近日,上海交通大學陳捷教授團隊揭示生防木黴降解有機磷農藥敵敵畏的分子機理,相關理論成果發表在在國際生態環境領域Top期刊中 (Sun J, Karuppiah V, Li Y, Sivakumar P, Kumaran S, Chen J. Role of cytochrome P450 genes of Trichoderma atroviride T23 on the resistance and degradation of dichlorvos Chemosphere 290 (2022) 133173),即生防微生物深綠木黴T23中發現細胞色素P450基因家簇具有降解敵敵畏及其中間生物的功能。上海交通大學陳捷教授團隊博士生孫佳楠為第一作者。
高毒有機磷農藥儘管已被普遍禁止使用,但中、低毒有機磷農藥在農業生產中仍被廣泛使用,目前針對中低毒農藥對環境和人畜汙染存在的潛在風險缺乏關注。敵敵畏(2,2-dichlorovinyldimethyl phosphate),作為一種至今仍然在大量使用的中等毒性有機磷廣譜殺蟲劑,不適當使用可對水體和大氣可造成汙染,尤其對水產養殖,如魚類、海產品等毒性較高,對蜜蜂劇毒。因此,如何利用有益微生物降解環境中的敵敵畏殘留具有重要應用價值。
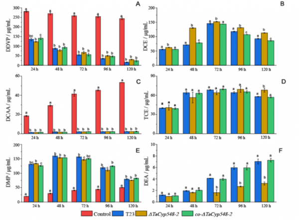
該作者在深綠木黴T23中發現有機磷農藥水解酶基因TaPon1-like之後,進一步在深綠木黴T23基因組中克隆到降解和耐受敵敵畏降解相關的39個細胞色素P450基因,這些基因編碼的細胞色素P450蛋白分佈於21個集團下的29個家族,其中與初級代謝相關的細胞色素P450基因有4個,與次級代謝相關的細胞色素P450基因有14個,與外源性物質代謝相關的P450基因有21個。透過熒光定量PCR的方法分析了與外源性物質代謝相關的P450基因在敵敵畏誘導0 h、2 h、6 h、24 h和48 h後,21個基因的表達變化呈7種表達模式;在100 μg/mL、300 μg/mL、500 μg/mL和1000 μg/mL敵敵畏誘導24 h後,TaCyp548、TaCyp620、TaCyp52、TaCyp528和TaCyp504家族下的8個細胞色素P450基因的相對錶達量較對照組至少上調錶達1倍以上。同時發現TaCyp548-2屬於脂肪酸代謝的ω-羥化酶,可將敵敵畏降解中間產物2,2-二氯乙醇進一步轉化為終產物2,2-二氯乙醇醋酸酯TaCyp548-2,並能正調控乙酸、丙酸、異丁酸和二丁酸等低分子有機酸的形成,證明了這些小分子有機酸可促進敵敵畏降解中間產物2,2-二氯乙醇的進一步轉化。
論文連結:https://doi.org/10.1016/j.chemosphere.2021.133173
