喜歡就關注我們吧,訂閱更多最新訊息
亮點介紹
1.由輔酶在生命系統中促進酶催化活性和穩定性的機制而受到啟發,提出一種提升多硫化物轉化能力的新策略,即將輔因子引入鋰硫電池體系,從結構和功能的角度模擬天然酶,構築碳奈米管—血紅素人工酶—三聚氰胺輔因子硫轉化仿生催化系統。
2.透過多種先進的原位光譜表徵及理論計算研究,發現血紅素人工酶、三聚氰胺輔因子和碳奈米管三者之間形了多種相互作用(即FeN5配位、物理π-π共軛、醯胺鍵),共價結合以及鋰離子同輔因子/人工酶作用形成的“多重鋰鍵網路”,賦予了人工酶更高的穩定性、良好的電子/離子傳輸能力、以及對長、短鏈多硫化物的超強催化轉化能力,進而實現了鋰硫電池在倍率和迴圈耐久性方面的大幅度提升。
3.發現並提出“多重鋰鍵網路”概念,為開發其它鋰電池、電化學儲能裝置提供了重要的理論基礎。
背景介紹
鋰硫電池因具有高理論能量密度、低成本和環境友好等優勢,被認為是下一代高能量密度動力電池的理想候選者。但其商業化卻因硫電極低硫負荷及利用率、硫轉化反應動力學遲緩、電池迴圈穩定性差等而受到嚴重限制。開發高效的硫轉化催化劑是破題的關鍵環節之一。
成果速遞
酶作為一種溫和的綠色催化劑,在各種生理應激過程中展現出了驚人的催化能力。向大自然學習,讓生命現象成為設計思想的源泉。近期,溫州大學楊植教授團隊在前期探究硫轉化仿生人工酶的研究基礎上(二硫蘇糖醇硫轉化剪下劑,ACS Nano 2017, 11, 2209, IF=15.9; 血紅素硫轉化人工酶,Advanced Functional Materials 2020, 30,2003354,IF=18.8;硫轉化仿生雙控催化系統,ACS Nano 2020, 14, 7538),由輔酶在生命系統中能促進提升酶催化活性和穩定性受到啟發,從結構和功能的角度模擬天然酶,提出透過設計模擬輔因子,並將其引入鋰硫電池體系,構築出了碳奈米管—血紅素人工酶—三聚氰胺輔因子([CNTs-MM-hemin])硫轉化仿生催化系統。利用輔因子中的三聚氰胺多級富氮結構與Li相互作用形成的“多重鋰鍵網路”以及該輔因子與人工酶的電子相互作用,賦予了人工酶更高的催化能力和穩定性,進而實現了鋰硫電池在倍率和迴圈耐久性方面的大幅度提升。團隊還利用多種先進的原位光譜技術及理論計算,對電極介面結構的動態演變規律進行了原位捕捉,進而從微觀層面深度探究了在該仿生鋰硫電池執行體系中硫轉化過程的“黑匣子”。
圖文解析
要點1:催化劑的設計與結構表徵
本文透過簡單的共價交聯方法,製備了碳奈米管(CNTs)—三聚氰胺輔因子(MM)—血紅素人工酶(hemin)硫轉化仿生催化系統([CNTs-MM-hemin])。在[CNTs-MM-hemin]中,MM輔因子透過共價醯胺鍵與hemin人工酶和羧基化CNTs連線,hemin和MM之間的Fe–N配位形成了FeN5構型,CNTs和hemin/MM分子之間存在著物理π-π相互作用。這些多重(共價、配位、物理)相互作用有助於建立週期性和共價交聯的催化網路結構,以加速系統中的電子轉移,抑制hemin人工酶在醚基溶劑中的溶解,從而使其保持高而穩定的硫轉化催化活性。
圖1. [CNT-MM-hemin]複合材料的合成示意圖及其結構和穩定性表徵。
要點2:催化劑與多硫化物的相互作用能力
