本文搬運自本人業已停運的知乎賬號,釋出時略有改動
一提起豫中會戰,諸位的印象一定就是湯恩伯統帥的40萬國軍,在豫中地區面對不到10萬日軍,竟然不戰而逃,確實,筆者當年也聽過這樣的故事,對“湯桶”其人,更是恨得咬牙切齒;筆者後來有機會能夠接觸更多史籍,但在閱覽了不少此次會戰的相關資料之後,筆者的內心開始疑惑了:不是說湯軍團在與日軍作戰中望風披靡,潰不成軍嗎,為什麼在這些資料中,湯部的表現遠非宣傳的那麼不堪?今天,編者就把自己所收集到的相關資料做出臚列,諸君共鑑。首先我們來看看對陣雙方的序列:日方的參戰兵力斷然不止網文所說的5萬人,按照日方戰史《一號作戰之湖南會戰》的說法,一共動員了14.8萬人馬;但中方有關此役的相關資料(例如《抗日戰史》,《中國陸軍第三方面軍抗戰紀實》)中,多將日軍投入兵力寫作20萬;依筆者來看,這個數字如果是算上參戰偽軍的人數那麼這個資料就相對而言較為合理了。
中方的兵力,日方統計總人數為35萬人,實際兵力在31萬左右,這其中又分為豫西的蔣鼎文集團14萬人和豫中的湯恩伯集團17萬人(《陳誠先生回憶錄》);蔣負責隴海路沿線防務,湯負責平漢路沿線防務。我們不再提及蔣鼎文部,專門說道說道湯恩伯;湯兵團自1940年夏棗宜會戰落幕以後移駐豫中地區的四年光景曾收編了形形色色的遊雜武裝,這些武裝普遍存在虛報兵員的現象,據第31集團軍總司令王仲廉回憶此種情形十分嚴重;通常情況下一支地方武裝改編而成的遊擊縱隊最多一千來號人,湯司令四年以來共計收編了58支地方上的遊雜部隊,竟然統計出兵員達27萬的資料,這不免有些荒誕:會戰之前何應欽做的軍事統計上的報告來看,全國各地,共計有敵後遊擊部隊27萬左右;這樣一進行比對,湯司令真有足以收編數量如此龐大的雜色武裝的實力,那陸軍總參謀長的職務不讓湯司令來做委實是屈才了。
![]()
苟吉堂《中國陸軍第三方面軍抗戰紀實》湯兵團在此次作戰中的作戰序列,筆者預計總人數在14萬人左右
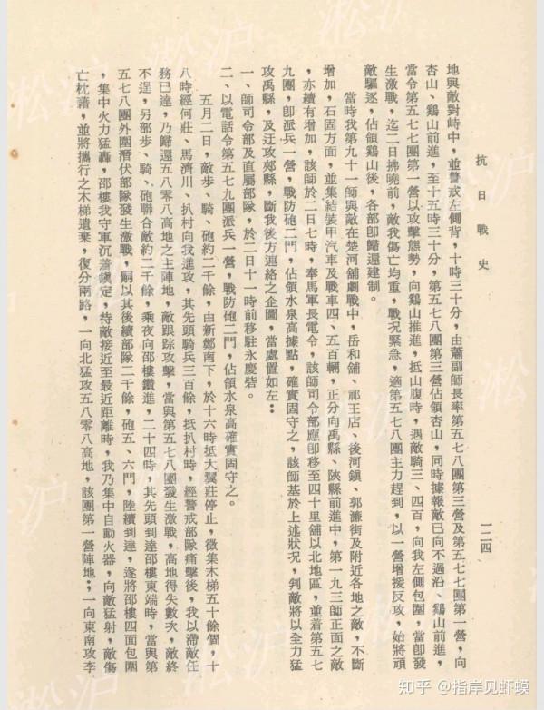
會戰爆發前一天的4月16日深夜,參戰日軍主力部隊開始向黃河南岸秘密渡河準備大舉進犯;17日凌晨,集結於開封的日軍第37師團225聯隊以一部先頭部隊向中牟以南方面發起試探性攻擊並企圖渡河時,遭遇了暫編第15軍暫27師的堅決抵抗,阻滯了該部日軍前進的腳步兩個晝夜;儘管日軍對中牟一帶中國軍隊發動的攻勢進展速度不快,但是暫27師畢竟屬於新編部隊,沒有經歷過什麼大陣仗,況且裝備較之於中央軍嫡系部隊,又十分寒酸,戰鬥力尚未完備;對當面之敵發動了幾次反擊,雖然取得了一定戰果,在緒張村附近重創了敵人一箇中隊,但始終未能驅逐該股渡河之敵;而中牟以南的黃河灘塗亦非敵軍此戰的主攻方向,投入部隊沒有足以殲滅這個雜牌師的實力,因而雙方陷入對峙態勢中;就在中牟以南雙方部隊發生纏鬥的同時,駐紮於霸王城的敵第110師團163聯隊以兩個步兵大隊和炮兵大隊從霸王城向駐守邙山頭漢王城高地的中國軍隊發起了猛攻,守軍預備第11師第31團第1營與敵軍在漢王城核心防禦的右翼幾處警戒陣地展開激烈的爭奪;由於該營的編製成員多系沒上過戰場的新兵,部隊擺開的陣型很快就被敵軍衝亂,苦苦支撐10個小時後,漢王城高地終告不守,營長王鑫昌決定率部撤向炮兵觀測點摩旗嶺高地繼續抵抗,然而日軍並沒有予以中國軍隊喘息的機會,敵軍在佔領漢王城高地之後,以迅雷不及掩耳之勢迂廻至該部側後控制了王營撤向摩旗嶺的必經之地張溝,王鑫昌不得不命令部隊一邊抵抗一邊向黃河灘上退去;日軍趁勢步步緊逼,這時突圍基本沒有可能,而身後就是浩蕩黃河,已經無路可退,怎麼辦?