遵循“原始分數——百分比例——等級——轉化分數”的等級賦分路徑。
等級賦分制只適用於選考科目的成績計算。即浙江、上海、北京、天津、山東、海南6個省市的物化生政史地6個選考科目採用等級賦分制;河北、遼寧、江蘇、福建、湖北、湖南、廣東、重慶8個省市的化學生物政治地理4個選考科目採用等級賦分制。
等級賦分由相關主管部門自動完成,大家在查詢到自己的高考成績時,看到的已經是賦分後的分數,不需要大家自行換算。
是不是交白卷也有分數?
對於等級賦分,很多同學還是不大理解。此前有同學提出,是不是新高考之後即使交白卷,賦分之後也是有分數的?
按照等級賦分的基本思路,是將每門選考科目的同一型別考生成績按照分數高低依次排序。排序中,根據比例劃分不同等級,按照公式賦予不同等級分。
等級分的滿分值為100分,起點分值為30分。也就是說,假如考生考了0分,排到E等級。賦分後,最少也有30分,兩科加起來也有60分。但是這只是理論上的演算法,實際上針對這個問題目前暫時沒有官方規定,此前也有很多同學的留言提到:交白卷也相當於卷面分為零分,零分是不參與賦分排名的,所以如果交白卷應該是沒有分數,依舊是零分。
各省市等級賦分制計算詳解
由於近日正式出臺新高考改革方案的甘肅、黑龍江、吉林、安徽、江西、貴州、廣西等7個省份暫未公佈具體的等級賦分計算方式,此處不作分析。
以之前已經啟動新高考改革的14個省市等級賦分制方案來看,總體可分為5個型別:
01 五等21級賦分制(3分1檔)
省市:包括北京、天津、浙江。
1、北京把學生每門科目的原始成績按照分數高低進行排名,再按照排名將1%-15%,16%-50%、51%-84%、85%-99%、99%以下劃分成A、B、C、D、E五個等級。A、B、C、D四個等級內又按照不同的比例分成5個小的等級。根據學生卷面分數的排名和報考科目的總人數,確定學生屬於哪個等級內,再根據每個等級對應的分數給予賦分。
2、天津按照實際參加當次考試學生總數(成績為零分的學生除外)的相應比例劃分等級,位次由高到低分為A、B、C、D、E五等。等級性考試成績在計入高校招生錄取總成績時,每門科目成績由五等細化為A5、A4、A3、A2、A;B5、B4、B3、B2、B;C5、C4、C3、C2、C;D5、D4、D3、D2、D;E共21級,分別佔2%、3%、4%、5%、6%;7%、7%、7%、7%、7%;6%、6%、6%、6%、6%;5%、4%、3%、1%、1%;1%。其中,A 為滿分100分,E計40分,相鄰兩級之間的分差均為3分。
3、浙江按照考生各科成績按等級賦分,以當次高中學考合格成績為賦分前提,高中學考不合格不賦分。起點賦分40分,滿分100分,共分21個等級,每個等級分差為3分。
025等11級賦分制(3分1檔)
省市:上海。
上海普通高中學業水平等級性考試成績在計入高考總分時,由五等細化為A+、A、B+、B、B-、C+、C、C-、D+、D、E共11級,分別佔5%、10%、10%、10%、10%、10%、10%、10%、10%、10%、5%。其中,A+為滿分70分,E計40分。相鄰兩級之間的分差均為3分。
035等8級賦分制(1分1檔)
省市:山東。
山東採用5等8級賦分制。等級考試科目原始成績從高到低劃分為A、B+、B、C+、C、D+、D、E共8個等級。參照正態分佈原則,確定各等級人數所佔比例分別為3%、7%、16%、24%、24%、16%、7%、3%。等級考試科目成績計入考生總成績時,將A至E等級內的考生原始成績,依照等比例轉換法則,分別轉換到91-100、81-90、71-80、61-70、51-60、41-50、31-40、21-30八個分數區間,得到考生的等級成績。
045等級賦分制(1分1檔)
省市:遼寧、重慶、河北、湖北、湖南、江蘇、福建、廣東。
第三批實行新高考的省份統一採用五等級賦分制。等級分是按統一規則,由原始分進行等級劃定後,再由等級轉換而來的分數。對於某一再選科目,考生該科目的合格性考試成績達到合格後,轉換時賦分起點為 30 分,滿分為 100 分。
具體轉換規則和步驟如下:第一步,按照考生原始分從高到低劃定 A、B、C、D、E 共五個等級,各等級人數所佔比例每省各不同。第二步,將A至E五個等級內的考生原始分,依照等比例轉換法則,分別對應轉換到100~86、85~71、70~56、55~41和40~30五個分數段,從而將考生的等級轉換成了等級分。
05標準分
省市:海南。
海南具體換算的過程為:每個單科,按照原始分對全省同一類別團體的考生進行排名,每名考生都有一個對應的位置,算出每個原始分以下的考生人數佔團體考生總數的百分比,即百分等級。再由每個原始分的百分等級在《高考標準分與百分等級對照表》中查出它所對應的分數。
綜上,起點分值最少為21分。也就是說,假如考生並非交白卷,而且考了個位數的分數,排到E等級。賦分後,最少也有21分。