密度泛函理論計算和XPS、7Li NMR、原位紫外可見吸收光譜等實驗表明,[CNTs-MM-hemin]能有效地透過Fe–S和多種Li∙∙∙N鍵吸附多硫化物,不僅可以避免穿梭效應,還可以確保系統中Li+的快速遷移和補充。
圖2.催化劑對多硫化物的吸附和催化能力表徵。
要點3:電化學效能
[CNTs-MM-hemin]催化劑在低硫載量的電池(~1.0 mg cm−2)中表現出提升的倍率效能和優異的迴圈穩定性,實現了978 mAh g−1的初始容量和900次迴圈後571 mAh g−1的容量保有(單圈容量衰減率低至0.046%)。即使在含硫量增加至4.1 mg cm−1的情況下,電池仍能穩定執行200個迴圈,容量保持率為87%。
圖3.不同催化劑對鋰硫電池電化學效能的影響。
要點4:催化機理
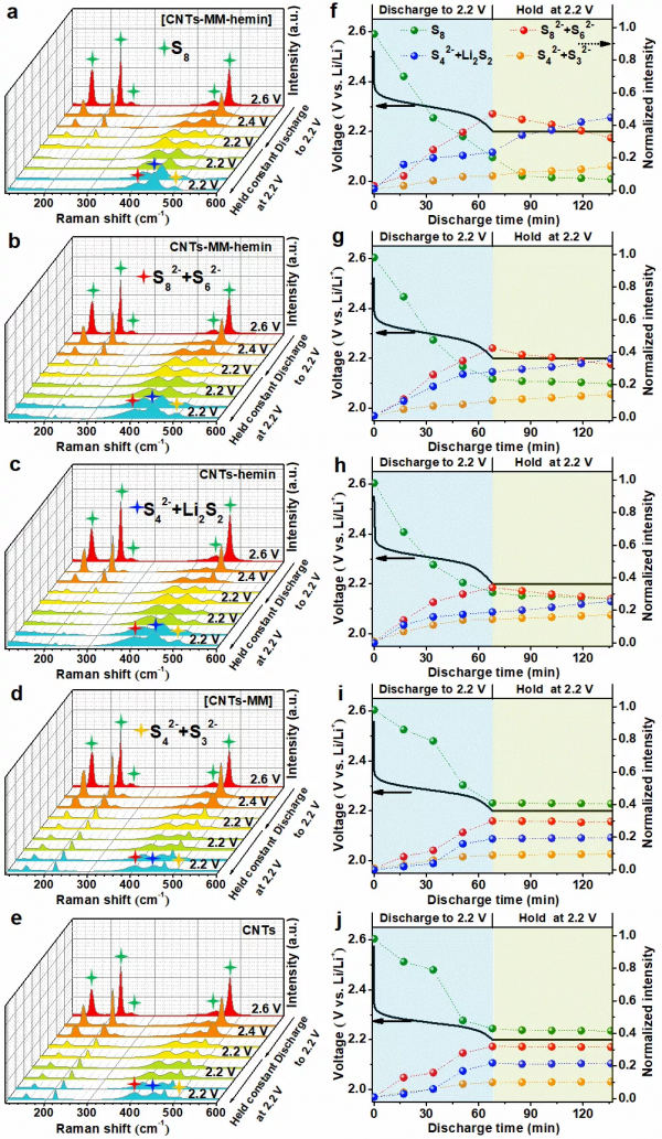
Hemin人工酶透過Li∙∙∙N鍵和Fe–S鍵對長鏈多硫化物發揮強吸附和催化作用。在放電過程中,hemin透過Fe–S鍵從長鏈多硫化物中爭奪電子,促進長鏈多硫化物中S–S鍵的斷裂和短鏈多硫化物的產生。藉助於CNT與hemin/MM分子之間的物理π-π相互作用、MM與hemin/CNT之間的醯胺鍵作用,以及hemin和MM之間的Fe–N配位作用,MM輔因子不僅可以作為hemin的穩定劑,而且對Li+具有很高的吸附能力,從而加速Li2S成核。短鏈多硫化物被捕獲在hemin表面,並迅速擴散到相鄰的MM上,形成豐富多樣的Li鍵(多重Li鍵,多種Li∙∙∙N鍵),以及Li鍵網路,加速了系統中的電子/Li+轉移,促進了短鏈多硫化物向Li2S2/Li2S的轉化。正是利用這種協同效應,[CNTs-MM-hemin]催化劑確保了硫催化轉化反應的順利進行,從而有效地緩解了鋰硫電池的穿梭效應,提高了電池的電化學效能。
圖4.放電過程中,不同電極表面的原位拉曼光譜。
圖5.不同放電深度下,電極表面的準原位S 2p和Li 1s XPS光譜。
圖6.鋰離子擴散速率實驗和鋰離子擴散能壘計算研究。
文章總結
本文提出了一種具有多重鋰鍵網路的輔因子輔助人工酶,即[CNTs-hemin-MM],以加速硫還原反應動力學並抑制鋰硫電池中的多硫化物穿梭。大量分散良好的FeN5位點作為hemin的催化活性中心,以及MM輔因子在CNT導電基底上提供的完美Li鍵電子傳輸網路,充分實現了高效和穩定的催化優勢,以促進長鏈和短鏈多硫化物的轉化。透過多種光譜、電化學表徵與理論計算相結合,闡述了[CNT-hemin-MM]電極表面多硫化物轉化的催化效應和反應機理,特別是共價醯胺鍵、FeN5配位構型和π-π共軛的協同作用。這種對多硫化物高度、持續的催化作用使得鋰硫電池表現出優異的穩定性和高硫負載效能。本研究為設計基於輔因子助力人工酶和多重鋰鍵網路的可充電鋰硫電池開闢了一條新途徑。
文章資訊
Cofactor-Assisted Artificial Enzyme with Multiple Li-Bond Networks for Sustainable Polysulfide Conversion in Lithium–Sulfur Batteries
Suya Zhou#, Shuo Yang#, Dong Cai, Ce Liang, Shuang Yu, Yue Hu, Huagui Nie, and Zhi Yang*
Adv. Sci. 2021, 2104205.