官兵們憤慨於敵軍平日來的暴行,因為不願意受到俘虜而紛紛投入了滾滾黃流,也有小股部隊突圍成功,抵達摩旗嶺高地後繼續依託工事與敵軍頑強作戰,直至20日凌晨3時,邙山頭河防部隊自營長王鑫昌以下354名官兵全部陣亡,日軍第163聯隊以陣亡14人的代價完全佔領了邙山頭高地;預11師以33團主力反擊入侵此處之敵並突入摩旗嶺高地一部,但敵立穩腳跟之後遂大舉向我反撲,終以後繼無力,國軍未能確實佔領該處以求擴大戰果;日軍則始終控制在摩旗嶺上,為日後敵軍大部隊以此為基點撕裂黃河南岸的國軍防線埋下伏筆。
![]()
《一號作戰之河南會戰》中描寫到日軍與暫27師交火之後的情況,並予以該部“鬥志旺盛”的評價
國防部史政編譯局《抗日戰史》中牟河防戰鬥之示意圖
擊潰擔負鄭州附近河防的中國軍隊完全控制邙山頭制高點之後,敵第62師團及110師團開始大規模南侵,與繞過暫27師正面防線的37師團第227聯隊及獨立混成第7旅團取得聯絡後協同繼續推進,對鄭州採取了包圍態勢,企圖殲滅鄭州中牟間之我作戰各部;鄭州附近計有我第85軍之預備11師、第110師、第78軍之新編42師以及泛東挺進軍暫編第一旅等部隊,分於鄭州以東各據點頑強阻擊敵軍的進攻兩個晝夜,110師第330團還消滅了敵軍鄭州挺進隊一箇中隊並繳獲聯隊炮一門;但這時敵人的第一先遣隊已經在當地漢奸的帶領下秘密地越過守軍的防線於19日凌晨突然襲擊佔領了鄭州車站並衝入城中一隅與守軍暫1旅的一個營對峙;得知鄭州已經遭到敵人的夾擊,湯恩伯當即命令鄭州附近除守城的一個營以及防守花園以東一帶的110師的一個加強連之外其餘各部主力向密縣、新鄭之間的山地轉進;21日下午3時,敵主力從西、北兩側向鄭州市區發起總攻,這次慘烈的戰鬥中,陳詩伯營長與110師的加強連全部壯烈殉國,戰鬥一直持續至23日凌晨,鄭州守軍接到撤退命令經曹窪向南突圍;4月20日晚上20時,蘆館附近賈魯河右岸之敵獨立第7旅團一部渡河南下,於21日午前11時擊敗了泛東挺進軍一部的阻擊,下午該部繼續西進佔領洧川縣城,次日又折至東南方佔據了南席;中牟附近敵偽一部3000餘人經黃店街、韓佐鎮南下,於21日凌晨開始攻擊新鄭縣城,在敵人的熾烈炮火下,東南城牆在上午8時左右被突破,城防部隊新42師125團寡不敵眾,於午前撤至辛店集結隊伍,新鄭這座千年古縣就此落入敵手,雙洎河南岸的土橋砦陣地亦在這一天下午18時被敵突破,堅守此處的第124團官兵傷亡近半。
鄭州已失,堅守中牟以南河防已經沒有多大意義,22日夜裡,劉昌義率領暫27師脫離戰鬥,從敵軍在新鄭到花園村將近8公里的防禦空隙中突圍,向許昌外圍之和尚橋轉進;鄭州、新鄭相繼陷落後,第37師團主力沿平漢鐵路、110師團經滎陽以南之山地繼續進攻密縣(今新密市);19日,密縣守軍第23師一個加強連在觀音堂發現敵蹤,與敵戰車第3師團的先遣部隊發生前哨戰,經過一個晝夜的戰鬥後,該部撤至官夫橋附近繼續阻敵;敵人先調來一個炮兵中隊向官夫橋陣地瘋狂傾瀉炮彈,之後乘勢攻下該高地並阻止了第23師一部的反擊,爾後第110聯隊進攻密縣東郊的五里店據點時遭到第23師的頑強抵抗,與正面的中國軍隊對峙至縣城攻擊開始之前。
![]()
張文心《中原抗戰親歷記 密縣血戰五晝夜》第23師與日軍在觀音堂交火情況
張文心《中原抗戰親歷記 密縣血戰五晝夜》第23師與日軍在觀音堂交火情況
4月21日,日軍再犯密縣以南的超化集,守軍據寨堅守,雙方傷亡均重;對峙數小時,守軍考慮到側翼郭店、新鄭一帶敵軍麇集,若採取迂廻行動則將對縣城附近的主力部隊產生嚴重威脅,因而決定放棄超化寨的前哨陣地撤往五里店正面繼續與敵保持接觸。
