愛因斯坦思考了十年之久才創立狹義相對論,中間的思考過程非常複雜又極其精彩。
簡單的說,愛因斯坦看到牛頓力學和麥克斯韋電磁理論有不可調和的矛盾(因為後者不滿足伽利略協變性)。為了調和它們,他考慮了電磁感應實驗,思考了一些一階以太實驗,研究了洛倫茲的電子論,接受了馬赫對牛頓力學的批評,創造性地解決了時間問題,最終得到了相對論。
如果你想把這個過程徹底理清楚,那就靜下心,聽我慢慢道來……
在上一篇文章《相對論前夜:牛頓和麥克斯韋的戰爭》裡,我給大家描繪了相對論誕生前夜的物理圖景:伽利略攜相對性原理橫空出世,跟牛頓力學配合得天衣無縫。
伽利略變換代表了絕對時空觀,牛頓力學的所有定律又可以在伽利略變換下保持數學形式不變,也就是具有伽利略協變性。那是一個禮尚往來,沒有戰爭的美好年代。
然而,麥克斯韋方程組的出現打破了這種平靜。因為它不具有伽利略協變性,跟伽利略-牛頓組建的世界玩不到一起去。
那麼,麥克斯韋方程組是否滿足相對性原理呢?
面對這個靈魂拷問,我們回答是也不是,不是也不是,這可把物理學家們急壞了。
這些內容我在上一篇文章裡都從零做了非常詳細的說明,請大家在閱讀本文之前務必確保自己先看了公眾號的上一篇。否則,由此引發的諸多不適,長尾君概不負責~
接下來就是大家熟悉的套路了:世界一片混亂,一位攜主角光環的少年橫空出世,挽狂瀾於既倒,扶大廈之將傾。最後世界又重歸於和平,全劇終。
這裡要出場的主人公,就是家喻戶曉,如雷貫耳的愛因斯坦。他給出的解決方案,就是大名鼎鼎的狹義相對論。
那麼,愛因斯坦究竟是如何平定牛頓和麥克斯韋的戰爭的?他又是如何回答“麥克斯韋方程組是否滿足相對性原理?”這個靈魂拷問的呢?
先不急著要答案,我們先來看看這個問題到底難在哪。
01電磁疑難
麥克斯韋提出麥克斯韋方程組以後,就預言光是一種電磁波,並算出了電磁波的速度。
然後,奇怪的事情就發生了:麥克斯韋在沒有選定任何參考系的情況下,就直接從方程組推出了電磁波的速度等於光速c(具體細節可以參考之前的文章《見證奇蹟的時刻:如何從麥克斯韋方程組推出電磁波?》)。
如果你是第一次聽這句話,你可能並不瞭解事情到底怪在哪,那我再解釋一下。
大家都知道,我們在談論速度時,一定要先指明參考系。我坐在高鐵上沒動,那是以火車為參考系;如果以地面為參考系,那我就是以300km/h的速度在飛馳。
所以,單獨談論我的速度是沒有任何意義的。你一定要先指明參考系,是在地面還是火車上看,然後才能談論我的速度。
同理,我們在談論光的速度時,一樣也要先指明參考系。
那麼,從麥克斯韋方程組推出的電磁波速度到底是哪個參考系下的速度呢?
因為電磁波的速度是直接從麥克斯韋方程組推出來的,所以,只要麥克斯韋方程組在某個參考系裡成立,我們就可以說電磁波在這個參考系裡的速度是光速c。
於是,上面的問題就有了一個等價的提法:麥克斯韋方程組到底在哪個參考系下成立?
如果麥克斯韋方程組在所有的慣性系下都成立(即滿足相對性原理),那我們就可以說電磁波在所有的慣性系下的速度都是光速c。
如果麥克斯韋方程組只在某些特殊的參考系下成立(即不滿足相對性原理),那麼我們就只能說電磁波只在這些特殊的參考系下的速度是光速c。
於是,我們又進一步把“麥克斯韋方程組到底在哪個參考系下成立?”變成了“麥克斯韋方程組是否滿足相對性原理?”。
這個邏輯大家一定要理清楚,不然下面就沒法繼續了。
不過,認為麥克斯韋方程組滿足相對性原理,也就是認為“電磁波在所有慣性系下的速度都是光速c”太過離經叛道,也完全違反我們的直覺。
你想想,在所有參考系裡速度都一樣是個什麼概念?
假設有位列車員在300km/h的高鐵上以5km/h速度朝車頭走去,火車上的人會覺得他的速度是5km/h,地面上的人會覺得是300+5=305km/h。
他們當然會覺得覺得列車員的速度不一樣,而且就差了火車速度的300km/h。如果你非要說一樣,那估計有人要建議你去看眼科了。
同樣的,如果把列車員換成一束光,我們可能也會覺得火車上和地面上觀察到的光速不一樣,並且認為它們之間就差了一個300km/h。
也就是說,從常識來看,我們並不認為電磁波在所有慣性系裡都是光速c。這等於是在說:我們並不認為麥克斯韋方程組在所有的慣性系下都成立,即麥克斯韋方程組不滿足相對性原理。
這樣的話,電磁波,或者說光就應該只在一個參考系裡的速度是c,在其它參考系裡的速度就是c加上它們的相對速度。
那麼,光在哪個參考系裡的速度是c呢?火車系?地球系?太陽系?都沒道理!
答案我們也知道:以太系。
也就是說,我們認為光只有在以太系的速度才是c。只有在以太系裡才可以用麥克斯韋方程組推出電磁波的速度等於光速c,在其它參考系裡麥克斯韋方程組是不成立的。
那麼,以太是什麼?為什麼我們要選擇以太系呢?
02以太
時間先回到200年前。
19世紀初,在托馬斯·楊和菲涅爾等人的努力下,光的波動說逐漸被人們接受。隨之而來的一個問題就是:既然光是一種波,那光的介質是什麼?
水波是一種波,它的介質是水;聲波也是一種波,它在空氣中傳播時,介質就是空氣。這些波之所以能傳到遠處,就是因為相鄰介質點之間有力的作用,大家一個“推”一個,把波傳了出去。
既然光也是一種波,我們自然會覺得光波也應該和水波、聲波一樣,是依靠相鄰介質點的相互作用傳播到遠處的。
那麼,光的介質是什麼呢?光可以穿過遙遠的星空來到地球,那麼這種介質也應該遍佈宇宙。我們給它取個名字,就叫以太。
以太似乎看不見摸不著,就像空氣一樣。但是,大家都知道,如果我們相對空氣運動,就能感覺到風。同理,如果我們相對以太運動,按理說也能感受到“以太風”,這就是很多實驗尋找以太的思路。
如果光的介質是遍佈宇宙的以太,我們自然就會覺得光的速度是相對以太而言的,就像水波的速度是相對水面那樣。
這樣導致的直接後果就是:我們必須假定麥克斯韋方程組只有在以太系中才成立。
因為只有這樣,我們才能只在以太系裡推出光的速度是c,才能說光的速度是相對以太而言的,才不跟上面矛盾。
從這裡大家也能感覺到:當我們在談論光和以太的時候,我們其實是把牛頓力學的那一套搬了過來。我們希望用以太的力學性質來解釋光波,就像我們用空氣和水的振動來解釋聲波和水波那樣。
牛頓力學大獲成功以後,不僅牛頓被封了神,力學也同樣獲得了至高無上的地位。
於是,科學家們開始形成了這樣的一種觀念:力學是成功的,完美的,至高無上的,其他領域的東西只有最終在力學這裡得到了解釋,才能算是科學。我們要利用力學的世界觀和方法論去解決其他領域的各種東西。
這種觀念,我們稱之為力學的自然觀,或者機械的自然觀(在英文裡,力學的和機械的是同義詞,都是mechanical)。
在力學自然觀的大背景下,大家試圖用以太這種力學模型來解釋光,解釋電磁波就是非常自然,而且非常合理的一件事了。
只是大家後來發現這樣做有許多困難,才開始逐漸放棄用力學去解釋電磁學,轉而認為電磁理論也是跟力學一樣基本的東西。
也有走得更極端的,他們試圖反過來用電磁理論去解釋力學,也就是把電磁理論看成更基本的東西。這種觀念叫電磁自然觀,此乃後話。
總之,相信大家瞭解了這些以後,就不會對以太的出現感到突兀了,甚至會覺得非常自然。因為無論是從波動說,還是從力學自然觀的角度,認為光的傳播需要一種介質都是理所當然的事情。而以太,只不過是它的名字而已。
有了“光是藉助以太這種介質來傳播”的觀念以後,我們就可以根據光的傳播情況來反推以太的一些性質。
比如,光能從遙遠的星系穿過太空來到地球,那太空中就應該充滿了以太;光在以太中衰減很少,天體可以毫無阻力地穿過它,那以太就應該非常稀薄;因為光是橫波,那這肯定又對以太有某種限制……
當然,只有這些肯定是不夠的,於是人們就設計了各種以太相關的實驗(絕非只有邁克爾遜-莫雷實驗一個),以求進一步瞭解以太。愛因斯坦在大學期間也設計了相關實驗,不過因為沒有得到學校的支援而作罷。
這篇文章的主題是狹義相對論的誕生,我不可能把所有的以太實驗都列出來,那夠寫一本書了。這裡只介紹幾個跟愛因斯坦創立狹義相對論關係比較大的實驗。
03光行差
第一個重要的實驗叫光行差。
光行差的原理很簡單,大家在下雨的時候都有這樣的經驗:如果我站在雨地裡不動,就會感覺雨滴是從頭頂正上方落下來的(無風條件);如果往前跑,就會感覺雨滴是從前方傾斜地落到身上的,這其實就是一種“雨行差”。
而且,不難想象,跑得越快,就會覺得雨滴傾斜得越厲害。雨速一定時,我奔跑的速度和雨滴的傾斜角之間,肯定有某種關係。
類似的,遙遠的星光(可近似看作平行光)到達地球時,如果地球不動,我只要把望遠鏡對著星星的方向就能看到這顆星星了。
但是,如果地球在運動(以大約30km/s的速度圍著太陽公轉),跟雨中奔跑時覺得雨滴傾斜了類似,我們也會覺得恆星發出的光線也傾斜了一定角度,這就是光行差。
為了尋找光行差,英國天文學家布拉德雷從1725年到1726年進行了持續的觀測,發現地球的公轉會產生大約20.5角秒(1度=60角分=3600角秒)的傾斜角。然後,透過簡單的三角計算,布拉德雷就得出光速大約是30萬km/s,這是早期比較準確的光速值了。
具體的實驗和計算細節我這裡就不說了,但是下面三個事情,大家一定要清楚:
第一,根據波動說,光在以太中傳播。我們能觀測到光行差,就說明地球和以太之間一定有相對運動。
為什麼呢?你想啊,正是因為地球和以太之間存在相對運動,你才能感受到來自前方的以太風。
布拉德雷之所以能觀測到光行差的傾斜角,就是這種以太風把光線“吹彎了”。如果地球和以太相對靜止,沒有以太風,那頭頂正上方的光線就會像無風時的雨滴一樣垂直下落,這樣肯定就看不到光行差了。
第二,不難想象(透過簡單的三角關係),光行差的這個傾斜角是跟地球速度v和光速c的比值v/c直接相關的。也就是說,這個實驗只能精確到v/c一階量級(只出現v和c的一次方),並沒有出現v²/c²二階量或者更高次項。
第三,因為光行差實驗只能精確到v/c一階,所以,我們雖然能猜測地球和以太之間有相對運動,但並不能精確地測出這個速度到底是多少。具體原因我們後面會談。
好,知道光行差要求地球和以太之間有相對運動,並且它只精確到v/c一階,無法測出這個相對運動的具體速度,第一個實驗就可以翻篇了。
04阿拉果的實驗
光行差是個純粹的天文觀測,它只涉及以太在真空(空氣)中的情況,資訊量有限。法國天文學家阿拉果加了一塊玻璃,希望利用光在不同介質中的折射來獲取更多的資訊。
阿拉果這個實驗的原理有點繞,大家要仔細理一理(理不清關係也不大,知道最後的結論就行了)。
你想啊,如果地面上有一塊玻璃,那以太自然也會從玻璃中流過。那麼,如果有一束光從空氣射入玻璃,你覺得會發生什麼?
