喜歡就關注我們吧,訂閱更多最新訊息

第一作者:Ke Ye
通訊作者:蔣昆
通訊單位:上海交通大學
論文DOI: 10.1039/D1EE02966E
全文速覽
電化學二氧化碳還原反應(CO2RR)是典型的表面介導過程,區域性反應環境,特別是陰極附近的電極-電解質介面和相應的擴散邊界層對反應的活性和選擇性起著至關重要的作用。本文中,作者開發了一種新型的線上電化學差分質譜(DEMS)流動反應池,結合多物理場模型模擬,優化了電解液和CO2反應物在陰極腔室內的傳質過程;在~200 ms的時間解析度下研究了CO2的物質傳輸、陽離子誘導的表面電場效應以及電極表面拓撲結構(粗糙度)對於Ag上CO2還原的促進機制。此外,作者在陰離子交換膜電解槽器件上驗證了上述最佳化策略,在寬達1 V的電壓視窗內CO產物選擇性均超過80%,並在4.0 V槽壓下其部分電流密度超過650 mA cm-2;在500 mA cm-2的工業級電流密度下穩定執行超過100小時。
背景介紹
過去幾年中,利用可再生能源將溫室氣體CO2電化學轉化為碳基燃料和高附加值化學品引起了人們的極大研究興趣,希望藉此實現資源迴圈利用,緩解化石能源危機和溫室氣體排放。迄今為止,該過程由於涉及多步的質子-電子耦合轉移及多種中間物種的競爭吸附,反應動力學較為遲緩。對此,開發高靈敏度的譜學電化學技術來原位釐清表介面資訊,將為揭示反應機理、最佳化CO2RR的反應活性和選擇性提供重要助力。同時,表面電化學中的基礎研究結果也將指導高效CO2電解系統的設計,填補實驗室和工業應用間的鴻溝,為實現可持續的碳中性迴圈提供前瞻思路。
本文亮點
1. 利用線上差分電化學質譜方法研究Ag電極上CO2RR,相較於傳統色譜法,DEMS可在毫秒級解析度下實現產物的定量分析;透過三維多物理場模型模擬,指導設計流動池內的電解液迴圈和物料傳輸過程,在滿足檢測精度的前提下最佳化反應傳質。
2. 透過DEMS和頂空色譜兩種方法的對照研究,澄清了電極附近反應微環境,包括反應物傳輸限制、陽離子誘導的表面電場與中間體的相互作用以及氧化物衍生電極表面拓撲結構等,對於CO2-to-CO轉化過程的促進機制。
3. 將譜學電化學中得到的最佳化策略應用到陰離子交換膜電解槽中,透過調控氣體擴散電極、等離子體預處理、陽極電解液等引數,成功在4 V槽壓內得到650 mA cm-2 CO部分電流密度,在500 mA cm-2的電流密度下穩定執行超過100小時,CO法拉第效率高於80%。
圖文解析
圖1. DEMS流動池設計和計算流體力學模擬。a, 流動池結構設計圖;b, 陰極腔室中的射流模型;c, CO2反應物在陰極腔室中的傳質示意圖 。
附圖1. 不同電解液流速下CO2反應物的傳質行為模擬。與傳統薄層DEMS反應池相比,開放式腔室和大流速的設計可以促進CO2傳質,得到更薄的擴散層厚度。
圖2. Ag/PTFE電極形貌和DEMS氫氣校正曲線。a-b, 電化學測試前後磁控濺射Ag/PTFE膜電極的SEM表徵;c-d, Ar飽和的0.05 M M2CO3 (M=Na, K, Cs)溶液中析氫反應的階梯測試曲線和H2校正曲線。
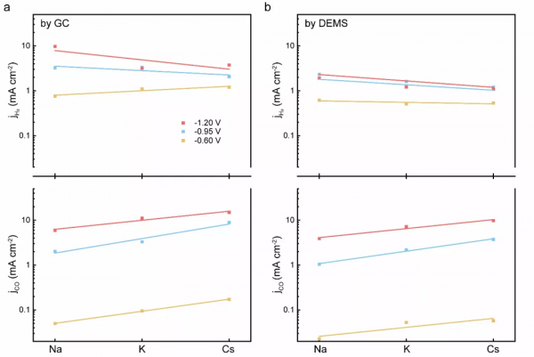
圖3. 不同陽離子溶液中Ag催化CO2RR的效能研究。a-c, H型電解槽中的線上頂空色譜資料;d-g, 同一塊Ag/PTFE電極上的DEMS流動反應池資料。兩者相較可知:1)如圖3g所示,DEMS可實現CO2消耗速率的實時分析;2)流動池的設計緩解了CO2在水溶液中的傳質限制,有利於抑制析氫副反應。
附圖11. 陽離子誘導的表面電場效應對於不同產物生成速率的作用機制。水合鹼金屬離子誘導的表面電場強度Cs+ > K+ > Na+,該介面電場有助於穩定*CO2和*COOH等大偶極矩分子,從而提升CO而非H2的生成速率。
圖4. Ag電極的表面粗糙度效應研究。a, 濺射Ag/PTFE電極;b, O2等離子體處理後Ag/PTFE電極形貌表徵;c, -1.1 V vs. RHE電位下兩者的CO2RR效能比較。150 s O2等離子體處理及電化學還原後,Ag/PTFE電極表面粗糙度增加一倍,暴露了更多的配位不飽和Ag位;CO2RR的Tafel斜率由116 mV dec-1 降至68 mV dec-1,即表面粗糙化提升了CO析出的反應動力學及同一電位下CO2的轉化率(圖4c) 。
圖5. 陰離子交換膜電極電解槽器件效能測試。將O2等離子體處理後Ag/GDE電極、陰離子交換膜、商業化IrO2/GDE電極組裝成1.5×1.5-cm2的模型器件,透過復刻上述CO2傳質、介面電場強度、表面粗糙化等策略,實現工業級電流密度下的穩定CO2電解。
總結與展望
本文提出了一種線上差分電化學質譜方法來研究區域性反應環境對CO2電還原效能的影響。透過數值模擬和實驗設計的結合,作者澄清了CO2傳質輸運、陽離子誘導的介面電場調控,以及電極表面拓撲結構對於CO2-to-CO轉化的促進作用機制。同時,該工作展示的表面譜學電化學到反應器件設計的遞進式研究,將為未來更多高效能源催化裝置的開發整合提供借鑑。
文獻來源
Ke Ye, Guiru Zhang, Xian-Yin Ma, Chengwei Deng, Xin Huang, Chonghao Yuan, Guang Meng, Wen-Bin Cai and Kun Jiang. Energy Environ. Sci., 2022, DOI: 10.1039/D1EE02966E.
文獻連結:https://pubs.rsc.org/en/content/articlelanding/2022/ee/d1ee02966e









 
			 
			 
			 
			 
			 
			 
			 
			 
			 
			 
			 
			 
			 
			 
			 
			 
			