激戰至23日,敵軍集結了第110師團主力及第37師團之225聯隊步炮10000餘人,依靠第5航空軍的空中掩護向密縣城發起了總攻;第23師堅持抵抗兩個晝夜,終究難支敵人的空中力量及火炮武器兩方面的優勢,傷亡慘重;這一戰是23師師長張文心調轉軍職以來首次指揮一線部隊作戰,面對來勢洶洶的敵軍大部隊,張文心對於防守這座豫中小城的決心發生了動搖,於是當天率部放棄密縣城向登封以東的白沙、告成進行轉移,敵軍隨即進入密縣城;在密縣陷敵的第二天(24日),沿著密(縣)登(封)公路繼續西犯的第225聯隊一部突破景店、馬鳴寺一帶第110師的陣地進至登封東郊中嶽廟時遭到湯軍精銳第13軍第4師的迅猛還擊,不斷衝上湯軍陣地試圖撕開一道口子的敵人在湯軍迫擊炮的密集轟擊之下損失慘重,不得已竄回月臺、牛店附近轉取守勢;湯恩伯得知當面之敵業已敗退,準備以密縣做為目標對敵展開反擊,於是命令登封當面第13軍以第4師、第89師與禹縣附近第85軍的暫編16師向盤踞密縣之敵6000餘人發動了一次陣勢不小的反攻戰,迫使企圖西進的第110師團放棄密登公路兩側的馬鳴寺、超化集、大隗鎮等數處前進據點,收縮於牛店、縣城等地採取守勢;遺憾的是,第13軍自此之後續攻沒能再有更大進展,雖然該軍的裝備在華北國軍之中已然位列翹楚,但其持有攻堅武器與投入湘桂作戰的第四、第九戰區各部隊甚至是參與本次會戰的老雜牌第12軍一進行比較都顯得遜色不少,致使此次反攻密縣的軍事行動遭遇了失敗;爾後密縣以東一帶的敵第37師團一部向仍然據有城郊多個據點的第13軍增援反撲,之後的一個禮拜裡雙方的部隊互有進退,形成對峙;殊不知,密登公路沿線的敵軍集結,實際是岡村寧次為了迷惑湯恩伯而釋放出的一個煙幕彈;真正的厄運,才正準備要降臨到中國軍隊的頭上......
正當兩軍在密縣附近對峙其時,日軍決定使出殺手鐧——戰車部隊,這是成建制的機械化部隊首次投入中國戰場,而日軍動用這樣一支部隊的目標只有一個——消滅湯恩伯的主力部隊;而日軍第12軍司令部認為,迅速拿下許昌,就有機會殲滅湯部主力;日軍的戰略眼光確實很敏銳,許昌這個交通節點一旦被卡住,湯軍主力就會像被磁鐵吸附一般牢牢控制在日軍手中,隨時都有被圍殲的危險。因此,日軍在密登公路方面只部署了一個第110師團,而許昌,才是日軍真正要取得的平漢路上之重要一點。
許昌守軍是暫15軍的新編第29師,師長呂公良上校(職銜是中將)是官校六期生,湯的心腹愛將,正是因為湯看重他的能力,故將他的部隊佈置在平漢鐵路沿線重鎮許昌附近。
23日晚11時,許昌外圍的和尚橋(今長葛市區)首先燃起了戰火,敵第37師團之226聯隊第2大隊向不久前從新鄭附近轉移至此的暫編27師第79團以及新編29師第86團發起了猛攻,守軍依託村莊與敵激戰一夜,終究因實力懸殊,傷亡綦重而放棄了該處防務,24日凌晨2時,敵軍完全佔領和尚橋並繼續南下佔領許昌以北各個重要據點;清晨6時,敵227聯隊第2大隊擊潰泛東挺進軍第一縱隊攻佔長葛縣城(今老城鎮),向許昌的中國軍隊南側進行迂迴。
文史資料《中原抗戰親歷記》4月23日和尚橋戰鬥之經過
![]()
亞細亞歷史資料中心第37師團作戰經過詳報作戰第1期先遣隊和尚橋附近戰鬥經過概要圖
4月28日,集結於新鄭、密縣附近的第27、62、戰車第3師團、獨立混成第7旅團也分成多路開進;敵軍集結了三個師團約3萬兵力,兵鋒直指許昌;這座歷史文化名城,眼下正處於四面被圍的危險境地......
