提示:全文大概1900字,主要是關於金融投資的基本原理以及分期貸款(比如住房貸款)的EXCEL計算方法,建議收藏,對理解投資的基本原理很有幫助。
關於投資,有一句話就是,現在的錢是最值錢的。換句話說,錢有時間價值。
舉個例子,小時候,我們的壓歲錢被大人收走,然後告訴你等你上高中或者上大學再給我們。
事實上,那個時候我們拿到的錢是貶值的。
兩個核心概念:現值和終值。
這兩個概念有點迴圈定義的意思,假如利率是3.8%(一年期LPR,便於計算)
那麼10000元的終值(FV,Future value)就是:10000*(1+3.8%)=10380元。
10380元的現值(PV,Present value)就是:10380/(1+3.8%)=10000元。
其中,3.8%就是折現率。
那麼計算公式就是,FV=C*(1+r)^T,PV=C/(1+r)^T。
其中,C 是某期的現金流,T是期數。
求解現值PV的過程就是俗稱的折現。
上述的計算EXCEL有公式可以計算,
1、其中的rate 是年化利率,如果是月利率的話,要除以12;如果是季度要除以4;如果是天要除以365。
2、Nper是期數,也就是求值的週期數。
3、Pmt 是定期流出或者流入的資金。
4、PV是現值,由於我們計算終值,所以需要在數值前面加上負號。
這是EXCEL中用途最廣的財務函式,使用它可以計算住房貸款、消費貸款、投資收益等等。
相應的也有PV、RATE、NPER函式,計算方法與FV相同。
明白這個道理,我們就知道為什麼壓歲錢給得越晚,我們的越虧。
假如2010年,我們收到1000元壓歲錢,2015年我們拿到這筆錢,實際上我們虧了,因為5年後的1000元在2010年的現值是:
PV=(3.8%,5,0,-1000)=829元。
5年後,我們拿到這筆錢虧了171元。
年金的計算
計算股價的時候,有一個簡單公式,叫做戈登股利模型,它的計算公式:
P=D/(r-g);
其中,P是股價,D是第一期的股利,g是股利的增長率,r是投資回報率
假如股利是2元,g是2%,r是10%,那麼股價是:
P=2/(10%-2%)=25元。
這其實是一個永續增長年金。
這個公式可以用來計算買房子做投資能賺多少錢。
假如第一年的房租是40000元,g是2%,r是10%,那麼這筆投資的回報是:
40000/(10%-2%)=500000元。
不計算其他的費用,理論上你現在買房子超過了500000,這筆投資就是不划算的。但是考慮到即便回報是0,你還擁有實際的住房,所以說買房子只要現金流不斷裂總是很划算的。
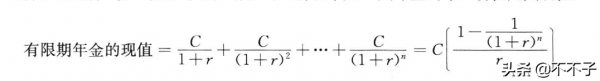
回到開頭的例子,我們父母說一年後每年給200,5年付清,那麼我們吃虧了嗎?
這就是有限年金的公式,年利率是3.8%。
經過計算現值=895元。
這個方案看起來我們還是吃虧,但是最合理的,既防止我們花錢,我們也有零花錢,這就是養老金的原理。
明白上面的原理,我們就可以計算貸款如何償還合理。
1、等額本息法
也就是每期償還固定金額。
我們用EXCEL裡的PMT公式就可以直接計算每年的還款額,貸款額10000元,利率是4%,期限是5年,每年的還款額是2246.27元,總計償還11231元。
|
等額本息償還計劃 |
|||||
|
貸款本金 |
10,000 |
利率 |
4% |
貸款期限 |
5年 |
|
還款金額 |
¥2,246.27 |
EXCEL中的PMT公式 |
|||
|
償還額的分解 |
|||||
|
年 |
年初本金 |
本金返還 |
利息 |
本息返還 |
|
|
1 |
10,000.00 |
¥1,846.27 |
¥400.00 |
2,246.27 |
|
|
2 |
7,753.73 |
¥1,920.12 |
¥326.15 |
2,246.27 |
|
|
3 |
5,507.46 |
¥1,996.93 |
¥249.34 |
2,246.27 |
|
|
4 |
3,261.19 |
¥2,076.80 |
¥169.47 |
2,246.27 |
|
|
5 |
1,014.92 |
¥2,159.88 |
¥86.40 |
2,246.27 |
|
|
6 |
0.00 |
PPMT |
IPMT |
11231 |
|
其中,本金償還額的計算公式PPMT、利息的償還額是IPMT。
2、等額本金法
也就是定期償還本金的方法,每期返還的金額不同,總歸還額度是11200元。
|
等額本金償還計劃 |
|||||
|
貸款本金 |
10,000 |
利率 |
4% |
貸款期限 |
5 |
|
償還額的分解 |
|||||
|
年 |
年初本金 |
本金返還 |
利息 |
本金返還 |
|
|
1 |
10,000.00 |
¥2,000.00 |
¥400.00 |
2,400.00 |
|
|
2 |
8,000.00 |
¥2,000.00 |
¥320.00 |
2,320.00 |
|
|
3 |
6,000.00 |
¥2,000.00 |
¥240.00 |
2,240.00 |
|
|
4 |
4,000.00 |
¥2,000.00 |
¥160.00 |
2,160.00 |
|
|
5 |
2,000.00 |
¥2,000.00 |
¥80.00 |
2,080.00 |
|
|
6 |
0.00 |
11200 |
|||
3、兩者返還方式的區別
其實這兩種並無本質區別,假如我們貸款100萬,貸款利率4.9%,償還時間是360個月。
等額本息還款=1910616.19,其中利息是910616元。
等額本金還款=1737041.67,其中利息是737042元。
看起來是等額本息還款更划算,但是沒有本質區別。回到我們前面的現值計算公式,其實兩者的現值都是100萬,
銀行並沒有佔我們的便宜。
如果有人說30年還款期,等額本金少支付17.3萬的利息,這就是一個不懂得金融基本原理的人。
計算方式有點複雜,這兩種方式的區別就在於,可以根據還款者的風險偏好和投資風格來決定。
從上面的圖表我們可以看出,等額本金的還款方法好處是一開始負擔較重,到後來越來越輕,有種豁然開朗的感覺。
等額本息是每期還款的金額是一樣的,方便計算。
至於如何選擇還款方式以及提前還款,根據自己的需求來計算,利用上面的表格,但是一定記得要折現,這個才是最根本的。
切記,有貸款的讀者可以根據上述的公式計算自己的待還金額,也可以制定相應的還款計劃。
