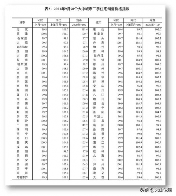
2021年10月20日,國家統計局公佈了《2021年9月份70個大中城市商品住宅銷售價格變動情況統計資料》。
資料的結果顯示:全國70個大中城市中,9月份的二手房房價環比下降的城市居然達到了52個,創造了近6年以來的“最慘記錄”。
也就是說,9月份全國幾乎有75%的城市,房價都在“跌”!
甚至“北上廣深”等四個一線城市,也全部都在“跌”!
北京的房價在經歷長達8個月的上漲後,也開始出現下降。
很多人可能很奇怪,怎麼中國樓市忽然就“急轉直下”了?
我們透過對2021年以來,國家統計局各個月公佈的資料整理,可以很明顯的發現,2021年7月份是全國樓市“逆轉”的關鍵節點。
2021年1-6月份的上半年,全國房價下降的城市僅有10-20個左右,佔比不超過30%,大多數城市的房價還是“微漲”的,市場總體“穩中有升”。
但是從2021年7月份開始,全國房價下降的城市數量忽然從6月份的16個增加到了7月份的26個,幾乎翻了一倍。
8月份房價下降的城市數量再次增加到34個,9月份終於達到了歷史記錄的52個,全國房價“普降”的格局已經基本形成。
為什麼會這樣?
我們認為,問題就出在2021年1月1日,央行和銀保監會聯合實施《關於建立銀行業金融機構房地產貸款集中度管理制度的通知》後,各地二手房房貸的“嚴控和收緊”。
在這個通知中,央行和銀保監會提出:中資大型銀行的房地產貸款年度佔比上限不得超過40%,個人住房貸款年度佔比上限不超32.5%。
這樣一來,上半年房貸就瘋狂“搶額度”,而下半年進入到7月份後,各地房貸額度就明顯不足了,多個城市的房貸全面收緊。
下半年的二手房房貸究竟有多緊張?
根據北京商報最新的報道,在北京地區大部分銀行房貸額度仍處於收緊狀態,2021年二手房房貸放鬆的可能性不高了。
“什麼時候有額度不好說,可能明年有戲”,
“部分國有大行雖有額度,但明確放款時間還是要等到明年”,
“現在個人住房按揭貸款商貸可以簽約,但放款得等到明年”。
“目前放款時間不確定,面籤已經約到明年2月了”
不僅僅是房貸收緊,房企的貸款和融資更是被“壓縮”,也導致了下半年中國房企接二連三的出現“債務暴雷”,甚至出現了大規模的“降價促銷”。
一方面是“房貸收緊”,另外一個方面是“房企降價砸盤”,2021年的中國樓市在下半年只能用“慘慘慘”三個字來形容了。
在這種背景下,土地大規模“流拍”就不奇怪了。
那麼,2021年下半年哪些城市跌的“最慘”?
我們可以分成兩個檔來看:
第一檔,房價已經連續下降3個月以上的城市。
以石家莊、秦皇島、烏魯木齊、唐山、錦州、牡丹江、安慶、宜昌、南充、遵義、大理、貴陽、昆明、南寧等城市為代表。
主要是以三四線城市為主,房價連續下跌三個月以上,已經基本形成了下降的趨勢,除非政策發生根本性變化。
否則這些城市很難“挽救”,該扔就得立刻扔掉。
此外,深圳的房價已經連續下降5個月。
第二檔,房價剛剛出現1-2個月下降的城市。
這些城市主要以一二城市為主,包括北京、上海、廣州、武漢、合肥、杭州等城市。
這些城市的房價下降,主要是受到房貸額度收緊的影響最大,如果信貸收縮再維持1-2個月,可能會形成短期的“下行趨勢”,價格戰在所難免。
反正目前看,全國房價“普降”格局已經形成,“救”還是“不救”?
2021年10月20日,在北京的“金融街論壇年會”上,中國金融主管部門的負責人終於發聲:
“房地產市場合理的資金需求正在得到滿足,房地產市場健康發展的整體態勢不會改變”。
“金融機構和金融市場風險偏好過度收縮的行為逐步得以矯正,融資行為和金融市場價格正逐步恢復正常”。
“今後幾十年,建築業都還將是一個支柱產業”
可以預見,中國的金融信貸政策在未來幾個月一定是“逐漸鬆綁”的,二手房房貸額度會明顯放鬆,甚至會出現新貸款的房貸利率下降。
基於這種預期,我們對未來幾個月的市場走勢有如下判斷:
第一,11-12月是比較理想的買房時機,房企一定會降價促銷,市場價格戰難免,可以買到相對優惠的價格。
第二,2022年的一季度會有一個“小行情”,這個小行情純粹就是信貸鬆綁後推動起來的,持續時間大概半年。
在2022年一季度,降價的專案會重新恢復原價,甚至會漲價銷售,但房源依然會快速去化,市場需求集中爆發。
因此,想要買房,就在11-12月份,重點關注“降價盤”和“限競房”,價格合適就立馬入手。
想要賣房,最好是等到2022年的3-5月份期間,趁著房貸額度充足,趁機趕緊脫身,實現變現。