光在以太中運動,以太在玻璃中流動,那麼,光在玻璃中的速度就應該是這兩個速度的疊加。而速度又是一個向量,不僅有大小,還有方向,所以光在玻璃中的速度就還跟這兩個速度的夾角有關。
這就好比往河裡仍一個皮球,如果順著河水仍,皮球的速度是最大的;垂直河水仍,皮球的速度會稍微小一點;逆著河水仍,皮球的速度就是最小的。
很明顯,即便我仍皮球的速度大小一樣,但只要方向不同,最終皮球的速度還是會不一樣。同理,光從不同方向射入流著以太的玻璃,最後的速度也應該不一樣。
於是,阿拉果就轉動望遠鏡,讓光線從不同角度進入玻璃。試圖透過改變光在玻璃中的速度,進而改變光在玻璃中的折射率,然後透過折射定律觀察到這種變化。
考慮到有些中小學生還不知道折射率和折射定律,我這裡非常簡單的說一下。
光從一種介質進入另一種介質時會發生折射。如下圖,小魚身上的光線其實是走折線進入我們的眼睛的,你順著視線的方向是抓不到魚的,這就是一個典型的折射現象。水杯中的筷子好像折斷了,也是因為光從水進入空氣時發生了折射。
折射的程度跟這兩種介質的折射率有關,而介質的折射率,就是光在真空中的速度與介質中速度的比值。
比如,水的折射率是1.33,就是說光在真空中的速度是水中速度的1.33倍。一般我們認為光在空氣中的速度就等於真空光速,也就是近似認為空氣的折射率等於1。
光線發生折射時,它的入射角α1和折射角α2的正弦值與這兩種介質的折射率n1、n2之間有一個簡單的比例關係,這就是大名鼎鼎的折射定律:n1sinθ1=n2sinθ2。
於是,當光線從不同方向射入玻璃時,光在玻璃中的速度和折射率都會發生變化,入射角和折射角之間的關係也會發生改變,而這是可以直接觀察到的。
但實驗結果卻讓阿拉果大為迷惑,因為他發現無論光從哪個方向進來,他都觀察不到玻璃的折射率有任何變化。
也就是說,我們改變入射光的方向時,光在玻璃中的速度好像並沒有改變,這跟說好的不一樣啊!
為什麼?阿拉果百思不得其解,於是,他選擇求助場外觀眾。他於1818年給波動說大佬菲涅爾打了個電話,不,是寫了封信。
05部分曳引假說
大佬就是大佬,菲涅爾收到阿拉果的來信之後,很快就想到了一個解決辦法。
菲涅爾想,不同方向的光線進入玻璃後的速度應該是不一樣的,既然我們現在觀測不到這種不一樣,那就肯定是還有某種機制把它抵消了。
於是,菲涅爾就提出了一種假說,他說為什麼我們觀測不到這種不一樣呢?
是因為玻璃在以太中運動的時候,它無法做到“以太叢中過,片葉不沾身”。它要拖著部分以太跟它一起運動,然後被拖曳的這部分以太剛好就跟上面那個效應抵消了,於是我們就觀測不到任何不一樣了。
那麼,玻璃能拖動多少以太呢?
菲涅爾說這個比例跟介質的折射率有關。你的折射率越大,拖曳的以太就越多,折射率越小,拖曳的以太就越少,具體的曳引係數是1-1/n²(n是介質的折射率)。
這就是菲涅爾的部分曳引假說,似乎很有道理的樣子。
利用部分曳引假說,菲涅爾很好地解釋了阿拉果的實驗。
因為地面的空氣並不會拖曳以太(折射率約為1,曳引係數等於0),地球本身又是極為多孔的物質,以太可以暢通無阻地流過。所以,地球和以太之間還是有相對運動,這跟光行差也不矛盾,完美!
不過,菲涅爾的部分曳引假說一開始並未受到人們的重視。
1851年,斐索做了一個著名的流水實驗,實驗結果跟部分曳引假說的預言極為接近。於是,人們對菲涅爾的假說信心大增。
06斐索流水實驗
流水實驗的原理非常簡單,菲涅爾不是說透明介質會部分拖曳以太麼?那麼,我讓一束光順著水流的方向走,另一束光逆著水流的方向走,它們走完水管的時間就應該不一樣。
當然,光速這麼快,想直接測量順水和逆水的時間差是不可能的,斐索就巧妙地利用了光的干涉。
因為光是一種波,把兩束一樣的光疊加在一起,那肯定是波峰與波峰疊加,波谷與波谷疊加。現在它們經過水管的時間不一樣,再次相遇時波峰和波谷肯定就對不上了,這樣它們的干涉圖案就會發生變化。
具體細節我就不說了,大家只要知道實驗結果跟菲涅爾理論計算的結果極為接近就行了。如果大家感興趣,我後面可以在公眾號裡單獨寫文章談談這個實驗。
總之,斐索流水實驗在很高的精度內證明了部分曳引假說的有效性。後來,霍克又用更嚴密的實驗做了進一步驗證。一時間,菲涅爾的理論風頭無二。
07一階光學實驗
此外,菲涅爾還從部分曳引假說證明了一個更強的結論:像光行差和阿拉果這種只精確到v/c一階的實驗,無論你怎麼做,光學現象都不會受到地球相對以太運動的影響。
什麼意思?
我們知道,菲涅爾提出部分曳引假說,就是為了解釋阿拉果的實驗。阿拉果認為如果地球相對以太有運動,我們就可以透過改變入射光的方向改變光在玻璃中的速度,進而改變玻璃的折射率。
但是我們沒有發現折射率有任何變化,這就意味著這個實驗沒能觀測到地球相對以太的運動。
為什麼觀測不到?有兩種解釋:第一,它們之間真的沒有相對運動;第二,它們之間有相對運動,但是因為某種原因我們觀測不到。
菲涅爾選的是第二種。
在部分曳引假說裡,以太是靜止的,地球相對以太肯定有運動,這樣才能解釋光行差。
在阿拉果的實驗裡,因為以太被玻璃部分拖曳,這個效果剛好和地球相對以太運動的效應抵消,所以我們就觀測不到折射率的變化了。
這就好比在跑步機上跑步,你覺得自己在往前跑,但別人覺得你沒動。你向前奔跑的速度剛好和跑步機拖曳的速度抵消了,所以別人就觀測不到這種相對運動帶來的變化了。
然後,菲涅爾進一步說,不僅阿拉果的實驗觀測不到地球相對以太的運動,任何v/c一階實驗(實驗結果只跟地球速度v與光速c的比值v/c相關)都觀測不到地球相對以太的運動,這是部分曳引假說的一個必然結果。
那麼,菲涅爾的預言到底對不對呢?隨著時間的推移,大家對這個事情的關注度也越來越高。
1873年,巴黎科學院舉辦了一場名為“光源和觀察者的運動對光的傳播方式和性質所產生的變化”的大獎賽,最後馬斯卡特贏得了大獎。
馬斯卡特做了各種各樣的一階光學實驗(比如光的反射、折射、衍射等),也重做了一些之前的實驗。結果是,他沒有觀察到地球相對以太的運動給這些實驗帶來了任何影響。
總之,最起碼到了19世紀70年代,人們已經達成了一項共識:精確到v/c一階的光學實驗不會受到地球相對以太運動的影響。
愛因斯坦在狹義相對論論文的第二段也專門提到了這個事,大家一定要注意一階這個定語。
08一階相對性原理
好,到這裡,光行差、阿拉果、斐索流水三個跟以太相關的一階實驗就講完了。為什麼要挑這三個實驗呢?
因為愛因斯坦在1950年與香克蘭教授談話時,說對他影響最大的實驗就是光行差和斐索流水實驗,並且強調“它們已經足夠了”。
我這裡加一個阿拉果的實驗,主要就是為了自然地引出菲涅爾的部分曳引假說。
那麼,從這幾個早期的以太實驗裡我們能知道些什麼呢?愛因斯坦又知道了什麼,為什麼他說這些就夠了?
從上面的分析,以及我的多次強調,相信大家已經知道這幾個實驗都是一階光學實驗,並且菲涅爾的理論能很好地解釋它們了。
然後,不管是從部分曳引假說還是從實驗出發,精確到v/c一階的光學實驗不會受到地球相對以太運動的影響,知道這些就夠了。
大家再來想一想,“一階光學實驗不會受到地球相對以太運動的影響”是什麼意思?這句話你再多看幾遍,你品,你細品。
不會受到地球相對以太運動的影響,就是說地球相對以太靜止也好,運動也罷,我們的一階光學實驗該咋做還咋做。不論你處在與以太相對靜止的參考系,還是處在相對以太勻速運動的參考系,一階光學實驗完全感知不到,無法區分。
這就是說,我們無法透過一階光學實驗區分一個參考系是相對以太靜止,還是相對以太做勻速直線運動。換成了這種句式,相信起碼看了上一篇文章的人立馬就能明白是什麼意思了。
對,它意味著:一階光學實驗滿足相對性原理!
繞了一大圈,我們終於又繞回到問題的核心,也就是電磁現象是否滿足相對性原理來了。而這些實驗則明明確確地告訴愛因斯坦:最起碼在v/c一階精度下,電磁現象是滿足相對性原理的,這個我們可以打包票。至於在v²/c²二階甚至更高階的精度下,電磁現象是否還滿足相對性原理,這個現在不敢說。
而愛因斯坦說光行差和斐索流水就夠了,意思是你們這些以太實驗能給到一階精度的支援就足夠了,就已經圓滿完成了本次任務。我還有另外三路大軍,原本也沒怎麼指望你們這一路。
上一篇文章已經講了,愛因斯坦主要是從協調牛頓力學和麥克斯韋電磁理論的角度來創立狹義相對論的。而它們的核心矛盾就出在相對性原理上:牛頓力學配合伽利略變換,非常完美地滿足了相對性原理;麥克斯韋電磁理論不具有伽利略協變性,那它還滿足相對性原理麼?
大家要記住這才是我們的核心問題,我這兩篇文章的所有內容都是圍著它轉的。所以,我們從以太實驗又繞回到了相對性原理這裡,這是非常自然而且必須的。
09邁克爾遜-莫雷實驗
好,愛因斯坦還有其它三路大軍,他覺得以太實驗能給到一階精度的支援就足夠了。但其他物理學家沒這麼壕啊,很多人別說另外三路,另外一路都沒有,就指著以太實驗吃飯呢。
所以,對他們來說,一階精度上的支援是遠遠不夠的。那怎麼辦呢?一階精度不夠,那就去做二階精度的實驗唄,反正閒著也是閒著,催一催實驗物理學家也不礙事。
但是二階實驗難做啊!你想想為什麼大家做了這麼多一階光學實驗,卻沒有人去做二階光學實驗?你以為是實驗物理學家沒收到催更麼?
主要還是太難了,為什麼難我給你分析一下。
要精確到v²/c²二階,地球公轉速度v(30km/s)大約是光速c(30萬km/s)的萬分之一,再平方一下,v²/c²就是億分之一。也就是說,如果你想做一個精確到v²/c二階的光學實驗,你的實驗精度得高達億分之一才行。
這在當時非常困難的。麥克斯韋在1879年3月19日(此時愛因斯坦已出生5天)給美國航海曆書局的託德寫信時都還認為這個精度的效應在地面上是無法被探測到的。
然而,天才實驗物理學家邁克爾遜認為麥克斯韋低估了地面實驗所能達到的精度。於是,他在1881年做了一次實驗,在1887年又跟莫雷做了一次說服力更強的實驗,這就是大名鼎鼎的邁克爾遜-莫雷實驗。
然後,邁克爾遜就捧走了1907年的諾貝爾物理學獎,這也是美國人第一次獲得諾貝爾物理學獎。
有些人可能有疑問:你不是說愛因斯坦有光行差和斐索流水實驗就夠了麼,那為什麼還要講邁克爾遜-莫雷實驗?