湖北等級賦分制計算詳解
具體換算過程:
1.固定的比例及對應的等級、賦分割槽間。
以實際參加該科選考人數的成績為基數,將各考生原始成績從高到低劃分為A、B、C、D、E共5個等級,各等級人數所佔比例分別約為15%、35%、35%、13%和2%。
以上的5個等級及各等級對應的比例及賦分割槽間是事先設定的固定規則,轉換後賦分成績滿分為100分,賦分起點為30分。
例1:
某學科原始分前15%的考生最高分為100分,最低分為95分,則該學科A等級的原始分割槽間為【100~95】。
已知A等級賦分割槽間為【100~86】分(固定不變),
也就是說,原始分【100~95】的考生為A等級,賦分後最終成績為【100~86】分。
例2:
某學科考試成績最後2%的考生最高分為20分,最低分為5分,則該科目E等級的原始分割槽間為【20~5】。
已知E等級賦分割槽間為【40~30】分(固定不變),
也就是說,原始分【20~5】的考生為E等級,賦分後最終成績為【40~30】分。
極端地講,假設這個區間某考生原始分為5分,賦分後也能拿到30分。
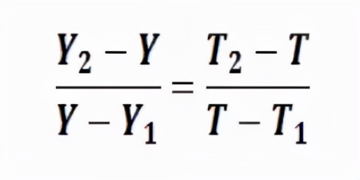
2.等級轉換的具體公式:
其中:
Y1、Y2分別表示原始分割槽間的下限和上限;
T1、T2分別表示轉換分割槽間的下限和上限;
Y表示原始分;
T表示轉換分。
考慮到高考分數都以整數呈現,故上述公式的計算結果需要進行“四捨五入”處理。
例1
假設小淘同學政治學科原始分為75分,再假設政治學科B等級原始分割槽間為【82~61】,則小淘同學政治學科為B等級;
下面進行賦分換算:
B等級的賦分割槽間【85~71】(固定不變),那麼小淘同學賦分後分數解得,T≈80.33;四捨五入後小淘同學政治學科最終賦分成績為80。
例2
假設小淘同學地理學科原始分為75分,再假設地理學科B等級原始分割槽間為【88~75】,則小淘同學地理學科為B等級;
下面進行賦分換算:
B等級的賦分割槽間【85~71】(固定不變),小淘同學考了B等級原始分割槽間的最低分,所以小淘同學地理學科最終賦分成績為71。
關於賦分制的其他問題
Q:為什麼要採取等級賦分制?
等級賦分能夠較好解決學科之間分數不等值、學生選考科目分數不能直接相加參加高校招生錄取的問題。如果以原始分呈現考試成績,會帶來學科間不公平問題;等級呈現方式則使得不同學科考生因等級劃分而保持了成績相對均衡,學科間試題難易差異等不公平因素可以被較好消除,使得不同科目之間成績可以相加。
Q:高考選考科目可以知道卷面的原始分數嗎?
高考公佈的分數為賦分之後的分數。
Q:賦分和選考人數有關嗎?選考人數越多越容易被賦分?
考慮賦分因素要重點注意以下幾類情況︰學霸選考越集中,成為炮灰的可能性越大;試題難易程度:試題難度越簡單,學霸區的炮灰就會越多。試題越難,學霸越容易和其他人拉開差距,考上名校。賦分模式下,選擇人數越多,賦分結果就越趨於合理,選擇人數越少,偶然性就會越大。總而言之,賦分制度下不僅要求考生考慮自身的成績,還要考慮本省其他競爭者的成績。
Q:賦分制下,如果某一門選考人數特別少怎麼辦?
這一現象在首批試點的浙江省有出現,採取的措施為設定最低保障基數,當選考人數少於“基數”時,則按照基數人數進行賦分。
Q:新高考改革下,考生交白卷也有60分的成績?
目前暫未有官方的規定,但是交白卷也相當於卷面分為零分,零分是不參與賦分排名的,所以如果交白卷應該是沒有分數,依舊是零分。
Q:新高考改革,選擇純文組合,除了專業選擇受限,賦分會吃虧嗎?
純文組合的專業覆蓋率偏低,但是賦分的高低主要跟排名有關係,考生如果文科排名很靠前,也有被賦予高分的可能。
Q:新高考有賦分,大學錄取的分數線會提高很多嗎?
不一定,決定大學錄取分數線的因素是考生的投檔人數,招生計劃等因素,新高考中雖然實行了賦分,但是是所有學生都參與賦分,形成的高考總成績是不影響錄取分數線的。
Q:考生考多少分才能被賦滿分?
新高考改革選擇等級賦分制,賦分主要看排名,考生排名在前1%,基本上都可以被賦予滿分。
Q:新高考實施賦分制,賦分制的合理之處體現在哪?
一是解決了選考科目之間分數不可比的問題;
二是能夠最大限度地保證考生的成績具有良好的區分度,滿足高校人才選拔的需求。
Q:歷史類考985 211的分數,會比物理類的高嗎?
不一定,具體的要看每個學校的專業實力,投檔人數,招生計劃等因素。
Q:影響考生賦分成績高低的因素有哪些?
影響考生賦分成績的因素包括學生排名、選考學生層次、學科及試卷的難易程度、選考人數等。
Q:選擇冷門學科,在賦分上是不是更佔優勢?
賦分的高低主要受考生排名的影響,選考人數越多,賦分結果就越趨於合理,選擇人數越少,偶然性就會越大,冷門學科選考的人數可能較少,但是能不能被賦予高分還是看考生的實際排名,是否有優勢無法準確衡量。
來源:高考直通車app