面對倍蓰於己的敵人,新29師3000餘名將士並沒有怯戰退縮,陣地上的每一個官兵都抱著和許昌共存亡的決心與具有壓倒性優勢敵人展開殊死的較量。
29日夜,敵軍首先向城北守軍的俎莊前進陣地攻擊,未料踏入守軍事先埋設於此的地雷陣中付出了20餘名士兵性命的代價,慘烈的許昌城防爭奪戰就此拉開帷幕......
![]()
張訪朋 文史資料《中原抗戰親歷記 浴血許昌城》許昌城郊戰鬥經過
![]()
張訪朋 文史資料《中原抗戰親歷記 浴血許昌城》許昌城郊戰鬥經過
![]()
張訪朋 文史資料《中原抗戰親歷記 浴血許昌城》許昌市街戰鬥經過
在敵人兵分多路大軍圍攻許昌的同時,第62師團卻接到了第12軍司令部的命令,脫離了許昌方向的作戰,繞過該處繼續向西方山地進軍,攻取禹縣(今禹州市);該部進至潁橋鎮時與奉命馳援許昌的中國軍隊第89軍第20師撞了個正著;雙方針對這一區域,很快就展開了一場血戰;4月30日,敵軍主力進攻潁橋,守軍憑藉城寨,集中所有的輕重火力向攻城敵軍猛射,敵軍在一陣猛烈的彈雨洗禮之中損失慘重,攻勢一度陷入了停滯狀態;步兵攻擊受挫的敵軍集中了炮兵部隊的大小火炮數十門一齊向潁橋城內的守軍陣地狂轟濫炸,整個潁橋鎮頓時火光四起,塵土飛揚;很快,敵人的兇猛炮火就壓制住了守軍火力,其步兵也趁勢衝入了潁橋城內和守軍展開巷戰,拼死不退的中國軍隊逐院逐街和敵人進行殘酷的肉搏,突入城內的敵人始終未能擴大戰果;面對完全劣勢的重慶軍交戰10多個小時竟未能拿下一個小小的潁橋鎮;第62師團師團長本鄉義夫氣急敗壞,為了及時進入軍司令部指定的攻擊位置,他命令部隊不惜損傷向潁橋城寨再度發起了猛烈的衝擊;這一次敵軍的增援部隊很快就攻進潁橋寨中,奮戰一個晝夜的守軍部隊傷亡很大,其實力根本不足以將突入城內的敵人肅清,只能依託城內的一些房屋繼續抵抗,5月1日凌晨0點,潁橋寨中的中國軍隊奉命向襄城附近轉移,敵軍最終以付出傷亡五名尉官(亡3傷2)的代價佔據了此地。
是時,許昌城的戰況亦不容樂觀:30日許昌守軍在西關的英美菸草公司、教會醫院和南門外思故臺以及城東南的塔灣等陣地對敵人進行了頑強抗擊,戰鬥至為激烈,自晨6時起的10個小時以內,敵軍的北門攻擊隊向城北守軍發起了多次進攻卻始終無法突破這一地區,攻勢一度處於停滯狀態; 而當天下午14時左右,南關陣地在敵南門攻擊隊的炮火覆蓋下最終失守,北路受挫的敵軍將攻城的重點轉向西、南兩個方面並依靠敵機的空中掩護於傍晚17時再度向許昌城發起猛撲,在敵人機炮的狂轟濫炸之中,西門外的城牆很快呈現出幾處缺口,進攻西門的敵人派出一支30人的敢死隊,向守軍陣地前方投擲煙幕彈強渡護城河爬上城牆,與此處的守軍一個營展開巷戰,戰至晚19時左右,頑強阻擊的西門守軍盡數犧牲,西門陣地失陷,位於城東南的塔灣陣地也已經被敵攻佔,塔灣失守後守軍投入了一個連的兵力進行反攻,但是投入兵力有限,沒能取得實質性的效果;更為不幸的是,日軍在戰事趨向白熱化的時候,再度向許昌城投入了戰車第3師團的戰車第13聯隊和機步第3聯隊一部,迫使新29師不斷地收縮陣線,守軍官兵們雖對敵軍的戰車部隊拼死攔截,但敵軍最終還是憑藉著強大的機動力,突破了守軍的南門防線,衝進了許昌城內;面對從西、南兩座城門不斷湧向城裡的敵軍,守軍已經無法支援陣線,而援軍已在不久之前被潁橋鎮附近的敵人猛攻所驅退,許昌已是一個不可能盤活的死局;5月1日凌晨2時,呂公良下令守城部隊從東門向南面突圍;新29師在棄城突圍的過程當中,師長呂公良遭受日軍襲擊,身負重傷而不治,以身殉國;副師長黃永淮被敵俘虜而不肯苟全,英勇就義;全師3000多名官兵傷亡殆盡,許昌陷落......