DOI: 10.1002/advs.202104205
主要作者簡介
楊碩,溫州大學講師,碩士生導師
致力於原位電化學介面譜學研究及其在鋰硫電池、燃料電池、表面等離子激元等領域應用研究。先後主持國家自然科學基金,浙江省自然科學基金,溫州市重大科技攻關專案,溫州市基礎性科研專案,浙江省教育廳一般科研專案等縱向課題7項。獲溫州市海外精英引進計劃創新人才。近年來取得了多項原創性科研成果,在包括Advanced Functional Materials、Advanced Science、ACS Nano等雜誌上發表期刊論文20篇。多次在國際頂級學術會議上以報告形式展示相關科研成果並5次獲獎。
楊植,溫州大學教授,博士生導師
長期從事微納結構碳材料的結構設計、效能調控及在鋰硫電池、燃料電池、電催化等領域應用的基礎研究,現為浙江省碳材料技術研究重實驗室主任,溫州大學化材學院副院長。發表SCI論文100餘篇,論文被它引7000餘次,H因子41,其中在Adv. Mater., Nat. Commun., Advanced Functional Materials, ACS Nano等IF大於10.0期刊上發表論文30餘篇,10餘篇入選ESI高引或熱點論文,單篇通訊作者論文最高引用1700餘次。先後主持5項國家自然科學基金,省傑出青年基金等專案;獲浙江省“萬人計劃”青年拔尖人才,溫州市“特支計劃”科技創新領軍人才等計劃支援;獲教育部高等學校自然科學二等獎,溫州市科學技術進步獎等。
相關工作推介
1. ACS Nano 2017, 11, 2209:由生物小分子-二硫蘇糖醇(DTT)在室溫下能自發高效剪斷存在於蛋白質中的雙硫鍵(-S-S-),從而破壞蛋白質的三維結構這一現象而受到啟發,設計和開發出了基於二硫蘇糖醇/石墨烯的超輕插層膜,將該膜應用在鋰硫電池正極和隔膜之間後,透過利用DTT高效剪下雙硫鍵的特性,能有效控制聚硫離子在電極材料表面以及電解液中不斷形成、聚集的問題,從而有效降低鋰硫電池中聚硫離子濃度,以抑制穿梭效應,使用該技術後所組裝的鋰硫電池在5C的放電電流下迴圈1100次後,仍展現了優異的迴圈穩定性。
2. Advanced Functional Materials 2020, 30,2003354:天然酶是一種高效的生物催化劑,可介入生物中的各種生理應激過程。酶可以專一高效地催化特定底物的反應,在生物化學中具有廣泛的應用。在生物化學中,氯化血紅素及其鐵卟啉衍生物作為許多血紅蛋白的電活性中心,也常被用於氧輸運,以及對各類物質(如:NO、NO2-及H2O2)的檢測。受啟發於此,同時,考慮到硫和氧是同主族元素,具有相類似的化學性質,結合仿生催化的設計理念,設計開發出了基於羧基功能化碳奈米管固定的血紅素人工模擬酶,用於高效促進硫轉化,大幅提升了鋰硫電池的容量和迴圈穩定性。
3. ACS Nano 2020, 14, 7538:採用雙控策略,設計開發了一種酞菁鐵和八氟萘功能化的石墨烯,並將其作為仿生催化劑引入Li−S電池正極。一系列的研究表明:酞菁鐵透過Fe–S的配位,對長鏈多硫化物起到了有效的錨定和剪下作用;而八氟萘則透過鋰鍵(Li∙∙∙F鍵)來結合短鏈多硫化物,加速了Li2S的液-固成核和生長動力學。該雙控系統有助於實現電池內部平穩的固-液-固轉化反應,顯著提高了電池的電化學效能,為實現高容量的Li−S和其他可充電技術提供了一種可行的方案。
本課題組長期歡迎具有碳材料、能源材料、仿生催化、理論計算化學、導電高分子材料等研究背景的優秀博士加盟,Email: [email protected].
