中國科協第六屆優秀科技論文遴選計劃獲獎論文簡報
《電工技術學報》三篇論文成功入選中國科協第六屆優秀科技論文遴選計劃。現將獲獎論文的文章簡報分享給各位讀者,以期促進本領域的技術交流。
2021年11月8日,中國科協公佈第六屆優秀科技論文遴選計劃入選論文。發表於《電工技術學報》2017年第13期的文章《基於無濾波器方波訊號注入的永磁同步電機初始位置檢測方法》成功入選。論文第一作者為哈爾濱工業大學電氣工程及自動化學院的張國強副教授。
團隊介紹
哈爾濱工業大學電力電子與電力傳動研究所由IEEE Fellow、中國電工技術學會會士、副理事長徐殿國教授擔任負責人,包括18名教師和100餘名研究生,是國際先進電驅動技術創新引智基地(111計劃)、電驅動與電推進技術教育部重點實驗室重點研究團隊、可持續能源變換與控制技術黑龍江省重點實驗室、黑龍江省電氣工程創新研究“頭雁”計劃重點建設團隊。
研究領域包括電機驅動控制系統、電力電子化電力系統等。近年來,承擔國家重大專項、國家自然科學基金重點專案和國際合作重點專案、國家重點研發計劃等多項國家級專案,並與多家知名企業建立了長期合作關係。承辦了ITEC Asia-Pacific、ECCE Asia、VPPC、ICEMS等國際學術會議。在新能源高效率電力電子變換器和電機驅動控制領域取得了諸多國際領先成果,交流電機及其驅動控制領域研究處於國際領先水平。
1960出生,教授,博士生導師。IEEE Fellow,中國電工技術學會會士、副理事長,電驅動與電推進技術教育部重點實驗室主任,國際先進電驅動技術創新引智基地(111計劃)負責人,黑龍江省電氣工程創新研究“頭雁”團隊負責人,擔任IEEE TPEL Co-EIC、中國電機工程學報、電工技術學報、IEEE TIE、IEEE JESTPE等刊物編委。曾獲得2018 IEEE IAS Outstanding Achievement Award,成為該獎項自1969年設立以來中國大陸第一位獲獎者。
主持完成包括國家重大專項、國家自然科學基金重點專案和國際合作重點專案、國家863計劃專案、國家科技支撐專案、國家重大產業開發專案、國家重點研發計劃專案、黑龍江省科技攻關重點專案、企業合作專案等100餘項,獲得省部級以上科技獎勵12項,指導博士畢業生80餘名。
1978出生,教授,博士生導師。國家自然科學基金傑出青年基金獲得者,英國皇家學會牛頓高階學者,中達青年學者,獲黑龍江省自然科學獎一等獎、教育部技術發明獎二等獎。主要從事電機驅動控制、電力電子技術等方向研究,承擔國家自然科學基金專案、國家科技重大專案、國家重點研發計劃等科研專案30餘項,與多家知名企業建立了長期合作關係。
已發表SCI/EI論文100餘篇,授權發明專利30餘項。擔任IEEE TIE客座編輯(Guest Associate Editor),IET EPA和JPE等期刊編委,中國電機工程學會電力電子器件專業委員會委員,中國電工技術學會電氣節能專業委員會第七屆理事等。
1987出生,副教授,博士生導師。入選全國“博士後創新人才支援計劃”和黑龍江省“博士後青年英才計劃”。從事永磁同步電機/同步磁阻電機驅動技術、無位置感測器控制、無電解電容驅動系統等科研工作,出版英文專著2部,發表SCI/EI論文50餘篇,授權發明專利10餘項。
獲黑龍江省自然科學獎一等獎、教育部技術發明獎二等獎。擔任Journal of Power Electronics(SCI期刊)編委 (Associate Editor)、PCIM Asia Conference技術委員會委員、中國電源學會青年工作委員會副主任委員、中國電工技術學會青年工作委員會委員等。
專案背景
在所有終端用電裝置中,電機系統是耗電大戶,統計資料表明,我國電機總用電量佔全國總用電量的70%左右。目前,交流電機系統大多采用安裝編碼器的驅動方式,然而位置或速度感測器的使用導致電驅動系統成本和故障率增加,並且很多應用場合無法在電機上安裝感測器。因此,交流電機無感測器控制方式具有獨特的優勢,可以實現高性價比、高可靠驅動,在裝備製造、工業傳動以及家用電器等領域具有廣闊的應用前景。
隨著現代電力傳動水平日益提高,為了滿足現代電機驅動系統應用需求,研究穩定性好、控制精度高及魯棒性強的高效能交流電機無感測器控制系統具有重要意義。
專案組在國家自然科學基金、教育部博士點基金、臺達環境與教育基金會重點專案、企業聯合攻關專案等的支援下,持續開展了交流電機無感測器驅動控制系統課題研究工作,取得了系列研究成果,獲黑龍江省自然科學一等獎(交流電機無感測器驅動控制系統設計理論與方法,完成人為徐殿國、王高林、張國強、於泳、趙楠楠)。
論文所解決的問題及意義
針對永磁電機(PMSM)無感測器驅動系統,論文提出一種無濾波器方波訊號注入的初始位置檢測方法,揭示了透過高頻電流響應準確辨識轉子位置資訊的規律,解決了複雜工況下永磁電機系統初始磁極檢測精度低、魯棒性差的難題,實現了靜止或者自由執行條件下的系統快速穩定起動。相關理論成果能夠突破制約無感測器控制全速域執行的瓶頸問題,並拓展了其應用場合。
論文重點內容
如圖1所示為基於無濾波器方波電壓訊號注入的PMSM磁極位置辨識原理框圖。首先透過向觀測的轉子d軸注入方波電壓訊號,採用無濾波器載波訊號分離方法解耦位置誤差訊號,透過位置跟蹤器獲取磁極位置初定值;然後改變d軸電流偏置給定方向,透過比較d軸高頻電流響應幅值大小實現磁極極性辨識。採用無濾波器載波訊號分離方法解耦位置誤差資訊,有效提高了演算法收斂速度;透過累計d軸高頻電流響應幅值實現磁極極性辨識,提升了永磁電機初始位置檢測的可靠性。
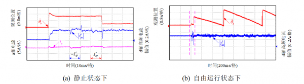
為驗證基於無濾波器方波訊號注入的初始位置辨識策略有效性,如圖2所示,在2.2-kW無感測器PMSM向量控制平臺進行研究。如圖3實驗結果所示,所提出的基於無濾波器方波訊號注入的永磁電機初始位置檢測方法收斂速度較快,能夠在PMSM轉子靜止或自由執行狀態實現初始位置辨識,位置觀測誤差最大值為6.9deg.。
引用本文
張國強, 王高林, 徐殿國. 基於無濾波器方波訊號注入的永磁同步電機初始位置檢測方法[J]. 電工技術學報, 2017, 32(13): 162-168. Zhang Guoqiang, Wang Gaolin, Xu Dianguo. Filterless Square-Wave Injection Based Initial Position Detection for Permanent Magnet Synchronous Machines. Transactions of China Electrotechnical Society, 2017, 32(13): 162-168.