日方宣稱在此戰中的陣亡人數是整個京漢作戰中資料第二高的(傷亡資料第一高的是洛陽戰役,斃傷敵軍361人,然而洛陽守軍作為中央軍,擁有不少重武器,許昌守軍僅有幾挺重機槍和數門迫擊炮,相比之下,這個戰績已經算相當可觀的了)。新編29師是先前不久才從地方上的警備隊升格為正規野戰部隊的,其裝備與兵員素質同中央軍嫡系部隊較之尚不能望其項背,和敵人的攻城大軍相對比則更是不可同日而語;儘管弱勢如此,該部官兵面對兇殘的日本侵略者,還是用鮮血踐行了與這座城市共同存亡的誓詞,使得日軍聞之起敬,新29師是雖敗猶榮的!
在許昌戰鬥結束後,日軍第62師團對禹縣(今禹州市)的攻勢,也正式拉開了帷幕;奉命駐守該地的第29軍與東、南、北三路圍來的敵軍部隊爆發激戰,該軍作為湯恩伯部隊的核心戰力之一,這次戰鬥的戰果卻不甚理想;5月2日晚20時,第63旅團的三個大隊對第29軍在禹縣西南的重要據點三峰山發動了進攻;這座曾因七百年前蒙金大戰而名載史牒的山峰,只經過4個小時的戰鬥,負責守備該地的第91師就被敵人的一箇中隊擊潰並驅逐;馬勵武得知三峰山陣地輕易棄守,不由驚出一身冷汗,當即責令第91師投入主力向敵反擊,結果是該師屢以優勢兵力對三峰山之敵發動逆襲均未重新佔領陣地,反而再度遇到敵軍小股部隊的滲透被打得潰不成軍;此時從北面攻擊的敵獨立步兵第12大隊則陷入了與第193師(欠第577團)的纏鬥之中,該師官兵依託村莊房屋節節抵抗,使得北路的日軍每向前推進一步都須付出沉重的代價;而禹城北面展開激戰的同時,從南面圍來的敵第63、64旅團,已經形成了對禹縣自東南迄西南方向的包圍;5月3日上午7時,敵第64旅團開始向禹縣城牆攻擊,9時半攻抵城門並向東關守軍陣地發起了兩次衝擊,均遭守城的第193師577團與地方部隊擊退;當天下午14時,敵軍依仗猛烈的炮火覆蓋突破東關攻進城內並擊退守軍的幾次反擊,佔據了城關大部,在與突入城內的敵人混戰之中,守軍577團副團長劉一山陣亡,縣長兼地方部隊指揮侯慕彝負傷;經過一個多小時的激烈巷戰,禹縣守軍已告傷亡殆盡,無力再驅逐入侵之敵,下午16時,馬勵武下令作戰部隊放棄禹縣防務向嵩山方面突圍,縣城落入敵手;第29軍之後在向嵩山轉進的過程中屢遭敵人小股部隊的迂廻穿插導致損失慘重;擔負掩護軍部轉移任務的91師,遭到敵第63旅團的截擊幾至全軍潰散,致使軍長馬勵武一度陷入敵軍重圍之中,憑著警衛部隊拼死掩護才得以突出;而與軍部分途突圍的193師則遭到偽軍孫良誠部的包圍一度失卻抵抗能力,孫良誠並非不識時務之人,仗已經打到這個份上了委實沒有去找國軍麻煩自討苦吃的必要,於是下令所部撤走包圍,這個師才得以繼續西撤轉入嵩山;中原會戰結束之後,因為第29軍在禹縣附近對敵作戰表現慘不忍睹,軍委會決定撤去馬勵武該軍軍長的職務,並將第91師少將師長全瑛降職為上校團長。
另一方面,奉命南下攻取郾城的敵第27師團及37師團之227聯隊,於5月2日攻佔了臨潁縣城,4日兵分兩路,一部進攻郾城;一部渡過沙河,向漯河寨發起攻擊,負責郾城及漯河地區防務的是13軍臨時調隸第89軍的新編第1師和何柱國第15集團軍的騎兵第3師。
作為東北軍餘脈的騎3師戰鬥力雖差,但多年來腳底抹油的本事卻未曾露怯;敵軍第一輪炮擊尚未開始,該師就放棄郾城以北䩐勒橋附近警戒陣地向東潰逃;這一跑,新1師的側背就完全暴露在了敵人的眼前。