這個原因嘛,雖說愛因斯坦有那些一階光學實驗就夠了,邁克爾遜-莫雷實驗對他創立狹義相對論並沒有什麼直接的影響。
但是,這個實驗對其他物理學家影響非常大啊,比如洛倫茲。
洛倫茲為了給邁克爾遜-莫雷實驗一個合理的解釋,苦思冥想,埋頭苦幹,最終在1895年(注意這個時間)發表了一篇名為《關於動體電現象和光現象的理論研究》,長達137頁的專題論文。他在這篇論文裡引入了長度收縮假設、地方時的概念,證明了對應態定理,從而解釋了邁克爾遜-莫雷實驗。
而洛倫茲對電動力學的研究,特別是1895年的這篇論文,對愛因斯坦創立狹義相對論有很大的影響。
所以說,邁克爾遜-莫雷實驗雖然對愛因斯坦沒有什麼直接的影響,但卻有這種間接的影響。
所以,我們想要搞明白洛倫茲是如何影響愛因斯坦的,就得先搞清楚邁克爾遜-莫雷實驗是怎麼回事。而且,許多人對這個實驗,對它與狹義相對論的關係都存在非常大的誤解,這裡澄清一下也好。
另外,我前面說了那麼多一階光學實驗,難道你們就不想看看二階光學實驗是什麼樣的?邁克爾遜-莫雷實驗就是一個設計得極為漂亮的二階光學實驗。
10為什麼是二階?
這裡我稍微解釋下為什麼邁克爾遜-莫雷實驗是二階的。
部分曳引假說認為以太可以被透明介質部分拖曳,在真空這種沒有介質的地方就應該是靜止的。那麼,地球在靜止以太中穿梭,我們要如何測量這個速度呢?
想法很簡單:如果地球在以太中穿梭,我們就應該能感覺到以太風。我往有風的地方發射一束光,沒風的方向發射一束光,對比一下就能知道風速了,也就是地球相對以太的運動速度。
假設以太相對地球以速度v向右運動,我向右發射一束光,光速就是c+v;反射回來向左運動時,速度就變成了c-v。
與此同時,如果在沒有以太風的地方發射一束光,它的速度就一直都是c。
整個過程就像在河裡做往返划船比賽:一組先順流而下,再逆流而上,另一組在平靜的河面上往返,看哪一組更快。這裡河水就像是以太,在水面運動的船就好比在以太中運動的光。
我們假設單程距離為l,那麼光順著以太運動的時間為l/c+v,逆著以太運動的時間為l/c-v,總時間t=(l/c+v)+ (l/c-v)。
在沒有以太風的地方,光往返的速度都是c,總距離為2l,所以總時間t’=2l/c。
這兩種情況的時間差我們記為Δt=t-t’,它佔整個傳播時間的比值就可以這樣算:
可以看到,當地球的公轉速度v遠小於光速c時,這個比值就近似等於v²/c²。所以,這是一個不折不扣的v²/c²二階光學實驗。
這個思路非常簡單,它難就難在如何探測這麼微小的差別,邁克爾遜厲害就厲害在發明了一種精度如此之高的干涉儀。
邁克爾遜-莫雷實驗的原理跟它基本相同,唯一的區別就是我們找不到沒有以太風的地方。
所以,邁克爾遜和莫雷讓一束光與以太風平行,另一束跟它垂直,垂直的這束光要考慮與以太風速度的疊加。
他們這樣做了一次,把儀器旋轉90度之後又做了一次。按理來說,旋轉之後平行和垂直互換,光線運動的時間也會改變,這樣產生的干涉條紋肯定也跟原來的不一樣。
但實驗結果又讓人大跌眼鏡:旋轉90度以後,干涉條紋沒有發生任何變化。就像壓根就沒有以太風,平行和垂直沒有任何區別似的。
也就是說,我們認為光在平行和垂直以太風方向上的運動時間應該不一樣,而且還算出了這個時間差大約佔總時間的億分之一。但是,邁克爾遜-莫雷實驗告訴你:沒有的事,不管光朝哪個方向跑,它們的傳播時間好像都一樣。根本就沒有什麼以太風,順風、逆風、垂直風都是沒邊的事!
科學家們一下子就懵了。
11實驗的結論
在這裡,我希望大家忘掉一切關於邁克爾遜-莫雷實驗和以太的先入為主的觀念,忘掉你在書裡、文章裡或在其它任何渠道看到的結論。我們就站在這個歷史節點,面對這樣一個實驗結果,你覺得我們可以作出哪些合理的判斷?
首先,我們能從這個實驗結果得出“以太不存在”這麼大的一個結論麼?
不能!因為完全沒道理啊。
你想,我們現在是在驗證部分曳引假說在真空中的情況。菲涅爾認為以太在真空中是靜止的,所以,我們在靜止以太中穿梭時會感覺到以太風,然後才有順以太、逆以太、靜止以太在運動時間上的不同。
然後,邁克爾遜-莫雷實驗告訴我們這兩個時間是一樣的,我們可以據此說以太風不存在。但是,以太風不存在和以太不存在這絕對絕對是兩碼事啊!
我們都知道風就是空氣的流動。那麼,你會根據一個地方沒有風就說這裡的空氣不存在麼?
自己都覺得很荒謬是不是?高鐵在鐵軌上飛奔,但車廂裡並沒有風,我們能因此就說高鐵裡沒有空氣麼?同理,為什麼我們要根據邁克爾遜-莫雷實驗的零結果就判斷以太不存在呢?
我們做任何判斷都要合乎邏輯,我們不能因為後來狹義相對論不需要以太,你就直接偷懶說邁克爾遜-莫雷實驗“證明了”以太不存在。否則,科學的嚴謹和嚴密何以立足?
那麼,根據邁克爾遜-莫雷實驗的零結果,我們最容易、最自然想到的結論是什麼呢?
我不知道你是怎麼想的,反正我覺得就像高鐵裡感覺不到風一樣。我們在地面觀測不到以太風,最合理的猜測就是地球會拖著附近的以太跟著它一起運動,就像粘性流體那樣。
這樣,地球和地面附近的以太就會保持相對靜止,所以就觀測不到以太風了。這就是流體力學大佬斯托克斯的完全曳引假說。
以太在當時的感知是極強的,認為光的傳播需要一種介質的想法合情合理,各種實驗也能用基於以太的部分曳引假說得到很好的解釋。
在這種環境下,你覺得物理學家們會因為觀測不到以太風就直接把以太這個根基給丟了麼?那也太暴躁了吧!
愛因斯坦確實拋棄了以太,但絕不是因為這個實驗。
邁克爾遜和莫雷做了這個實驗以後,也只是轉向了斯托克斯的完全曳引假說。也就是說,他們也認為沒觀測到以太風,是因為地球完全拖曳了以太,導致它們相對靜止,而不是說以太不存在。
當然,完全曳引假說後來又被其它實驗否決了,那是後話,我們這裡不細談。
邁克爾遜-莫雷實驗讓物理學家們大為震驚。本來,菲涅爾的部分曳引假說跟許多一階實驗都符合得非常好,人們也慢慢傾向於認為以太在透明介質中會被部分拖曳,在真空中應該是完全靜止的,這樣地球跟以太之間就應該有相對運動。
現在邁克爾遜-莫雷實驗跑過來說沒有相對運動,地球和附近的以太應該是相對靜止的,這就直接跟部分曳引假說發生了衝突。
完全曳引假說雖然能解釋這個實驗,但跟其它實驗又發生了衝突,你讓我們怎麼辦?
當然,在物理學裡,危機就是轉機。物理學家們從來不懼怕問題,相反,如果所有的問題都被解決了,那他們就要失業了。
針對邁克爾遜-莫雷實驗這個匪夷所思的結果,物理學家們進行了大量的思考,做的最好的是洛倫茲。
12洛倫茲和電子論
提到洛倫茲,很多人的第一反應就是高中學的洛倫茲力,也就是運動電荷在磁場中受到的力。這是一個非常基本的概念,所以,可以猜測洛倫茲在電動力學裡應該非常重要,雖然這很容易被忽視。
提到經典電動力學,很多人的腦袋裡只有麥克斯韋。但是你想啊,麥克斯韋方程組使用的都是諸如電通量、磁通量、散度、旋度這樣的概念,而我們高中學習電磁學用的都是電子移動產生電流,電子在電場中受到電場力,運動電子在磁場中受到洛倫茲力等這樣的概念。
那麼,用電子這種微觀粒子來解釋電磁現象是誰最先提出來的呢?當然,話都說到這裡來了,你們十有八九會猜是洛倫茲乾的。
沒錯,就是他乾的。
也就是說,洛倫茲對麥克斯韋的電磁理論做了一種微觀上的解釋。
他認為電是由微小粒子組成的,電磁世界的各種現象現象都跟這種微小粒子的運動有關。這種微小粒子就是我們後來說的電子,洛倫茲的這套理論就叫電子論。
電子論是電動力學的一次重大進步,洛倫茲也因此獲得了第二屆(1902年)諾貝爾物理學獎,雖然大家都只記得倫琴因為x射線獲得了第一屆。
1953年,愛因斯坦在洛倫茲的百年誕辰上這樣說道:我們這個時代的物理學家,多半沒有充分了解到洛倫茲在理論物理基本概念的發展中起到的決定性作用。造成這種怪事的原因,是洛倫茲的基本觀念已經深深地變成了他們自己的觀念,以至於他們簡直無法體會到這些觀念是多麼大膽,以及它們使物理學的基礎簡化到什麼程度。
既然洛倫茲如此鍾愛電子論,那他自然也希望能從電子論的角度給這些以太實驗一個合理的解釋,而他確實也做到了。
他從電磁理論匯出了菲涅爾的部分曳引係數(這就意味著可以解釋那些一階光學實驗),經過長時間的思考,他又想出了一個可以解釋邁克爾遜-莫雷實驗的辦法。這些內容最終彙集在1895年這篇名為《關於動體電現象和光現象的理論研究》,長達137頁的專題論文上,而愛因斯坦對這篇論文非常熟悉。
更加重要的是:洛倫茲的這套理論不僅在以太系中成立,在相對以太做勻速直線運動的參考系中也成立,雖然只是針對v/c一階情況。
當然,在洛倫茲眼裡,他只是用了一些數學技巧把運動參考系的現象轉化到絕對靜止的以太參考系裡來處理。但愛因斯坦眼裡,這妥妥的就是電磁理論在v/c一階情況下滿足相對性原理的絕佳證明啊。
洛倫茲原本計劃按照菲涅爾的思路來,假定以太會以菲涅爾曳引係數被物體拖動。但後來他發現沒這個必要,利用極化,在靜止以太下就可以解釋觀測到的現象。
而且,洛倫茲還把以太和有質量的物質做了嚴格的區分,並拒絕對以太的力學性質再做任何假設。
這就有意思了,你們看看集萬千寵愛於一身的以太,到洛倫茲這裡變成啥了:它是完全靜止的,沒有任何力學性質,還跟其它有質量物質不一樣,以太在這裡完完全全變成了一個啥也不幹的純背景牆。
愛因斯坦後來詼諧地說:“洛倫茲留給以太的唯一力學性質就是不動性。狹義相對論帶給以太概念的全部變革,就是取消了以太最後的這個力學性質,即不動性。”
大家可以看到,以前人們認為以太之於光波,大致就類似水之於水波,空氣之於聲波,都認為是相鄰介質點之間的力學作用形成了波。
但是,洛倫茲從電子論出發,把以太的力學性質都給剝奪了,讓以太變成了一個純背景牆,這變化是非常大的。
13長度收縮假說
那麼,洛倫茲又是如何利用這套理論解釋邁克爾遜-莫雷實驗的呢?
洛倫茲的思路跟菲涅爾類似,也是一種補償法。如何補償?
