多普勒效應概述:
聲波在空氣中向各方向均勻傳播,當聲源與觀察者相對靜止時,在聲源的不同方向聽到的音調均相同,如下圖所示:
當聲源與觀察者相對運動時,聲源與觀察者互相接近則觀察者聽到的音調將升高,聲源與觀察者互相遠離則觀察者聽到的音調將降低。如下圖所示:
我們在現實生活中經常會遇到這種現象,當一輛救護車向我們迎面而來時,警笛的聲調會變得越來越高,當救護車遠離我們而去時,警笛的聲調會變得越來越低。這種現象稱作多普勒效應。
奧地利物理學家多普勒在1842年發現了這個效應的原因。如果聲源一直在移動,聲波會在聲源的前方被擠壓,而在聲源的後方伸展開來。如果每秒鐘有越來越多的聲波傳到耳中,就會聽到比較高的音調,如果每秒鐘傳入耳中的聲波越來越少,聽到的聲調就比較低。
多普勒效應應用:
多普勒效應有著廣泛的應用,天文學家利用光波產生的多普勒效應可以測定天體的運動速度,交通警察利用紅外線產生的多普勒效應可以檢測汽車是否超速等等。
如果你是初中生或初中生家長,建議讀完後續內容,或者到同名公號,收集錯題、製作專屬知識點手冊、進行專項練習,可提升自學的能力。
以下我們來嘗試透過公式推導,來加深一下對多普勒效應的理解。
如圖所示,設波源相對於介質的運動速度為v1 ,波速為v ,觀察者相對於介質的運動速度為v2
波源所發出的波的波長為
依據以上條件,可知波的頻率
1、當波源與觀察者相對於介質靜止,即
觀察者接收到的波的頻率為單位時間內透過的波的個數
設T為波透過觀察者的持續時間,f'為觀察者接收到的頻率,則
由此可知,當波源與觀察者相對於介質靜止時,觀察者接收到的頻率與波源的頻率相同。
2、當波源相對於介質運動,觀察者相對於介質靜止,即
由此可知,當 v1>0(波源向接近觀察者方向移動)時,觀察者接收到的頻率大於波源的頻率;反之當 v1<0(波源向遠離觀察者方向移動)時,觀察者接收到的頻率小於波源的頻率。
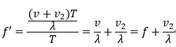
3、當波源相對於介質靜止,觀察者相對於介質運動,即
由此可知,當 v2>0(觀察者向接近波源方向移動)時,觀察者接收到的頻率大於波源的頻率;反之當 v2<0(觀察者向遠離波源方向移動)時,觀察者接收到的頻率小於波源的頻率。
4、當波源與觀察者相對於介質均運動,則
由此可知,當 v1+v2>0(波源與觀察者在互相接近)時,觀察者接收到的頻率大於波源的頻率;反之當 v1+v2<0(波源與觀察者在互相遠離)時,觀察者接收到的頻率小於波源的頻率。














 
			 
			 
			 
			 
			 
			 
			 
			 
			 
			 
			 
			 
			 
			 
			 
			 
			 
			