新1師作為從華北國軍頭號精銳第13軍中經過血與火的淬鍊洗禮中誕生的隊伍,自然不能辱沒湯司令的名聲;地處無險可守的黃淮平原之上,新1師官兵於郾城郊外的五里廟、黑龍潭等處與優勢敵軍血戰兩個晝夜,使得敵人在戰史叢書上記下了關於這支部隊的鄭重一筆;5月5日凌晨,敵227聯隊突破了城關防線衝入郾城與守軍巷戰,戰鬥之中陣亡一名中隊長,損失甚重;但是敵人終究還是在城中站穩了腳跟,後續部隊得而源源不斷湧進郾城;下午13時,新1師部隊撤出郾城縣城,敵軍當即攻佔該城。
![]()
日方戰史叢書系列《一號作戰之河南會戰》中5月4日郾城漯河戰況
郾城失守之後,敵第27師團支駐第2聯隊繼續攻擊漯河守軍之姬屋、乾河陳前進陣地,第1、第3聯隊攻向漯河寨核心陣地,守軍憑藉於附近工事進行激烈抵抗數小時,而漯河敵軍在進攻中蒙受一定傷亡之後,發現守軍據點中明顯的視線死角並充分利用這一點搭設人梯靠近並摧毀守軍工事,繼而突破漯河寨的外側防線;戰至當天下午16時,漯河終告失陷,第89軍軍長顧錫九率領所部往漯河以南的舞陽突圍。
平漢路上敵戰車第3師團攻佔許昌之後集結於禹縣以東10公里處的楚河舖一帶,5月2日午時該部執行軍司令部的命令繼續向郟縣突進;郟縣守軍系第12軍的第81師,這次郟縣城的戰鬥,這支曾以不亞於中央軍的拼刺技術給敵軍造成不小心理陰影並被判定為戰鬥力甲下的西北軍勁旅並沒有再續三年前鄭州戰役的輝煌歷史;師長葛開祥與湯恩伯素來意見不合,葛認為湯有意消耗雜牌部隊的實力,因而面對敵軍的猛攻並未做堅守郟縣之打算,該師經過和敵軍幾個小時的接火之後即在當日夜裡匆匆放棄了郟縣城沿洛葉公路向南退卻(戰後軍事委員會統計中原會戰作戰各部損失,經調查發現81師此戰傷亡官兵892員,這個師儲存實力的跡象可見一斑)。
攻下郟縣的戰車第3師團並未在此地多做停留,而是繼續攻擊汝州城(當時叫臨汝縣城),沿著公路急速挺進的戰車部隊,當晚就進抵臨汝城郊;而在密登公路沿線,前不久才打退日軍進攻的第13軍得知敵軍機動部隊已經開到了汝州城下隨時可能發起進攻的訊息,不由大吃一驚;湯恩伯認為汝州一旦失陷,敵軍對嵩山地區守軍主力的包圍網即告成型,這時部隊再不轉移,那麼就有可能要面臨全軍覆沒的風險;4日天一早,第13軍主力(欠第117師)和第八戰區趕赴增援的第9軍交接防務後迅速向汝州方面轉進增援;隨之密登公路方面敵第110師團開始向登封前進,於5日間攻向告成、白沙,與第13軍第117師及85軍第110師經激戰將之擊退,次日凌晨與登封守軍第54師激戰,於晨10時攻佔登封縣城;而轉進途中的第13軍幾度與敵戰車追擊部隊遭遇,武器兵員略有損失。
與此同時,在汝州城附近,雙方也展開了激烈交戰;城裡的守軍是第八戰區序列暫編第4軍派來臨時調防並歸屬85軍指揮的47師,而該師並沒有配備可以對付敵人“鐵王八”的重武器,該師師長楊蔚向軍部申請先前調出的炮兵歸建支援的請求亦遭到了回絕,所以此地的防守任務頗為艱辛:敵軍戰車從平坦的公路之間向汝州城橫衝直撞而來,難免給輕裝上陣的守軍官兵們帶來極大的精神壓力;面對20餘輛九七改中戰車及九五輕戰車的進攻,裝備懸殊的47師在城郊的蘇樓、張魯莊等前進陣地以及東、西兩處城關激戰十多個小時並多次對敵發起逆襲,傷亡慘重;而敵人依靠著戰車機動力快速穿插於城郊各據點並向守軍形成三面夾擊之勢,奉命協防於汝州東北風穴寺附近的110師曾在敵軍部隊突破東關時向47師守城部隊提供炮火支援並一度擊毀了敵人的一輛戰車,但對於城裡漸趨惡化的戰況稱不上有何裨益;4日上午10時半,汝州城最終還是淪於敵人的鐵蹄之下,負責周邊防務的47師與110師各部向汝河南岸的蟒川、半扎一帶轉進,而計劃增援汝州的第13軍主力得知汝州失陷的訊息立刻停止前進,逡巡於嵩山之中俟機突圍。