按理說,光先順著以太風再逆著以太風運動,比來回都沒有以太風要稍微慢一點。既然慢了一點,那我們就應該能把這個時間測出來,但是邁克爾遜-莫雷實驗說根本測不出這個時間,怎麼回事?
那洛倫茲就說,在沿著以太風的方向上,光的總速度變小了,時間沒變,那就只能是運動的總距離減小了,這樣才能對上號嘛。
就像兩個人賽跑,一個跑得快一個跑得慢,但他們卻同時到達了終點。這就說明他們跑的距離不一樣,速度快的多跑了一點,速度慢的少跑了一點,如此才能同到達。
現在這兩束光也是,它們運動的時間一樣,但是沿著以太風方向的光的速度要慢一些,那就只能認為這個方向上的光運動的距離要小一些。
具體到邁克爾遜-莫雷實驗,就是沿著以太風方向的干涉儀的長度會變短,這就是洛倫茲的長度收縮假說。
洛倫茲認為這並非不可能,只要我們認為儀器分子間的作用力也會受以太影響,那麼以太運動時,分子間的距離是有可能減少的。利用長度收縮假說,洛倫茲解釋了邁克爾遜-莫雷實驗。
同時,我們也要清楚:洛倫茲認為長度收縮是一種動力學性質,他認為物體分子間的距離是真真實實地發生了收縮;而狹義相對論裡的尺縮效應則是一種純粹的運動學效應,並沒有什麼力把物體壓縮了。
此外,洛倫茲還引入了一個叫地方時(local time)的概念,證明了對應態定理(後面再細說),從而讓他的理論在v/c一階下是滿足相對性原理的。
雖然他自己從未提過相對性原理,只是把這些當作一種數學技巧。也不認為地方時在物理上有任何意義,但這對愛因斯坦的啟發是非常大的。
最起碼,光行差、斐索流水等只是從實驗上讓人覺得電磁現象在v/c一階上是應該滿足相對性原理的,而洛倫茲在1895年的論文則讓你直接看到了一個在v/c一階滿足相對性原理的電磁理論,這給人的感覺和信心是完全不一樣的。
我之所以反覆強調1895年這個時間點,是因為這是愛因斯坦在發表狹義相對論論文(1905年)之前所知道的洛倫茲的最新工作,洛倫茲在1895年之後的工作愛因斯坦通通不知道,包括1904年大名鼎鼎的洛倫茲變換。
當時並沒有網際網路,資訊傳遞不發達,愛因斯坦又是一個遠離學術中心的瑞士專利局小職員。而洛倫茲又在荷蘭,所以這些都是很正常的。
但是,愛因斯坦畢竟是愛因斯坦,雖然洛倫茲的理論對他啟發很大,但他也只是批判性的接受。比如他就非常反對洛倫茲理論裡的以太,即便以太在這裡只是一個可憐兮兮的純背景牆,愛因斯坦還是毫不猶豫地把背景連牆都給扔了。
在這裡,我們看到了洛倫茲和愛因斯坦的核心分歧:洛倫茲的內心深處是需要這樣一個絕對的以太的,只有以太系的時間才是真正的絕對時間,這樣整個框架就還是牛頓式的。而洛倫茲也看到了在牛頓力學框架內解決這些問題的希望。
所以,愛因斯坦提出了狹義相對論之後,洛倫茲一方面對愛因斯坦的工作大加讚賞,另一方面卻依然堅持自己的以太,這是很多人難以理解的。
在狹義相對論之前堅持以太就算了,怎麼狹義相對論都出來了,你還堅持以太?
在洛倫茲看來,像愛因斯坦那樣拋棄以太,或者像自己這樣堅持幾乎已經沒有任何力學性質的以太,透過一些數學手段把其它參考系的問題轉化到以太系來處理,只是個人喜好問題。
因為從來就沒有人規定描述一種物理現象只能有一種理論,我們可以從不同的角度得到不同的理論。至於如何從中選擇,除了一些公認的標準外,個人的喜好確實也是一種重要的因素。
洛倫茲放不下牛頓的絕對時空觀,愛因斯坦則堅信不存在絕對空間和絕對運動。這讓兩人採用了完全不同的研究綱領,因而得到了不同的理論。
“不存在絕對運動”是一種根植於愛因斯坦靈魂深處的信念,所以他拒絕接受洛倫茲這種絕對靜止的以太。這是愛因斯坦和其他物理學家最大的不同,也是理解愛因斯坦創立狹義相對論的關鍵。
那麼,我們不禁要問:為什麼愛因斯坦會如此堅信“不存在絕對運動”呢?如果這個事情這麼重要,為什麼其他物理學家不這樣想呢?
14牛頓與水桶實驗
要理解這個事,我們需要先理解為什麼之前大家基本上都認為存在絕對運動?這個問題倒是很好回答:因為祖師爺牛頓就是這麼想的。
牛頓是什麼段位什麼影響,不用我多說。他在出版了《自然哲學的數學原理》之後,基本上就是物理學家心中的神了。既然是神,那麼自然就是神說什麼,大家就跟什麼,而牛頓認為存在絕對空間、絕對運動。
牛頓在《原理》中寫道:絕對空間,其自身特性與一切外在事物無關,處處均勻,永不移動。物體從絕對空間的一處移動到另一處,就是所謂的絕對運動。
我坐在家裡沒動,那是相對地面沒動,由於地球要圍著太陽公轉,所以我相對太陽是運動的。同樣,即便我相對太陽靜止,我相對銀河系仍然是運動的。
這個邏輯似乎可以無限重複下去,我們似乎永遠沒有辦法說自己是絕對靜止的。但牛頓說有辦法:你只要相對絕對空間靜止,你就是絕對的靜止;相對絕對空間存在運動,就是絕對的運動。
絕對空間和絕對運動(類似的還有絕對時間)在牛頓的力學體系裡非常重要。缺少它們,很多東西就無法自洽,牛頓就無法自圓其說。
因為非常重要,所以牛頓還精心設計了一個實驗來“證明”絕對空間和絕對運動的存在,這就是大名鼎鼎的牛頓水桶實驗。
實驗步驟非常簡單:在一個桶裡裝點水,然後旋轉水桶,就完了。
再來看看實驗現象:水一開始是靜止的,在旋轉木桶的帶動下慢慢旋轉。最後,水跟桶會保持相同的旋轉速度,水面也會凹下去一點點。
那麼,牛頓想透過這個實驗說明什麼呢?一個如此稀鬆平常的現象,怎麼就能證明絕對空間的存在呢?
牛頓說,你看啊,一開始水和桶都是靜止的,它們之間沒有相對運動,此時水面是平的(狀態一)。到最後,水和桶都在運動,但是它們之間還是沒有相對運動(水和桶的轉速一樣),但是水面卻是凹的(狀態二)。
為什麼一個水面是平的,另一個卻是凹的呢?
有人說這簡單,狀態一裡水和桶沒有轉動,所以水面是平的;狀態二裡水和桶有轉動,所以水面是凹的。
但問題是,在狀態二里,水和桶之間明明也是相對靜止的(以相同的速度旋轉),並沒有相對轉動啊。
這時有人會說,我是說狀態二裡的水本身在轉,並不是說它相對水桶在轉。正是這種真正的轉動讓水面凹下去了,而狀態一裡水和桶並沒有真正的轉動,因此水面是平的。
聽起來好像很有道理,那問題又來了:你要如何判斷水是否在做真正的轉動呢?當水相對什麼轉動時才是真正的轉動?或者換個角度,你覺得一開始的水沒有真正的轉動,那麼,真的有東西是處在絕對的無轉動狀態麼?
水井裡的水是真正的無轉動麼?顯然不是,因為地球在自轉,會帶著水井裡的水一起轉動。同理,太陽、銀河系等都不可能是真正的無轉動。
所以牛頓認為,我們必須假設一種自身特性與一切外在事物無關,處處均勻,永不移動也永不轉動的東西存在,這就是他在《自然哲學的數學原理》裡定義的絕對空間。
只有相對絕對空間無轉動,才是真正的無轉動,這時候水面才是平的;如果你相對絕對空間有轉動,即便你們之間沒有相對轉動,水面也會是凹的。
牛頓就這樣給了水桶實驗一個自洽的說明,也順帶“證明”了絕對空間的存在。
然後,既然存在絕對空間,那絕對運動就是理所當然的事情了。有了絕對空間,配上伽利略變換,牛頓力學的所有定律就可以在慣性系裡具有相同的數學形式,也就是滿足相對性原理,完美!
透過水桶實驗,牛頓試圖向大家證明:絕對空間是存在的,相對絕對空間的運動(絕對運動)也是可以被實驗證明的。
15馬赫與水桶實驗
然而,在很久很久以前,就有人持有一種與之截然相反的觀點。
比如亞里士多德就認為:不存在絕對空間,空間只不過是物體的空間秩序。如果沒有物體以及物體間的相互關係,空間就根本不存在,一個“空無一物”的絕對空間是沒有任何意義的。
話雖然很拗口,但是想表達的意思卻很簡單。比如我問你國家圖書館在哪?你說在動物園的西面。我問你在哪,你說在公司。
當我們在回答“某個物體在哪裡?”的時候,我們其實是在指明這個物體的周圍有什麼東西。
如果你處在空無一物的虛空裡,問你在哪就沒有任何意義了,空間也就失去了意義,這是一種相對主義的空間觀。但牛頓肯定會反對,他會說即便在空無一物的虛空裡,絕對空間依然是存在的。
這是兩種完全針鋒相對的觀點。
在牛頓以及牛頓之後的兩百多年裡,因為牛頓力學的巨大成功,絕對空間的觀點佔據著壓倒性的優勢。
雖然在牛頓同時代就有人(比如萊布尼茨和貝克萊)批評絕對空間,但他們都只能從純哲學的角度進行批判,無法觸及絕對空間背後的大靠山——牛頓力學。因此,他們的批判顯得沒有多少份量,也沒能引起物理學家的關注。
在牛頓力學統治世界200多年後,第一位重量級對手登場了,他的名字叫恩斯特·馬赫。
馬赫對牛頓力學和絕對時空觀進行了深刻而又系統的批判,這些內容都寫進了他的名著《力學及其發展的批判歷史概論》(又名《力學史評》)裡。
馬赫是第二代實證主義大佬,實證主義這個詞我在其它文章裡也多次提到。
他們主張一切科學知識必須建立在觀察和實驗的基礎之上,認為經驗是知識的唯一來源和基礎。他們旗幟鮮明的反對形而上學,認為科學是對經驗的描寫,我們不必也不應該去追問科學背後的“本質”,並且應該把那些無法觀測的概念從科學裡清除出去。
馬赫和當時的實證主義雖然有些過分誇大經驗的作用(這些後來也被愛因斯坦批評),但他們在當時的積極作用是非常明顯的,影響了一大批相對論和量子力學初創期的物理學家。
實證主義哲學原本就是從現代自然科學的思想中發展起來的。哲學家們把它系統化之後,又反過來影響了一大批科學家,這是科學和哲學相互促進的一個典範。
因為有系統的哲學理論做後盾,馬赫對牛頓力學進行深入而又系統的批判,這裡最出名的就是馬赫對絕對時空觀的批判。為什麼馬赫要批判牛頓的絕對時間和絕對空間呢?
大家只要看一下絕對空間的定義,再想一下實證主義高舉的大旗,就會明白這倆不打起來才怪。
為什麼?實證主義主張科學知識必須建立在觀察和實驗的基礎上,要把那些無法觀測的概念從科學裡清除掉。
而絕對空間是什麼?能看到麼,能摸到麼,能被觀測到麼?都不能!
一個物理概念無法被任何實驗觀測到,那麼它就只有形而上學上的意義,而不具備科學上的意義。所以,按照實證主義的原則,這種概念就應該被剔除掉。
當然,牛頓肯定會跑出來申辯,說我已經用水桶實驗證明了絕對空間和絕對運動的存在,你怎麼能說它們無法被觀測呢?你怎麼能憑空汙衊人的清白?
