作為先進儲能材料的一種簡便、通用的設計平臺,共價有機框架(COF)由於其結構多樣性、有序多孔結構和化學穩定性已引起廣泛關注。在本研究中,中國中原工學院和韓國延世大學的學者透過合作合成了一種可容納30個鋰離子的氧化還原活性共價有機框架(TP–OH–COF),用作一種超長迴圈高容量鋰離子電池電極材料。TP–OH–COF是透過使用1,3,5-三甲醯基氯代苯三酚(TP)和2,5-二氨基對苯二酚二鹽酸鹽合成的,TP–OH–COF中如此高的鋰離子含量是透過交替地將氧化還原活性羥基和羰基位置栓系在孔壁上來實現的,由於這一獨特的結構特徵,TP–OH–COF在快充電流密度為5.0A g–1的條件下進行8000次迴圈後,比容量為764.1mAh g–1,容量保持率為63%。相關成果以“30 Li+-Accommodating Covalent Organic Frameworks as Ultralong Cyclable High-Capacity Li-Ion Battery Electrodes”發表在Advanced Functional Materials上
原文連結:
https://doi.org/10.1002/adfm.202108798
目前廣泛使用的鋰離子電池(LIB)依賴於“搖椅”(即插層/脫層)式機制,涉及金屬磷酸鹽或金屬氧化物的利用,如鋰鈷氧化物(LiCoO2)、磷酸鐵鋰(LiFePO4)或錳酸鋰(LiMn2O4)作為正極材料,碳或合金基材料,如石墨或矽,用作負極材料。然而,由於對具有可靠電化學效能的先進鋰離子電池的需求不斷增加,研究者進行大量的工作來構建具有超高容量和安全性的新型電極材料。
有機化合物,如有機羰基(C=O)化合物、聚合物和有機自由基類化合物由於其多用途的設計、成本效益和環境友好性,近年來引起了人們的廣泛關注,使其成為潛在的鋰離子電池電極材料。然而,有機化合物的低導電性及其在電解質中的溶解性限制了其實際應用。為了解決這些問題,研究者探索了幾種方法:1)透過有機化合物與導電材料的共混或共價鍵來製備複合材料;2)將氧化還原活性位點引入與有機分子聚合,以減少其在電解質中的溶解。此外,為了獲得具有高容量、迴圈穩定性好和快速充電/放電倍率效能的有機化合物基電極,必須增加可與Li+發生可逆反應的氧化還原活性位點的數量。
由輕元素(C、H、O和N)構成的共價有機框架(COF)是一類新型的多孔晶體聚合物,具有高比表面積、長程有序結構和可調的孔功能化。此外,與有機小分子相比,因為其堅固且擴充套件的框架,COF不易溶解在電解質中。高比表面積可以促進電極和電解質之間的介面接觸,透過可調的COFs孔徑可以加速離子插入/脫出過程,COFs的高比表面積不僅使鋰離子易於接近氧化還原活性位點以提高單位面積的Li+儲存,而且其分層結構也促進了Li+擴散動力學。重量輕的COF提高了它們的比容量,此外,COF材料的電化學效能可以透過精確調節氧化還原活性位點來調節,增加COF的氧化還原活性位點數量對於滿足LIBs負極的高容量要求至關重要。
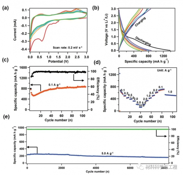
在這項工作中,作者使用1,3,5-三甲醯基氯代苯三酚(TP)和2,5-二氨基對苯二酚二鹽酸鹽[Pa-(OH)2·2HCl]透過希夫鹼縮合合成了氧化還原活性共價有機框架(命名為TP–OH–COF)。TP–OH–COF被證明是一種基於有機物的超長可迴圈高容量鋰電池負極材料,透過交替栓系在孔壁上的氧化還原活性羥基和羰基位置來容納30個鋰離子,這在之前關於COF基電極材料的研究中從未報道過。TP–OH–COF獨特的多孔結構提供了一條短而直接的Li+擴散路徑,使鋰離子易於接近氧化還原活性羥基和羰基位置。此外,由於其獨特的框架結構和容納大量鋰離子,TP–OH–COF在5.0A g–1快電流密度下表現出超長迴圈能力(8000次迴圈後容量保持率為63%)和764.1mAh g–1的優異比容量。本研究中報告的TP–OH–COF將為COF設計提供一個新方法,最終可以加速COF基電極材料的實際應用。(文:李澍)
圖1 a) TP-OH-COF合成方法,b)TP-OH-COF的XRD圖和PXRD曲線,c)TP-OH-COF的俯檢視和側檢視,d)TP-OH-COF的HOMO和LUMO能量模擬
圖2 a) TP-OH-COF的CV曲線,b-c)TP-OH-COF負極的充放電曲線、迴圈效能和庫倫效率,d) TP-OH-COF負極在不同電流密度下的倍率效能,e)TP-OH-COF負極在5 A g−1下的迴圈效能
圖3 a-c) 不同鋰化狀態下TP-OH-COF負極的表徵,d)TP-OH-COF負極鋰化/脫鋰過程中的機理
圖4 a) TP-OH-COF基電極在不同掃描速率下的CV圖;b)掃描倍率的曲線圖;c)3.0 mV s-1時容量和擴散電流的分佈;d) 不同掃描速率下的容量和擴散電流
本文來自微信公眾號“材料科學與工程”。歡迎轉載請聯絡,未經許可謝絕轉載至其他網站。





 
			 
			 
			 
			 
			 
			 
			 
			 
			 
			 
			 
			 
			