劍橋大學阿登布魯克醫院與來自世界各地的其他20家醫院以及英偉達公司一起,利用人工智慧(AI)在全球範圍內預測COVID-19患者的氧氣需求。這項研究是由大流行病引發的,旨在建立一個人工智慧工具,利用來自四大洲的資料,預測COVID-19患者在住院治療的最初幾天可能需要多少額外的氧氣。
這項技術被稱為聯合學習,使用一種演算法來分析有症狀的醫院病人的胸部X光片和電子健康資料。為了嚴格保護病人的隱私,病人資料被完全匿名化,演算法被髮送到每家醫院,因此沒有資料被共享或離開醫療機構實體。演算法從資料中"學習",分析結果被彙集到一起,建立一個人工智慧工具,可以預測世界任何地方醫院患者的氧氣需求。
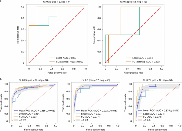
![]()
這項研究於2021年9月15日發表在《自然醫學》上,被稱為EXAM(代表EMR CXR AI模型),是迄今為止最大、最多樣化的臨床聯合學習研究之一。
為了檢查EXAM的準確性,它在五大洲的一些醫院進行了測試,包括阿登布魯克醫院。 結果顯示,它預測了病人到達急診科後24小時內所需的氧氣,敏感性為95%,特異性超過88%。
菲奧娜·吉爾伯特教授說:"聯合學習具有將人工智慧創新帶入臨床工作流程的變革性力量,"他領導了劍橋的這項研究,是阿登布魯克醫院的名譽顧問放射學家和劍橋大學臨床醫學院的放射學主席。"我們與EXAM的持續合作表明,這類全球合作是可重複的,也是更有效的,因此我們可以滿足臨床醫生的需求,以應對複雜的健康挑戰和未來的流行病。"
該研究的第一作者,來自美國馬薩諸塞州賓漢姆醫院的Ittai Dayan博士說:"通常在人工智慧開發中,當你在一家醫院的資料上建立一個演算法時,它在任何其他醫院都不能很好地工作。透過使用聯合學習和來自不同大洲的客觀、多模態資料開發EXAM模型,我們能夠建立一個可推廣的模型,可以幫助全世界的一線醫生。"EXAM演算法主要是在他那裡開發的,該專案彙集了北美和南美、歐洲和亞洲的合作者,EXAM研究只用了兩週的人工智慧"學習"就實現了高質量的預測。
英偉達醫療AI全球負責人Mona G Flores博士說:"Federated Learning使研究人員能夠進行合作,併為我們在全球範圍內利用AI的力量所能做的事情制定了新的標準。這不僅會推動人工智慧在醫療領域的發展,而且會推動所有希望在不犧牲隱私的情況下建立強大模型的行業的發展。"
研究中分析了來自世界各地的約10000名COVID患者的結果,包括在2020年3月/4月大流行的第一波中來到阿登布魯克醫院的250人。
該研究得到了國家健康研究所(NIHR)劍橋生物醫學研究中心(BRC)的支援。
關於EXAM模型的工作一直在繼續。Mass General Brigham和NIHR劍橋生物醫學研究中心正在與Dayan博士共同創辦的NVIDIA Inception初創公司Rhino Health合作,使用EXAM進行前瞻性研究。
吉爾伯特教授補充說:"建立與我們最好的放射科醫生的表現相匹配的軟體是複雜的,但卻是一個真正的變革性願望。我們越能利用聯合學習和協作安全地整合不同來源的資料,並擁有創新所需的空間,學術界就能越快地實現這些變革性目標"。