馬赫嘿嘿一笑,心想牛頓終於祭出了他手裡的王牌,看我怎麼壓死他的牌。
然後馬赫就提出了一種全新的觀點來解釋水桶實驗,並且試圖向大家證明:解釋水桶實驗根本不需要什麼絕對空間,這個實驗也無法成為絕對空間的證明。
牛頓對水桶實驗的解釋是:如果水相對絕對空間沒有轉動,水面是平的;如果水相對絕對空間有轉動,水面是凹的。
而馬赫的實證主義背景不允許他使用絕對空間這種無法觀測的概念。於是,他提出了一種水桶實驗的新解釋:如果水相對整個宇宙背景無轉動,水面是平的;如果水相對整個宇宙背景有轉動,水面是凹的。
咋一看有點懵,有人會說,馬赫這不就是把絕對空間換成了整個宇宙背景嗎,就改了一個名詞而已,其它啥也沒變啊。
是,確實就是隻改了一個名詞,但這個名詞一改,整個意義就完全不一樣了,為啥?
因為絕對空間是一個無法觀測的概念,而整個宇宙背景卻是我們實實在在可以觀測到的東西,這就是根本區別。
當馬赫把水相對整個宇宙背景是否轉動作為判斷標準時,他其實是在認為:宇宙中所有物質與水的相互作用,決定了水面是否會凹下去。而其它物質與水的相互作用,則完完全全屬於可觀測的物理學內容。
就這樣,馬赫基於實證主義的思想,利用全宇宙所有物質對水的相互作用代替了絕對空間,否定了牛頓的絕對時空觀。然後也得到了一個自洽的水桶實驗的解釋,這些思想後來被愛因斯坦總結為馬赫原理。
當然,口說無憑,馬赫也想發展一套動力學理論來解釋馬赫原理,但是並不成功。
愛因斯坦創立廣義相對論之後,覺得自己建立了一套符合馬赫原理的理論。然後就像完成了老師夙願的學生一樣,興高采烈地拿著廣義相對論給馬赫看,以求表揚,結果卻被馬赫一頓批評。
不過,隨著研究的深入,大家發現廣義相對論確實與馬赫原理並不一致,這是後話。
16不存在絕對運動
馬赫對愛因斯坦創立狹義相對論的影響是非常巨大的。
愛因斯坦在學生時代就讀過馬赫的《力學史評》,奧林匹亞科學院(大學剛畢業的愛因斯坦和幾位朋友建立的一個以科學和哲學的交界問題為主題的學習小組。他們經常一起共同研讀一本書,這也是我建立長尾社群的初衷和奮鬥目標~)期間又跟朋友們仔細研讀了這本書。
在仔細研究了馬赫的思想之後,愛因斯坦的態度基本上就變成了:馬赫說得對,牛頓的絕對時空觀不可取。沒有絕對空間和絕對運動,我們能觀測到的都是相對空間和相對運動。
這是愛因斯坦跟其他老一輩物理學家們最大的區別。
因為愛因斯坦很年輕,牛頓力學的那套框架對他束縛不深。在他對新事物、新思想接受最容易的年紀,馬赫對牛頓力學進行了深入而又系統地批判,對休謨《人性論》的研讀又大大增加了他懷疑一切的勇氣。
所以,在其他物理學家還在試圖透過對牛頓力學這套框架的修修補補來解釋各種新實驗的時候,愛因斯坦早已堅信“不存在絕對運動”了。
於是,他的問題就變成了如何協調牛頓力學和麥克斯韋電磁理論,而不是試圖用牛頓力學去解釋一切。
看懂了這點,我們才能明白愛因斯坦的那些神來之筆,那些似乎是從天而降的天才想法是怎麼來的。才能明白為什麼愛因斯坦跟其他物理學家的思路不一樣,為什麼他會捷足先登創立狹義相對論。
理解了愛因斯坦堅信不存在絕對運動,就很容易理解對於洛倫茲1895年的那篇論文,為什麼愛因斯坦一方面對洛倫茲在那些“技術上”的處理非常滿意,另一方面又對洛倫茲的靜止以太假設非常排斥了。
不存在絕對運動,也就是說只有兩個物體之間的相對運動才是實在的。那麼,兩個做勻速直線運動的物體就不存在誰更特殊的問題,它們應該都是等價的,這也是相對性原理的體現。
但是,在洛倫茲的靜止以太假說裡,以太系始終是那個最為特殊的參考系,它與其它參考系並不等價。
雖然洛倫茲從來沒有說他的靜止以太就是牛頓的絕對空間,但從它的性質來看,一個沒有任何力學性質的純背景牆式的靜止以太,跟絕對空間也沒什麼大的區別了。
所以,愛因斯坦斷然無法接受。
牛頓認為存在絕對空間,透過伽利略變換,可以讓牛頓力學的定律在那些相對絕對空間勻速直線運動的參考系裡也能保持數學形式不變。
洛倫茲認為存在靜止的以太,透過引入地方時和對應態定理,可以讓電磁定律在那些相對以太勻速直線運動的參考系裡保持數學形式不變。
牛頓和洛倫茲處理問題的核心是一致的。
馬赫認為不存在絕對空間,那麼所有相互做勻速直線運動的慣性系就應該是真正完全等價的,並沒有哪一個更加特殊。而物理定律對所有慣性系平權,並不存在一個更加優越的參考系,這正是狹義相對論裡相對性原理的精髓。
也因為如此,一些被洛倫茲認為只是純數學技巧,只是為了透過這種變換方便在以太系處理問題的手段,在愛因斯坦的眼裡就有了物理意義。因為對愛因斯坦來說,每一個慣性系都是同等真實的,一切能觀測到的效應,都應該是相對運動造成的。
從哲學的角度來看,如果愛因斯坦接受了馬赫的批判,就應該認為不存在絕對運動不僅對力學有效,對電磁理論也應該是有效的。所以,電磁理論滿足相對性原理就應該是理所當然的事情。
當然,如果只是從哲學上的思辨,就認為電磁理論也應該滿足相對性原理,似乎顯得說服力不夠。在這種環境下,愛因斯坦深入思考了一個非常有名的實驗,這個思考讓他徹底堅信電磁理論必須滿足相對性原理,也讓他發現了電和磁在新理論裡應該具有的地位。
這應該也是愛因斯坦創立狹義相對論過程中最重要的一個實驗,其地位遠遠超過光行差、斐索流水、邁克爾遜-莫雷之類的實驗。
愛因斯坦在《論動體的電動力學》的開篇就用了整整一段話來描述這個實驗,而對其他人都很重視的以太漂移實驗一筆帶過。這就是大家都非常熟悉的法拉第電磁感應實驗。
17電磁感應之思
為了讓大家對此有更加細緻的瞭解,我把狹義相對論論文的開頭部分直接摘抄過來:大家知道,麥克斯韋電動力學——像現在通常為人們所理解的那樣——應用到運動的物體上時,就要引起一些不對稱,而這種不對稱似乎不是現象所固有的。
比如設想一個磁體同一個導體之間的電動力的相互作用。在這裡,可觀察到的現象只同導體和磁體的相對運動有關,可是按照通常的看法,這兩個物體之中,究竟是這個在運動,還是那個在運動,卻是截然不同的兩回事(摘自《論動體的電動力學》第一段)。
1831年,法拉第報告了電磁感應現象,他發現一根導體在磁鐵周圍做切割磁感線運動時,迴路裡會產生電流,也就是磁能夠生電。
當然,法拉第還做了各種實驗,總結了磁能生電的各種情況,這裡我就不細說了。
愛因斯坦關注的重點是:法拉第發現只要導體跟磁鐵之間有相對運動就能產生電流,而不管你是導體不動磁鐵動,還是磁鐵不動導體動。
但是,當時的理論對這兩種情況的解釋卻是截然不同的。
為了讓大家更直觀地瞭解這個實驗,也為了讓它更加符合相對論實驗的一貫風格,我把它等價地搬到火車上來。
實驗很簡單:在火車上放一個導體和導線組成的迴路,地面上放一塊磁鐵。火車開動後,火車上的導體就會切割地面磁鐵產生的磁感線,從而在迴路裡產生電流。
這是一個非常簡單的電磁感應實驗,類似的實驗法拉第做了一大把,我這裡只不過把導體迴路放在了火車上而已。
實驗結果也毋庸置疑:運動導體切割磁感線,迴路裡一定會產生電流。但是,當我們分別站在地面(磁體不動導體動)和火車上(導體不動磁體動)看問題時,愛因斯坦在論文裡說的問題就出現了,有意思的事情也隨之而來。
在火車上,我們看到的是:眼前的導體和迴路都沒動,當火車經過磁鐵那裡時,迴路裡的磁感線突然增加了,也就是出現了變化的磁場。
那麼,我們要如何解釋這個現象呢?
很簡單,根據法拉第定律,變化的磁場會產生電場。所以,迴路裡會出現電場,導體中的自由電子就在電場的作用下定向移動,於是迴路裡就產生了電流。
在地面上,我們看到的是:磁鐵在地面靜止不動,磁感應強度沒有變化。火車經過這裡時,火車上運動的導體會切割磁鐵產生的磁感線。
這時候我們是如何解釋的呢?
我們會說,導體裡有很多自由電子,火車運動時,這些自由電子也會跟著一起運動,而運動電子在磁場中會受到洛倫茲力。所以,當火車經過磁鐵上方時,電子就會在洛倫茲力的作用下定向移動,於是在迴路中形成電流。
因此,不管站在地面還是火車上,我們都能得出正確的結果。
但是其他人並不這樣看,他們認為電磁理論只在以太系中才成立,在其它參考系裡是不成立的。
因此,他們覺得只有站在地面上的人做的分析才是正確的,火車上的人則是在錯誤地使用電磁理論(因為火車系不是以太系)。而他們之所以都能給出正確的結果,那僅僅是一個巧合。
一個巧合,一個巧合,一個巧合!!!
重要的事情說三遍!我覺得在面對巧合這個事情上,是最能體現愛因斯坦之所以是愛因斯坦的。
科學上有各種各樣的巧合,那麼哪些是真巧合,哪些只是看起來像巧合,背後還有更深層的原因沒有被發現?
要回答這些並不容易,它需要我們對這些問題進行深入而透徹的思考。而很多東西一旦變成了常識,就很難再引起人們的注意,但是愛因斯坦一直對它們保持著警覺。
愛因斯坦自己倒是很謙虛地說,這是因為他智力發育比較慢,所以,很多同齡人已經思考過的問題,他沒有想通。於是,他就繼續琢磨,這樣想問題就想得深入了一些。
當然,愛因斯坦說他智力發育比較慢,你信嗎?
但是他確實一直都像孩子一樣,對許多大人們都習以為常的東西繼續刨根問底。
幾年以後,愛因斯坦又從“慣性質量等於引力質量”這個被大家視為巧合的地方開始深思,最後創立了廣義相對論。
長尾社群有一個六年級的小學生,他說他學習新知識比較慢,因為他無法接受自己知識體系以外的東西。所以,他需要把新知識充分理解吸收,變成原來知識網路的一部分之後才敢放心大膽的往前走。
這種慢,跟愛因斯坦的“智力發育比較慢”頗有些類似之處。
18相對性原理
好,回到正題。
地面系和火車系對電磁感應的看法不一樣,但是都能給出正確結果。
別人覺得這是個巧合,愛因斯坦卻認為這分明是在暗示我們:電磁理論在地面系能用,在火車系也能用,這是電磁理論滿足相對性原理的鐵證。
但是,我們剛剛也分析了:火車上的人覺得變化的磁場產生了電場,磁鐵附近有電場;地面上的人覺得是運動電子在磁場中受到了洛倫茲力,磁鐵附近沒有電場。
還有個大家更為熟悉的例子:火車上有一個靜止的電荷,火車系會覺得這裡只有電場沒有磁場;地面的人會覺得這個電荷在動,而運動電荷會產生磁場,所以這裡有磁場。
從這裡我們可以看到,火車系能看到電場或者磁場,地面系卻不一定能看到,反之亦然。這是很多人認為電磁理論不滿足相對性原理的鐵證,他們覺得電場、磁場這麼實實在在的東西,怎麼能在一個參考系裡有,在另一個參考系裡又沒了呢?