國防部史政編譯局《抗日戰史》臨汝城防戰鬥經過
幸運的是,因為戰車3師團搜尋隊隊長福島甚三郎的好大喜功,湯部主力尋得一個突圍的機會:敵人的戰車部隊的挺進速度太快,主力已於當晚開向伊河南岸並準備進攻洛陽南郊的龍門,伊川東南方的白沙附近是其防線的薄弱之處,並未放置多少兵力來阻止守軍的突圍,於是湯恩伯選擇在當天深夜22時命令第31集團軍以第29軍向集結禹縣西北的文殊店、方山鎮一帶的敵第62師團發動佯攻掩護主力部隊突圍,其餘部隊則藉夜幕之便越過白沙附近的洛(陽)葉(縣)公路繼續向汝河南岸的伏牛山區轉進;事實證明,這確實是明智之舉,這個決定使得湯集團保留了來年參與桂柳反攻的中堅力量,重創敵第11軍並收復桂林、梧州等城市,這些都是後話了。
得知湯兵團主力已經跳出了其事先預設好的包圍網的敵第12軍司令官內山英太郎再度下令作戰各部向伊洛河谷繼續追擊湯兵團,尋機掃蕩該部主力;第37師團主力於9日晚18時渡過汝河佔領蟒川、半扎,爾後經臨汝以北的長埠街、東趙落攻向伊陽(今汝陽縣)、嵩縣,10日午後與守軍第85軍110師的一個營在伊川西南的鳴皋鎮當面交戰的同時向該地以南的古城、田湖迂迴,於11日當天佔領鳴皋鎮及嵩縣城;禹縣、登封一帶山區的第62、110師團亦於5月10日始,自潁陽、水寨等地向駐防宜陽附近洛河兩岸的第13軍第117師及從靈寶趕來增援的第106師開始進攻,14日晨9時30分敵第62師團獨立步兵第14大隊進攻洛河南岸的宜陽縣城,10時30分佔領該城東關,中午12時左右攀入東城牆與守軍117師351團500多人冒雨進行了近5個小時的巷戰,17時左右,城內守軍透過預先構築的坑道工事撤出城外,宜陽縣城失守;與該城只有一河之隔的第106師段村陣地則在第110聯隊的猛烈攻擊下於15日夜裡不守。
國防部史政編譯局《抗日戰史》湯恩伯兵團突圍情形
戰事延伸至5月末,豫西地區的中國軍隊兵敗如山倒,隴海鐵路上的重鎮洛陽、陝州相繼失陷,此時因中原戰事失利而急於緩解輿論攻擊的蔣介石向湯恩伯下令策應陝州方面的攻擊部隊,以該部主力向洛陽之敵進行反攻;湯氏奉命之後,即令集結於欒川附近待命的第13軍以第4師、第89師向嵩縣周邊敵軍展開進攻,於29日擊破了敵軍位於嵩縣以西的大章、橋頭警戒陣地並迅速進展至嵩縣城郊;30日晨,第89師猛攻嵩縣城垣,當日入夜,敵人在第89師官兵不計妨害的衝擊之下潰逃出城,退往城北的田湖一帶頑抗;6月4日,盤踞伊川、鳴皋鎮附近步炮之敵1000餘人沿著洛(陽)嵩(縣)公路陸續趕來支援,第13軍經過多日苦戰,部隊頗有傷亡,被迫撤出嵩縣城,爾後魯山、嵩縣之敵集結3000餘眾分多路經大章、車村向伊洛河谷之間的第13軍主力進行掃蕩,兩軍在舊縣、黑峪等地周旋近二十天後,第13軍奉命脫離戰鬥,轉進西峽口附近進行整訓;在89師反攻嵩縣的戰鬥當中,第266團2營營長吳憲樾(陸軍軍官學校第十五期生)壯烈犧牲。
![]()
湯恩伯電蔣中正八十九師三十日猛攻佔據嵩縣之殘敵並佔領該地敵增援反撲該師被迫撤出
![]()
方耀 文史資料《中原抗戰親歷記 參加中原會戰的第十三軍》89師反攻嵩縣戰鬥之經過
![]()
方耀 文史資料《中原抗戰親歷記 參加中原會戰的第十三軍》89師反攻嵩縣戰鬥之經過
![]()
《抗日戰史》5月下旬第89師反攻嵩縣之戰況 國防部史政編譯局《抗日戰史》第89師反攻嵩縣之戰況
