問任何一個物理愛好者,什麼是量子力學?他們很可能會提到“薛定諤的貓”。接下來呢?則可能是薛定諤方程。但是這個方程究竟是什麼,為什麼它如此重要,以至於任何一個量子物理學家都會把它記在腦海中?1月7日,在第十八期《張朝陽的物理課》上,搜狐創始人、董事局主席兼CEO張朝陽在直播間再現薛定諤方程奇妙的發現過程,初步揭秘量子力學的核心理論。
複習經典物理波動方程 回顧德布羅意物質波公式
在直播間裡,張朝陽帶領大家簡單複習前兩節課的要點,並重點回顧經典力學中描述粒子和波的方式。在經典物理中,力的作用導致粒子運動狀態的改變,可以用牛頓第二定律來描述這個改變過程。粒子的運動狀態由位置和速度來表徵,力的作用會改變粒子的速度,從而改變其能量。而在量子力學中,粒子由波函式來描述。在此,張朝陽先向網友介紹了經典力學中對波的描述方式。以一維波為例,在經典力學中,波由相應的波動方程來描述:
![]()
它是向左傳播和向右傳播的波的疊加。以平面波為例,描述平面波的2個主要引數為圓頻率ω=2πf和波數k=2π/λ。其中λ為波長,f為頻率。
張朝陽帶著網友回顧德布羅意波的一些關係式:
如何猜出薛定諤方程? 求導和對照是關鍵
“我們努力地猜,當年薛定諤是怎麼想到這個方程的?他看到德布羅意的論文之後,意識到電子應該用波來描述,於是把電磁波的想法轉移過來,猜出了這個方程,最後居然是對的。”張朝陽像說故事一樣引出今天的主題。
德布羅意提出物質波的時候只是給出了波長和動量的關係,但是並沒有推導物質波如何演化。那麼,薛定諤是如何猜出這個方程的呢?直播過程中,張朝陽做了詳細生動的介紹。
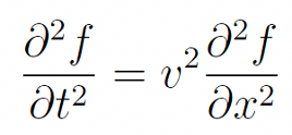
他在白板上寫下光電場分量的平面波形式:
![]()
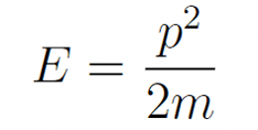
這就是薛定諤猜測的物質波的平面波形式。出於簡潔的需求,張朝陽先考慮了一維自由粒子的情況。其能量和動量滿足如下關係:
![]()
它在量子力學下是否依然滿足呢?薛定諤對此作出了勇敢的假設,認為這個關係在非相對論量子力學框架內依然成立。那怎樣在波函式上體現出這個關係呢?這就需要先將物質平面波中的動量和能量“取”出來。
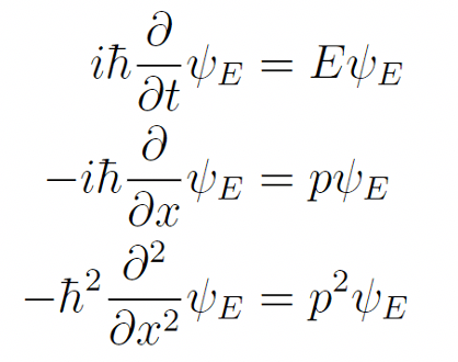
至此,張朝陽開始介紹求導得出動量和能量的方法。在平面波的式子中,動量和能量都出現在指數上,但是隻要我們對位置x和時間t求偏導數,相應的動量和能量不就下來了嗎?於是,張朝陽又展示瞭如下推導:
![]()
組合在一起就得到了有關這個平面波函式的方程。張朝陽強調,這個方程是線性偏微分方程,因此,它的各個解的線性組合,依然是原方程的解,這從形式上也符合量子力學的疊加原理。既然這個方程對平面波成立,而一般的波都可以看作是平面波的組合,那麼這個方程對一般的自由物質波也成立。這就得到了一維自由粒子的波動方程:
![]()
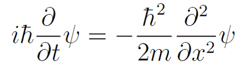
此時,張朝陽順勢介紹,當存在外部勢場時,能量將不僅包含粒子動能,還應當包含勢能:
![]()
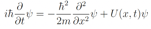
其中U(x,t)是勢能函式。結合前面的推導,就得到了著名的一維薛定諤方程:
張朝陽介紹,薛定諤方程不是推匯出來的,而是猜測出來的。它是非相對論量子力學的基本方程,具有公設性質。只有根據薛定諤方程計算出結果,與實驗結果一致,我們才能說這個理論是對的。他還解釋,薛定諤方程的左邊是對時間的一次導數,而右邊是對空間的二次導數,這一點很關鍵。且考慮到因子i的存在,波函式不像電磁場那樣是實函式,而是複函式。