所以,唯一合理的解釋就是電磁理論不滿足相對性原理,它只在某些參考系(比如以太系)成立,在其它參考系是不成立的。
但是,如果愛因斯坦堅信電磁理論也滿足相對性原理,那麼地面系和火車系看到的現象就必須同等真實。
這樣的話,他就只能認為單獨的電場和磁場都是相對的,只有電和磁的總和才是客觀實在,這就很有狹義相對論內味了。
於是,我們就可以用一種統一的方式處理地面系和火車系的問題,愛因斯坦在論文開頭提到的那種不對稱性也隨之消失了,這不是很好麼?
愛因斯坦對這個實驗的印象是如此之深,以至於他在論文的開頭花了整整一段來講它。
講完之後他接著寫到:諸如此類的例子,以及企圖證實地球相對於“光媒介”運動實驗的失敗,引起了這樣一種猜想:絕對靜止這概念,不僅在力學中,而且在電動力學中也不符合現象的特性。倒是應當認為,對於力學方程適用的一切座標系,對於上述電動力學和光學定律也一樣適用。對於第一級微量來說,這是已經證明了的,我們要把這個猜想提升為公設。
這個公設自然就是狹義相對論的兩大基本假設之一的相對性原理:一切物理定律(包括力學、電磁學、光學)在所有的慣性系裡都是等價的,它們的數學形式在所有的慣性系裡都相同。
伽利略只說力學定律滿足相對性原理(上一篇文章裡詳細說了),愛因斯坦則把它的範圍擴大了,認為電磁定律、光學定律也應該滿足相對性原理。
而對於光行差、斐索流水等著名的以太漂移實驗,愛因斯坦在論文裡只提了一句“以及企圖證實地球相對於光媒介運動實驗的失敗”,然後就沒有了。
另外,他在後面也寫了“對於第一級微量來說,這是已經證明了的”。這裡特意提到v/c一階量級,也說明他沒怎麼重視邁克爾遜-莫雷實驗這個v²/c²二階量級的實驗。
這樣,結合前面各種實驗、理論以及哲學上的分析,愛因斯坦就正式回答了文章開篇的靈魂拷問:電磁理論是否滿足相對性原理?
他堅定地回答:是!
而一旦認定電磁理論滿足相對性原理,那所有的慣性系就都等價了,電磁定律也將在所有的慣性系裡成立。與此同時,搞特殊的以太系將不再有任何立足之地。
19真正的困難
就在愛因斯坦一路高歌猛進,試圖用這種思路協調牛頓力學和麥克斯韋電磁理論的時候,他遇到了一個困難,一個真正棘手的困難。
如果我們認為電磁定律滿足相對性原理,那麼麥克斯韋方程組就應該在所有的慣性系裡都成立。
在《見證奇蹟的時刻:如何從麥克斯韋方程組推出電磁波?》裡我就給大家推導了,我們可以在不預設參考系的條件下直接從麥克斯韋方程組推出電磁波的速度就是光速c。
現在相對性原理說麥克斯韋方程組在所有的慣性系裡都成立,那我自然就可以在所有的慣性系裡都推出電磁波(光)的速度是c。
也就是說,光在所有慣性系裡的速度都是c,它不隨著參考系的改變而改變。我們知道這就是後來的光速不變原理。
當然,我們似乎可以直接從麥克斯韋方程組和相對性原理推出光速不變來。
但是,麥克斯韋方程組在當時的地位還沒有這麼穩固,許多人基於光速可變對麥克斯韋方程組做了各種令人難以置信的修改。愛因斯坦也考慮過一些發射理論,但都失敗了。
所以,愛因斯坦最後還是選擇把光速不變作為一條單獨的原理提出來,而不是作為相對性原理和麥克斯韋方程組的推論。
不管怎樣,在愛因斯坦創立狹義相對論的過程中,光速不變實在顯得太過荒謬,完全跟常識相悖。
你想想,怎麼能一個物體的速度在所有的慣性系裡都一樣呢?在一輛速度為300km/h的高鐵上,列車員以5km/h速度朝車頭走去。那麼,火車上的人會覺得列車員的速度是5km/h,地面上的人覺得他的速度是300+5=305km/h。
火車系和地面系當然會覺得列車員的速度不一樣,而且就差了火車的速度300km/h。你要說地面和火車上的人覺得列車員的速度是一樣的,別人估計要建議你去看眼科了。
而現在,我們只要讓麥克斯韋方程組滿足相對性原理,就必然會得出火車系和地面系覺得光速都一樣的結論,這不反了麼?
明明電磁理論應該滿足相對性原理,那為什麼讓麥克斯韋方程組滿足相對性原理就會導致光速不變這個怪物呢?怎樣才能把它們協調起來呢?
這個問題把愛因斯坦折磨得死去活來的,他寫到:“為什麼這兩件事情彼此矛盾,我感到這個問題難以解決。我懷著修正洛倫茲某些思想的希望,差不多考慮了一年,毫無結果。這時候我才認識到,它真的是一個難解之謎。”
也就是說,愛因斯坦花了整整一年時間去思考這個問題,但沒有任何結果。
在一個陽光明媚的日子,愛因斯坦去拜訪了好友兼同事的貝索。他們就這個問題討論了很多,然後愛因斯坦突然就明白了。第二天愛因斯坦又去看貝索,開口就說:“太感謝你了!我已經完全解決這個問題了。”
解決這個問題的5周以後(注意愛因斯坦當時在專利局上班,他只能用業餘時間寫論文),愛因斯坦就發表了劃時代的論文《論動體的電動力學》。
在這篇論文裡,他沒有引用任何文獻,沒有提到任何當代著名的科學家。唯獨在論文的最後寫了這麼一小段:“最後,我要宣告,在研究這裡所討論的問題時,我曾得到我的朋友和同事貝索的熱誠幫助,要感謝他一些有價值的建議。”
也就是說,貝索是愛因斯坦在狹義相對論的論文裡唯一明文感謝的人。
他那天到底跟貝索聊了啥,我們現在是沒法知道了。但是,我們試著猜想一下,看看愛因斯坦在1905年初到底知道些什麼,困擾他的問題又是什麼,要怎樣才能合理地解決這些問題。
20對應態定理
這個問題的產生很簡單:只要我們認為麥克斯韋方程組滿足相對性原理,就一定會推出光速不變這個難題。
在經歷了這麼多的思索以後,愛因斯坦已經堅信電磁定律必須滿足相對性原理了。所以,他要做的是想辦法協調相對性原理和光速不變,而不管它們看起來有多矛盾。
那要怎樣協調呢?
愛因斯坦肯定會想到洛倫茲1895年的論文,因為洛倫茲在這篇論文裡提出了一套滿足相對性原理的一階電磁理論。這一點愛因斯坦自己也說了:“我懷著修正洛倫茲某些思想的希望,差不多考慮了一年。”
當然,在洛倫茲眼裡,他提出的是一套在以太系和相對以太做勻速直線運動的參考系都適用的電磁理論。但是愛因斯坦根本不相信有什麼絕對靜止的以太,所以,在他眼裡這就是一套滿足相對性原理的一階理論。
也就是說,洛倫茲最起碼在v/c一階情況下讓它們協調了起來,那愛因斯坦肯定要來這裡找找靈感啊。
那洛倫茲是如何做到這一點的呢?他的核心是證明了一個叫對應態定理的東西。
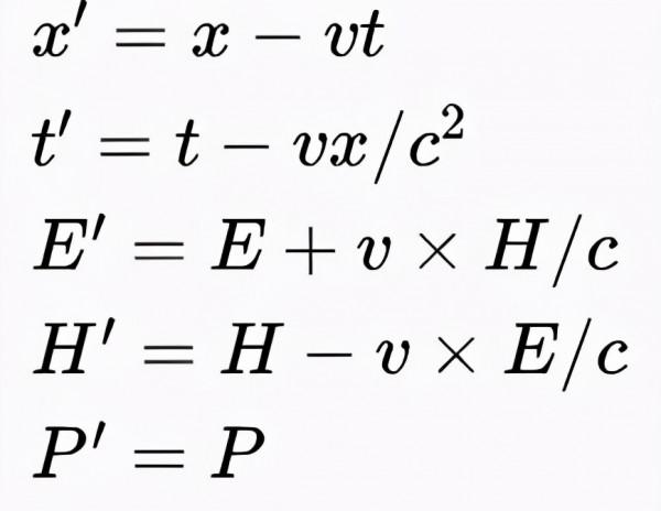
對應態定理是說,如果我們在相對以太靜止的參考系(x,t)裡考慮一個電磁狀態,用E、H、P分別表示電場、磁場、電極化向量。
那麼,在相對這個參考系以速度v運動的新參考系(x’,t’)裡,就存在一個對應的態E‘、H‘、P’。在v/c一階情況下,它們作為x’與t’的函式,與E、H、P作為x與t的函式,在數學形式上是一樣的。
在這兩個參考系裡,這些量的對應關係是這樣的(x表示x軸座標,t表示時間):
是不是有點拗口?
確實有點,我這裡主要是想保留洛倫茲思想的原汁原味,所以沒做什麼改動。
那些電磁物理量大家沒必要去細究,洛倫茲的主要意思是:如果我在一個新的參考系裡把橫座標x’和時間t’寫成上面這個樣子。那麼,在一階情況下,那些電磁物理量的數學形式就可以跟原來的保持一致。
這不就是說它們在v/c一階下滿足相對性原理麼?
牛頓力學是透過伽利略變換滿足相對性原理的,我們來看看洛倫茲採用的時空變化關係。也就是從一個慣性系變換到另一個慣性系時,時間座標和空間座標要怎麼變:
在相對原來參考系以速度v運動的新參考系裡,空間座標x’=x-vt是非常正常的。它們之間就差了一個參考系的運動速度和時間的乘積(就像你在地面和火車的距離,就差了火車的速度乘以時間一樣),伽利略變換裡也是這樣。
關鍵就是這個時間t’了,它和t之間有一個從來沒見過的複雜關係,而且還跟光速c有關。
洛倫茲發現只有把t’寫成t’=t-vx/c²這個樣子,那些電磁物理量才能在兩個慣性系裡都保持一樣的數學形式。可能他也不明白為什麼要這樣寫,但是發現只有這樣寫,才能滿足相對性原理。
所以,對洛倫茲來說,這只是一個純粹的數學技巧,沒有什麼真實的物理意義在裡面。於是,洛倫茲把t稱為一般時,而把t’成為地方時(local time)。
從名字你也能看出來,洛倫茲認為相對以太系靜止的t才是一般意義上的時間,是真實的時間。而t’只是一個地方時,只是為了滿足對應態定理而增加的一個數學技巧。
愛因斯坦肯定能看到地方時在這裡起的重要作用,這個陌生的概念是保證洛倫茲的電磁理論在一階情況下滿足相對性原理的關鍵。
於是就出現了他自己說的,試圖擴充套件洛倫茲的某些思想,但是失敗了。
雖然擴充套件失敗了,但洛倫茲引入的地方時和對應態定理的思想,肯定給愛因斯坦留下了非常深刻的印象。他也應該能隱隱約約感覺到,問題的關鍵應該就出在時間、地方時這裡。
21時間
提到時間,我們就會想到鐘錶,提到鐘錶立馬就會想到鐘錶王國瑞士。巧得很,愛因斯坦就是瑞士伯爾尼專利局的職員。
那時候火車剛剛興起,各個火車站之間的時間校準是一個很麻煩的問題。於是,愛因斯坦經常會收到各種關於時鐘校準的專利申請。
比如,給你兩個鍾,你要如何校準它們呢?