與此同時,李仙洲的第28集團軍對5月上旬侵入魯山、寶豐一帶的敵軍發動了攻勢,收復下湯、滍陽等重要據點,期間一度突入兩座縣城並佔領魯山城關的三分之二,後來因為漯河、西平一帶的敵援不斷向當面開來,不得不放棄反攻獲得的戰果,與敵對峙於魯山以南的四棵樹、李青店等地;6月5日凌晨,自大營、寶豐附近南下的第37師團第226聯隊渡過沙河攻陷葉縣城,禹縣、襄城一帶的騎兵第4旅團則於9日拂曉侵入舞陽縣城,到此為止這個方向兩軍對壘的形勢逐漸歸於沉寂。
![]()
國防部史政編譯局《抗日戰史》第28集團軍反攻魯山寶豐作戰經過要圖
6月17日,敵第12軍司令部鑑於已與南面第11軍宮下兵團會合並將平漢鐵路全線貫通的狀況,命令漯河、郾城附近集中的獨混第7旅團掃蕩黃泛區以東中國軍隊何柱國第15、陳大慶第19集團軍並確保漯河以東、淮陽以南附近要地以求消弭側翼的中國軍隊給平漢交通予以的威脅;該方面集結了步騎之敵1200餘眾經逍遙、譚莊等地向周家口、商水分途進犯;18日下午16時,敵人突破第15集團軍泛東挺進軍一部的阻擊侵佔商水縣城並自沙河兩岸迫近周家口;戰事發展至此,敵人的行動看似一切順利,而當日入夜,暫編第9軍的111師卻趁敵不備夜襲商水縣城,駐守城內的敵兵被該師突如其來的反擊打了個措手不及,於深夜22時棄城東竄,111師克復商水縣城。
這股敵軍並不甘心失敗,遂於20日夜裡與東面已於19日間擊敗周家口地方部隊並佔據當地的另一路敵軍會合,再次進攻商水縣城;守軍與攻城之敵展開激烈戰鬥,期間敵偽軍兩度攻佔城東城南各據點,均遭到守軍擊退;111師堅守商水一個晝夜後,漯河方面集結敵偽步騎600餘人、汽車十數輛並攜炮數門經冷飯店、譚莊等地開來增援,攻城的敵偽軍兵力增至1800餘人;守軍在孤立無援的情況下於22日下午13時突圍出城,商水縣城再度落入敵手。
![]()
何柱國電蔣中正稱一一一師商水之役斃傷敵偽軍七百餘我營長一員傷重殞命敵經此役放棄原定進攻界首企圖
此役雙方相關戰史記載甚少且各種說法出入不小,李培基和何柱國等人發給蔣介石的電報稱商水之役斃敵400餘,傷敵300餘,自損200餘;第15集團軍的戰鬥總結要報之中的說法是斃傷敵軍300餘人,自損400餘人;日方史料則更是放言第12軍以2000不到之兵力一掃黃泛以東,擊敗集結於淮陽、太康附近的重慶軍第15集團軍一萬餘人,筆者對此有些不解:既然中國軍隊如此不堪一擊,那這一座小小的商水縣城,何以讓一個月前在平漢線上勢如破竹的日本軍隊卻步不前三個晝夜,這未免有些令人難以信服吧?無論如何,筆者對此役的雙方傷亡數字不準備採信日方的有關戰報。
豫中會戰從軍令部敲定了第1戰區應在平漢路沿線作逐點固守的作戰方針時,就已經造成了中原戰事的破敗格局:當時沒有人會料到日軍會孤注一擲發動這樣一次象徵意義大於實際的大規模攻勢;儘管如此,湯恩伯部隊並沒有因為面對裝備火力佔有絕對優勢的敵軍的侵犯選擇“十四萬人齊卸甲”,而是同兇殘的日本侵略軍進行了頑強的抗爭與逆襲,期間湧現出了諸如王鑫昌、呂公良、曹和光、吳憲樾等愛國官兵忠勇捐軀的英勇事蹟;國人提及此役時無不斥責湯部如何未見塵起聞風先遁云云,筆者認為,如果要說湯恩伯部隊於中原之地同敵人久未作戰而喪失了原先在南口與敵決死一戰的精神導致了豫中會戰挫師失地,這是無可置疑的事實;但是要說湯恩伯是一槍未發、未做像樣抵抗便將中原萬里之地拱手贈與日本侵略者,這種行為就是曲解歷史,對中國軍隊抗戰將士進行有意的造謠和抹黑。