統計詮釋和波包速度:波函式的物理意義
不過,即使薛定諤猜出了波動方程,也不知道這個波的物理意義是什麼。張朝陽由此引入量子力學的哥本哈根詮釋,也就是所謂的統計詮釋。
張朝陽介紹,“波函式的模方,表示的是粒子出現在相應位置的機率密度,根據這個機率密度,我們只需要對特定區域積分,就可以得到在該區域上發現粒子的機率。當我們得到粒子的波函式時,我們並不知道粒子具體在哪,我們得到的資訊僅僅是測量後粒子在各位置出現的機率。”他還進一步介紹波函式歸一化的概念。具體地來說,因為整個空間上發現粒子的機率是1,於是波函式的模方在整個空間上的積分就等於1。
此外,張朝陽還提到矩陣力學和波動力學的關係,他說,“它們就像一座高山上的兩條路徑”。換言之,矩陣力學和波動力學都是描述量子力學的正確方法,是相互等價的。
張朝陽再次演示,在量子力學中,粒子的速度不再等於ω/k,而應該等於相應的波的群速度dω/dk。根據張朝陽的計算,ω/k實際上等於v/2,為粒子速度的一半。如果使用群速度dω/dk來計算,則得到了正確的速度v。他解釋道,這是因為粒子在實際觀測中以波包的形式存在,群速度是描述整個波包的移動速度的,因此正好對應於粒子的速度;而ω/k是等相位點的移動速度,不代表粒子的運動速度。
“我們今天理解了薛定諤是怎麼猜到薛定諤方程的,也知道描述具有波粒二象性的微觀粒子的波函式。後面,我們只要解這個方程,就能把天下所有事情給它算出來。”直播尾聲,他回顧這一課的主要內容時說。同時他鼓勵網友,量子力學很難懂,“會用很多堂課來講。”據瞭解,下一講他將開始解薛定諤方程,來解釋氫的光譜,求一些波函式的定解,以及薛定諤方程的各種應用。
發力知識直播 傳播知識玩轉科學
自11月5日至今,《張朝陽的物理課》已直播十八期。在第一、二課中,張朝陽科普了“力”和“速度”,算出馬斯克的飛船和中國空間站每日繞地飛行圈數;第三、四課和“振動”相關,科普可見光的基本知識;第五、六課引發了關於音速和溫度的大討論;在第七、八、九課重溫經典力學的兩朵烏雲。
在第十、十一課中,他重點回顧黑體輻射曲線及其應用;第十二、十三、十四課嘗試進入愛因斯坦的思想世界,推匯出著名的公式“E=mc2”,並論證鐘慢尺縮效應;第十五課講解了原子的結構和原子核的衰變;第十六課意在討論光的波粒二象性,初探量子力學;第十七課著重探討了康普頓散射和海森堡不確定性原理;第十八課揭秘薛定諤方程和波函式。
從這十多期的物理課可以看出,《張朝陽的物理課》的直播風格獨樹一幟——透過觀察日常生活現象、用網友最熟悉的話題來提升興趣,再以公式推導的方式解釋其背後的物理原理,“透過現象看本質”,進而反過來解決生活中的類似問題。
張朝陽認為研究自然界是特別有意思的事情,他希望物理課的受眾能保有好奇心,“在好奇心驅使下,瞭解自然界的奧秘,瞭解我們在這個世界生存的道理”。在後續課程中,他還將繼續以這種直播風格解釋生活中常見的物理現象,讓普通人能夠聽懂、專業人士也能認可,激發科學學習的熱潮。該課程於每週週五、週日12時在搜狐影片直播。
除《張朝陽的物理課》外,搜狐影片也邀請多位通識教育播主,科普知識,傳遞價值。北京交通大學理學院教師陳徵博士玩起了“奇趣的科學實驗”,走進“光的波粒二象性”;康奈爾大學物理化學博士包坤,化身“包大人玩科學”,教普通人看懂2021年諾貝爾獎;還有天體物理博士劉博洋科普“日全食是怎麼產生的”等。未來,還將有更多知識播主入駐,一起玩轉科學。
來源:中國青年網