如果這兩個鍾就在一個地方,我們直接校準它們就行了。但問題是,如果它們一個在北京站,一個在武漢站,那要怎麼辦呢?
也好辦,只要假定光在空間中速度都一樣(其實就是假定空間的均勻性),我們從北京站發射一個光訊號到武漢站,再讓訊號返回北京。利用時間和路程的關係,校準這兩個時鐘也是很容易的事情。
既然異地時鐘是可以被校準的,那麼我們就可以用一個與自己相對靜止的時鐘來記錄自己所在參考系的時間。
比如,我在火車上放一個時鐘,這個時鐘的讀數就表示火車系的時間;我在地面放一個時鐘,這個時鐘就記錄了地面系的時間。
為什麼這個事情會搞得這麼麻煩,很多人表示難以理解。他覺得時間嘛,不就是那個,那個,反正就是那個在那裡的東西。雖然具體他也說不清楚,但是覺得時間應該是一個不言自明的東西。
你看,你要是連自己都說不清楚,你要怎麼說服馬赫?
前面我們說了,馬赫對絕對時間和絕對空間的批判對愛因斯坦影響很大。馬赫從實證主義的立場出發,認為絕對時間、絕對空間這種無法觀測的物理量是沒有科學上的意義的,它們只是一些形而上學概念,應該被拋棄。
所以,充分領會了馬赫精神的愛因斯坦在考慮時間時,必然也要把時間建立可觀測的基礎之上,而可以用來觀測時間的儀器自然就是時鐘。
因此,愛因斯坦在說某個事件的發生時間時,他不再想著有個絕對時間,而是想著這個事件發生處時鐘的讀數,所以我們要談時鐘的校準。
異地時鐘校準了,我們就可以判斷兩個異地事件是否同時發生了。因為我們假設了空間的均勻性,所以也可以直接用兩個事件發射的光訊號是否同時達到它們的中點來判斷它們是否同時發生。
這樣,同時性這個概念也可以用具體的實驗來判斷了,這很實證主義。然後,我估計就沒有然後了……
22最後的沉思
總之,現在愛因斯坦的頭腦裡裝著各種各樣的想法,有洛倫茲的對應態定理、地方時的概念,也有深受馬赫影響要拋棄絕對時間的執念,也有關於時鐘的同步,同時性的判斷(龐加萊的《科學與假設》裡也寫了這方面的內容)等問題。
很多線索都指向時間這個概念,時間是可疑的!
但愛因斯坦並不能把它們完全理順,融會貫通。他需要一個契機,跟貝索的討論就是這個契機。貝索作為一個局外人,肯定注意到了愛因斯坦某些沒注意到的地方,或者貝索的某些無心之言剛好提醒了愛因斯坦。
於是,愛因斯坦陷入了沉思……
“沒有絕對時間,有意義的只是時鐘記錄的時間。”
“任何關於時間的判斷都是對同時性的判斷。比如火車7點到站,它意思是火車到站這個事件跟我時鐘的短針指到7這個事件是同時發生的。”
“兩個異地事件是否同時發生,可以用閃光是否同時到中點來判斷。”
“洛倫茲用對應態定理成功地在v/c一階情況下解決了電磁理論滿足相對性原理的問題,他的核心就是用一個叫地方時的概念來代替運動系裡的時間。這雖然只是一個數學技巧,但看起來,就彷彿好像在運動系裡真的有一個獨立的時間似的。不知道的人一看這個公式,搞不好還真以為有兩個時間……”
“慢著,兩個時間?”愛因斯坦突然神情緊張,表情凝重,周圍一片空靈,一個極為大膽的念頭從他的頭腦裡一閃而過。
“如果我真的認為洛倫茲引入的地方時就是真正的時間呢?本來就沒有絕對時間,那麼每個參考系就都可以用自己攜帶的時鐘來測量自己的時間。”
“如果我認為地方時才是真正的時間,那麼每個參考系的地方時才是他們的時間,這樣洛倫茲的電磁理論滿足相對性原理反而就有了物理意義。那麼,對應態定理中時間項的複雜關係,難道是在暗示兩個參考系的時間的確不一樣?”
“慢著慢著,有可能是這樣的麼?這個想法太大膽,太瘋狂了。如果兩個參考系的時間不一樣,而且它們在一階精度下存在對應態定理說的那種關係。那麼在一個參考系裡認為是同時發生的兩個事件,在另一個參考系裡就有可能被認為不是同時的。”
“同時性的概念也很好判斷,用兩個閃光是否同時到達中點就行了。假設地面系看到兩道閃電同時擊中車頭車尾,火車中點有一個人,那麼閃光在傳播的過程中火車肯定要前進一段距離。於是,火車中點的人必然會先看到來自車頭的光,後看到來自車尾的光。”
“如果牛頓在這裡,他肯定要說來自車頭的光速要大一些(要加上火車的速度),來自車尾的光速要小一些(減去火車的速度)。所以,來自車頭的光比來自車尾的光的運動時間要短一些,而它們又是同時發出的(火車系也覺得事件是同時發生的,即同時的絕對性)。所以先看到車頭,後看到車尾的光很正常,我用牛頓力學都解釋幾百年了。”
“慢著,牛頓說什麼?來自車頭的光速要大一些,等於光速加上火車的速度?不對啊,我從麥克斯韋方程組滿足相對性原理出發,立馬就得到了光在所有的慣性系裡的速度都一樣,都是c,怎麼可能出現比光速大一些的情況?”
“那牛頓的解釋就不靠譜了。如果我認為光的速度在地面和火車都是c的話,火車系覺得兩束光走了相同的距離,光速也相同,那麼它們在火車上傳播的時間就必須也相同。“
“但是不對啊,如果它們的傳播時間一樣,火車上為什麼會先看到來自車頭的光,後看到來自車尾的光呢?傳播時間一樣,中點看到光的時間卻不一樣,唯一的解釋就是它們並不是同時發出的。但是地面系明明覺得它們是同時發生的啊,這裡怎麼又不同時了呢?”
”對了,我現在在火車上,憑什麼地面系覺得同時,火車系就必須也覺得同時呢?仔細一想,好像確實沒有理由要求它們非如此不可。難道這才是問題的關鍵?難道只要接受了同時的相對性,上面的矛盾就消失了?”
“對,這正是問題的關鍵:地面系覺得同時發生的兩個事件,火車系就是覺得它們不是同時發生的,閃電擊中車頭的事件先發生!”
“如果這樣的話,我就從電磁理論滿足相對性原理逼出了光速不變,光速不變又要求不同參考系對同時性有不同的判斷。每個參考系都有自己的時間(地方時),它們按照對應態定理那樣聯絡,這樣就又滿足相對性原理了。”
“從相對性原理逼出光速不變,經過同時的相對性又回到了相對性原理。OMG,這意味著什麼?這不就意味著相對性原理、光速不變協調了麼?”
“只要我們假定地方時才是真的時間,對應態定理出現的兩個不一樣的時間,在光速不變的情況下竟然真的不一樣。於是,不同參考系裡的時間就是不一樣的(一階相對性原理時間項表示式),同時性也是相對的(上面光速不變的推論)。”
“這不就剛好同時滿足相對性原理和光速不變了麼?也就是說,只要我認為每個參考系都有自己的時間,同時性是相對的,那我進可以滿足相對性原理,退可以跟光速不變相容。這樣一切矛盾就都煙消雲散了!!!”
愛因斯坦抑制不住內心的狂喜,他知道只要協調了相對性原理和光速不變,就能解決牛頓力學和麥克斯韋電磁理論之間的矛盾。
只不過,他沒想到問題的關鍵竟然在地方時,在同時的相對性上。對人們根深蒂固的時間觀念動了如此大的手術,一場大地震看來是不可避免了。
再回過頭想想,問題的關鍵還是在牛頓的絕對時間上。
只要腦海裡還有意無意地保留絕對時間的想法,那麼任何試圖協調相對性原理和光速不變的嘗試都註定會失敗。而要讓自己接受每一個參考系都有它自己獨立的時間,這太瘋狂,也太難了。
如今相對性原理和光速不變已經不矛盾了,順著這個思路,愛因斯坦很快就把理論的各個部分串起來了。
從相對性原理和光速不變出發,他很快就獨立推匯出了聯絡兩個慣性系之間的變換,也就是洛倫茲變換。然後拿麥克斯韋方程組來驗算,發現它果然可以在洛倫茲變換下保持數學形式不變,電磁理論的確滿足相對性原理。
再看看旁邊的牛頓力學,牛頓力學可以在伽利略變換下保持數學形式不變,也就是具有伽利略協變性。而當速度遠小於光速時,洛倫茲變換就可以退化為伽利略變換。
所以,牛頓力學肯定是某種更深刻的力學的低速近似。這種新力學的核心性質,就是它的所有定律都必須在洛倫茲變換下保持數學形式不變,也就是具有洛倫茲協變性。
那麼,我們用洛倫茲變換代替伽利略變換,對牛頓力學進行一番改造,升級之後的新力學就必然在接近光速時也能適用了,這就是後來的相對論力學。
這樣,以洛倫茲協變性為核心的狹義相對論就正式誕生了。
23狹義相對論
很多人看的相對論科普書和教材的邏輯是這樣的:從開爾文著名的兩朵烏雲引出邁克爾遜-莫雷實驗,然後說這個實驗“否定了以太,證明了光速不變”。
然後說愛因斯坦因此提出了光速不變原理,再從光速不變(相對性原理似乎就是透明的存在)推出了狹義相對論的幾個常見的效應,比如尺縮、鐘慢、雙生子效應。再講一下質能方程,狹義相對論就算講完了。
這給人的感覺,似乎狹義相對論就是一套從兩個假設出發,專門推出一些稀奇古怪結論的東西。讓人覺得相對論的核心就是這些反常識的內容:時間能變慢,空間能收縮,光速是極限,“天上一日,地上一年”也不再是神話。
當然,用這些東西用來吸引大眾眼球,博取路人緣是非常不錯的。但是,如果你以為這就是狹義相對論的核心,那就太膚淺了。
大家看看這篇和上一篇文章,你會發現都是圍繞相對性原理來的,上面我也說了狹義相對論的核心就是洛倫茲協變性。
其實,我們可以把相對論理解為一個形容詞,一個修飾性的詞語。
比如,我們研究力的相互作用的學問叫力學。如果一套力學定律在洛倫茲變換下可以保持數學形式不變,也就是具有洛倫茲協變性,那麼它就是相對論性的,我們可以稱之為相對論力學。
牛頓力學只具有伽利略協變性,所以他不是相對論力學。
為什麼我們沒有聽到有人說相對論電磁學或者相對論電動力學呢?
因為電磁理論天生就具有洛倫茲協變性,因此它天然就具有相對論性,所以我們就不用加相對論這個字首了(難道你還能找出非相對論的電動力學出來?)。
這個在量子力學裡體現得更明顯。
在學習薛定諤方程那一套的時候,老師會明確地告訴你,我們現在學的是非相對論性量子力學,也就是無法在洛倫茲變換下保持數學形式不變的量子力學。
當然,有了相對論這麼好的東西,大家當然希望薛定諤方程也能具有洛倫茲協變性。於是就有了後來的狄拉克方程、克萊因-高登方程,這一套新理論就叫相對論性量子力學。
不過,相對論性量子力學有一些無法克服的致命問題,這些問題直到把場論的思想引進來之後才得到圓滿的解決。
於是,這套具有相對論性的量子力學在吸收了場論的思想以後,形成的新理論就叫量子場論。這是標準模型的基礎,它顯然也是具有洛倫茲協變性的。
我這樣說,大家對相對論會不會有個全新的認識呢?
24升級牛頓力學
相對性原理是一個地位非常高的原理,它背後有著深刻的哲學和美學思想。
伽利略協變性和洛倫茲協變性都只是相對性原理的具體體現。區別在於:伽利略變換下的速度是直接疊加的,而洛倫茲變換下的速度疊加則比較複雜,到光這裡它就剛好不變了(即光速不變原理)。
至於尺縮鐘慢,它們只是相對論裡的兩個普通結論,切不要以為相對論就只是這些東西。
愛因斯坦發現用洛倫茲協變性取代伽利略協變性就能解決牛頓和麥克斯韋的衝突之後,自然要修改牛頓力學裡的一些東西,讓它們也具有洛倫茲協變性。
比如,動量守恆定律這麼重要的定律,牛頓力學下的動量守恆肯定是伽利略協變的,那要怎麼辦呢?
如果我們直接把牛頓力學裡的動量守恆定律搬到相對論力學裡來,這個定律肯定不具有洛倫茲協變性。那麼它就不是相對論力學裡的定律,也就是說相對論裡動量守恆不再成立。
但是,動量守恆定律這麼重要的東西,我們不能說放棄就放棄啊,那損失太大了。
理想的做法是:我們修改一下動量的定義。牛頓力學裡的動量是質量乘以速度,但是這樣定義的動量在相對論力學裡無法湊出動量守恆。所以我們就稍微改一下,讓修改之後的定律既能保持動量守恆的形式,又具有洛倫茲協變性,那我們就可以繼續在相對論裡愉快地使用動量守恆定律了。
也因此,很多力學量的定義,在牛頓力學和相對論力學裡是不一樣的。初學者搞明白這點,可以減少很多不必要的困擾。
25假裝的收尾
好,文章到這裡差不多就可以收尾了。
這篇文章的主題是相對論的誕生,在愛因斯坦把相對性原理和光速不變作為兩條基本假設,並且透過對時間的分析解決了兩者的矛盾以後,狹義相對論的建立工作基本上就完成了。
至於從這兩條基本假設出發,推出洛倫茲變換、尺縮鐘慢、新的速度疊加公式等在教材了佔了很大篇幅的東西,都是非常簡單的事情。一個訓練有素的物理專業本科生都能輕鬆完成這些工作。
這點我們從狹義相對論的創立時間表裡也能一窺一二:愛因斯坦花了10年時間思考狹義相對論,用了整整1年時間去協調相對性原理和光速不變。協調好以後,他僅僅用了5周的業餘時間就從兩個基本假設出發推出了那些結論,並發表了論文。
如果你覺得創立狹義相對論並沒有你想象的那麼困難,那是因為你低估了把相對性原理和光速不變同時列為基本假設所需要的智慧和勇氣。
所以,我整篇文章的核心,都是在告訴你為什麼愛因斯坦會堅信電磁理論也滿足相對性原理,以及他又是如何協調相對性原理和光速不變之間的矛盾的。
只有明白了這些,你才能真正明白愛因斯坦是如何創立狹義相對論的,其中的難點在哪,愛因斯坦的過人之處又在哪,為什麼其他科學家沒有這樣想。
也會明白無論多麼偉大的科學家提出多麼天才的理論,其背後都是有理可尋、有據可依,絕不是憑空拍腦袋就能想出來的。學習物理沒有捷徑,千萬不要以為即便沒有基礎,只要想到一個絕妙的點子就能揚名立萬,媲美愛因斯坦。
對長尾科技來說,再複雜的科學,也有簡單的邏輯。我幫你把它們背後的邏輯理都清楚,你就會覺得一切都很自然了~
至於如何從這兩個假設推出相對論的那些結論的,我就不在主線(後臺回覆“主線”可以檢視所有的主線文章)裡說了,公眾號後面開狹相支線再慢慢講吧。
26從歸納到演繹
此外,透過對愛因斯坦創立狹義相對論這段科學史的研究,我們也發現很多流行的觀點和看法是不對的。把今天的觀念和想法有意無意地加在歷史上,必然會出現各種問題。
比如,我們現在學習的理論裡沒有以太,很多人就覺得沒有以太是理所當然的,但事情遠沒有想象的那麼理所當然。
很多人以為邁克爾遜-莫雷實驗否定了以太,看了這篇文章,大家就會知道壓根就不是這麼回事。
別說邁克爾遜在做了這個實驗之後,他本人也只是否定了菲涅爾的部分曳引假說,從而轉向了斯托克斯的完全曳引假說。
就連對這個實驗研究了很久的洛倫茲,在提出了長度收縮假說以後,依然在堅定地使用以太。
科學家們在邁克爾遜-莫雷實驗出來很多年後,甚至在狹義相對論出來以後,都還在討論以太的各種問題,怎麼能說這個實驗否決了以太呢?
我們比較恰當的說法大概是:狹義相對論不需要以太,僅此而已。
我在文章裡也分析了,狹義相對論的建立跟邁克爾遜-莫雷實驗並沒有什麼直接的關係。這個實驗直接影響了洛倫茲,而洛倫茲1895年的論文部分影響了愛因斯坦,僅此而已。
與此同時,馬赫對絕對時空觀的批判,愛因斯坦對電磁感應現象的分析,光行差和斐索流水實驗都對狹義相對論的誕生產生了非常大的影響。
愛因斯坦主要是從協調牛頓力學和麥克斯韋電磁理論的角度思考相對論問題的,這裡佔主導地位的是演繹和思辨,邁克爾遜-莫雷實驗這種具體的實驗產生的影響倒是非常次要的。
愛因斯坦追求的是一種普遍性的自然法則,他在《自述》中寫到:漸漸地我對那種根據已知事實用構造性的努力去發現真實定律的可能性感到絕望了。我努力得越久,就越加失望,也越加相信,只有發現一個普遍形式的原理,才能使我們得到可靠的結果。
這段話說得非常直白了。像洛倫茲那樣試圖根據已知事實(邁克爾遜-莫雷實驗)去發展一套解釋它們的新理論,愛因斯坦對這種完全被實驗拖著鼻子走的歸納法感到絕望了。
然後,他就更加堅信,只有發現了像相對性原理和光速不變原理這樣普遍形式的原理。我們從這些可靠的原理出發,利用演繹法推導各種結論(就像歐幾里得從五個公設推出《幾何原本》裡那麼多命題一樣),才可能得到可靠的結果。
也就是說,愛因斯坦從歸納法走向了演繹法。
這可能也是愛因斯坦多次對外強調邁克爾遜-莫雷實驗對他創立狹義相對論影響不大的原因。因為他非常不想讓大家以為光速不變是從邁克爾遜-莫雷實驗歸納出來的,而他對這種歸納法早已絕望了,這點我們要特別注意。
此外,相信大家也明白了:只要認定麥克斯韋方程組滿足相對性原理,光速不變就是一個必然會出現的結論。而且,我們真正的困難也不是光速不變本身,而是如何協調光速不變和相對性原理之間的矛盾。
所以愛因斯坦要極力澄清這個事,不然大家對他透過先確定普遍形式的原理,然後透過演繹創立狹義相對論的方法論就完全會錯意了。
27奧林匹亞科學院
至於如何找到這種普遍形式的原理,可能就要靠思辨了。
這裡既有哲學上的思辨(比如馬赫從實證主義立場批判絕對空間和絕對運動),也有對實驗進行的邏輯分析(比如電磁感應現象並不是現有理論無法解釋,但是對它的分析卻能暴露出現有理論的內在邏輯問題),兼具哲學家的思辨能力和科學家的洞察力是愛因斯坦一個非常鮮明的特點。
大學剛畢業的時候,愛因斯坦跟幾個朋友建立了一個叫奧林匹亞科學院的學習小組。小組的成員有學習物理的,有學習哲學的,也有工程師。
他們一起閱讀大師們的著作,探討科學和哲學交界的問題。比如馬赫的《感覺的分析》、《力學史評》,龐加萊的《科學與假設》,休謨的《人性論》,斯賓諾莎的《倫理學》,穆勒的《邏輯學》,皮爾遜的《科學規範》等等。
奧林匹亞科學院的讀書活動持續了3年半(1902-1905),剛好就是愛因斯坦的研究生階段。
這一階段的活動對愛因斯坦創立狹義相對論產生了極為重要的影響:馬赫解放了愛因斯坦的思想,讓他敢於突破牛頓的絕對時空觀;龐加萊的非凡洞察力加速了他的相對論思想的形成;休謨關於因果律的批判,斯賓諾莎的唯理論思想都讓愛因斯坦逐步放棄讓人絕望的歸納法,轉而走向演繹法;跟不同領域朋友的深入討論也加速了相對論思想的形成,貝索更是唯一一個他在論文裡明文感謝的人。
正因為愛因斯坦這份非主流的“研究生”履歷,他思考相對論的方式和研究方法都跟其他物理學家不太一樣,這也是大家容易誤解愛因斯坦的一個原因。
愛因斯坦成名以後,很多記者跑來向他打聽童年的事。愛因斯坦說:“你們為什麼總喜歡問我童年怎麼樣,而不問我在奧林匹亞科學院怎麼樣呢?”
也因為如此,長尾君對愛因斯坦創立的奧林匹亞科學院非常神往,我建立長尾社群和知識星球也都是以此為宗旨。我也一樣對科學和哲學都非常感興趣,但自知水平有限,所以建立社群和星球跟大家一起共同學習。
現在的一個問題是:物理專業的朋友對哲學瞭解不多,學習哲學的朋友對20世紀以來的物理學也知之甚少,對話非常困難。
所以我們只能一邊學習物理學,一邊有組織地補哲學,希望以後也能研讀諸如《物理與哲學相遇在普朗克標度》這樣科學和哲學交界的書。也希望能儘可能多的影響下一代的中小學生,影響下一代的小愛因斯坦們。
另外,我在寫這篇文章時候,喜聞中科院的哲學研究所剛剛成立,哲學所將致力於探討現代科學的哲學基礎和當代科技前沿中的哲學問題。
白春禮院長說:“我們需要進一步深入反思科學技術的歷史發展規律,需要進一步深刻認識科學和哲學的關係。中國的科學發展要實現階段性跨越,就必須緊扣科學前沿中的基本問題進行開拓和創新,而不能只是在已建立的概念體系和研究路徑上跟蹤國際上的工作。為此,科學家必須提升自己的創造性思維的能力,其中哲學的學習和哲學思維訓練非常重要。”
白院長的話我非常贊同,理清科學的歷史發展規律,讓科學和哲學更好對話也是長尾科技正在做的事。愛因斯坦創立的奧林匹亞科學院,也主要是探討科學和哲學的交界問題。這一點,我相信大家看完文章之後會有更深的體會,因為愛因斯坦就是一個這樣的典範。
如果愛因斯坦沒有深入地學習馬赫,他能那麼堅定地拋棄牛頓的絕對時空觀麼?他能堅定地拋棄絕對運動麼?如果做不到這些,他又哪來的勇氣認定電磁理論必須滿足相對性原理呢?
如果做不到這些,那麼愛因斯坦最大的可能性就是跟著洛倫茲的路線,死磕邁克爾遜-莫雷實驗。也許他們最後可以從洛倫茲的經典電子論出發,也發展出一套可以解釋目前所有觀測現象的理論出來。
但是,可以想象,這套理論絕對會比狹義相對論複雜得多,麻煩的多。而且,如果沒有狹義相對論這種全新的綱領,廣義相對論的誕生可能就要遙遙無期了。
但凡學習物理的人,無不讚嘆廣義相對論的優美。如果我們現在學習的引力理論,是一套比標準模型還複雜得多的理論,你會不會覺得非常惋惜呢?
我經常聽到有人說“我相信宇宙規律應該是簡單而美的”,但是很多人並不知道要認識這種簡單和美是需要站在一定的高度來看的。
一幅油畫很美,但是如果你距離它非常非常近,你可能就只能看到油畫裡的斑斑點點,那就既不簡單也不美了。
同樣,想要認識和發現更加簡單和優美的物理定律,你就得對原來的理論認識得更加深刻,站在更高的高度去看它才行。而這種認知,對科學基本問題的深入思考,是需要哲學參與的,我想這也是白院長的那段話想表達的意思吧。
如果這篇文章能讓你對愛因斯坦創立狹義相對論的過程,對狹義相對論本身有更深層次的瞭解,那我的目的就達到了。
