黑體輻射,近代物理史上一隻會下金蛋的鵝——引出了一系列重要的物概念,量子力學、固體量子論、受激輻射、量子統計、等等。然而,對於物理學史上這一重要內容本身,在中文文獻中卻只寥寥幾筆,只留下了普朗克、維恩公式和譜線圖等內容,其緣由、實驗驗證、延續數十年數位物理巨擘的推導均被忽略了。本文則全面地考察了黑體輻射這一概念的來龍去脈和延伸。在作者看來,“黑體輻射是近代物理研究方法的教科書回顧這段波瀾壯闊的歷史,能讓我們多少學會一些物理研究的真諦。”《返樸》專欄作家曹則賢研究員將為讀者開啟這場酣暢淋漓的物理學史之旅,幫助我們瞭解其中思想概念的演化。全文約7.5萬字,將分為五次推送。
撰文 | 曹則賢(中國科學院物理研究所)
黑,真他媽的黑啊!
——劉慈欣《三體》
摘要 黑體輻射是近代物理史上一隻會下金蛋的鵝, 是近代物理的搖籃。黑體輻射研究的意義還在於這是唯一一個涉及c, k, h三個普適常數的物理情景。黑體輻射譜抗測量誤差的特性帶來了輻射標準和絕對溫度參照,譜分佈公式對模型的不敏感則使得黑體輻射成為獨特的物理研究母題。黑體輻射譜分佈公式,普朗克多角度推導過,德拜推導過,艾倫菲斯特推導過,勞厄推導過,洛倫茲和龐加萊深入討論過,泡利推導過,玻色推導過,愛因斯坦在20多年的時間裡多角度推導過且產出最為豐碩,近代還有從相對論角度的推導,每一個角度的推導都帶來了物理學的新內容,這包括量子力學、固體量子論、受激輻射、量子統計、相對論統計,等等。認真回顧黑體輻射研究的歷史細節,考察其中的思想概念演化。不啻於體驗一次教科書式的學(做)物理之旅,比如也可以嘗試給出能量局域分立化的簡單新證明。
引子 黑體輻射研究起源於十九世紀中葉的熱輻射體和輻射標準研究,屬於對工業應用需求的響應。從對實驗結果之詮釋——主要是普朗克譜分佈公式——的論證引出了一系列新概念和新物理,包括量子力學、固體量子論、受激輻射、量子統計和玻色-愛因斯坦凝聚等,都是黑體輻射研究的直接結果。此外,這項研究還充實了熱力學,帶來了對光的本性的深入理解。鑑於黑體輻射的超強學術繁殖能力——這一點來自黑體輻射分佈譜公式對模型的不敏感,可以說black-body radiation is the matrix of modern physics(黑體輻射是近代物理之本),或者說black-body radiation is a goose that lays golden eggs(黑體輻射是一隻會下金蛋的鵝)。關於黑體輻射的實驗研究,除了維恩之外,還有柏林的物理技術研究機構的近代物理實驗五傑。關於黑體輻射的理論研究,先後出場的物理巨擘,據不完全統計,有基爾霍夫、亥爾姆霍茲、斯臺藩、玻爾茲曼、維恩、瑞利爵士、普朗克、洛倫茲、愛因斯坦、金斯爵士、艾倫菲斯特、龐加萊、納坦松、德拜、勞厄、泡利、玻色等人,且各有建樹。他們的研究方式之多樣讓人眼花繚亂, 他們的研究手法之嫻熟讓人五體投地,他們的學術功底之深厚讓人歎為觀止。黑體輻射研究是近代物理研究方法的教科書,回顧這段波瀾壯闊的歷史,能讓我們多少學會一些物理研究的真諦。
本文大致分為如下章節:
1. 黑體與輻射的基爾霍夫定律
2. 黑體輻射理論研究初步
3. 黑體輻射譜測量
4. 對維恩分佈公式的質疑與瑞利-金斯公式
5. 普朗克關於黑體輻射譜分佈公式的三種推導
6. 愛因斯坦的第一輪推導
7. 洛倫茲的推導
8. 金斯的堅持與轉變
9. 德拜的推導
10 艾倫菲斯特的推導
11. 龐加萊的充要條件證明
12 勞厄的小插曲
13. 泡利的推導
14. 玻色的推導
15. 愛因斯坦再次出場
16. 玻色-愛因斯坦統計與費米-狄拉克統計
17. 黑體輻射與相對論
18. 渾身都是物理的普朗克譜分佈公式
19. 光是局域量子化存在的新簡單論證
20. 多餘的話
初識黑體輻射問題於大學普通物理課上。在我拿到的那些光學、原子物理以及量子力學課本中,黑體輻射問題會在半頁到兩頁不等的幅度上被輕描淡寫地、略顯隨意地提過。普朗克被描述為一個擬合人家實驗曲線的革命者(有點矛盾哈),他最先引入了量子的概念從而開啟了量子力學時代。然而,事實遠不是這麼回事兒。當我2008年讀到一篇名為Max Plack-Revolutionär wider Willen (普朗克——違背意願的革命家)的文章時,我才知道1900-1901年期間普朗克到底推導了什麼, 以及接下來二十多年裡,即到1924年Quantenmechanik(量子力學)一詞出現,他自己的心理歷程。我慢慢地才知道,黑體輻射問題是近代物理的搖籃,一批物理巨擘們透過對這個問題的研究為我們帶來了近代物理之大部,包括量子力學、量子統計、固體量子論等近代物理分支,對光之本性的深刻認識,以及受激輻射這個鐳射的基礎概念,此外還有化學勢、零點能等關鍵概念。回顧黑體輻射的研究歷程會是一個不可多得的近代物理研究方法論課程,我深信“It is always very useful to get acquaintance with the development of original ideas and methods—even if some had led to dead ends or detours(熟悉原始思想與方法的發展歷程,儘管它們有些走了彎路或者進入了死衚衕,總是非常有用的)”。本文中,我將循著物理大師們的原初路徑,試著就黑體輻射問題找到一些深刻的洞見。我希望,本文會是一篇物理學思想史研究的範文,雖然我知道這是奢望。特別地,我希望透過撰寫此文的實踐支援我一貫的觀點:物理學史是物理這門學問的歷史。物理學史研究天然地關注物理自身並致力於襄助物理學的發展與傳承。
我設想讀者都和我一樣思維不是那麼敏捷,因此本文中我會盡可能多地關注一些細節和邏輯聯絡。此外,遇到值得擊節讚歎處我還會偶爾在括號里加上一句半句的感慨,請讀者原諒我這沒見過世面的樣子。因為筆者水平有限,對本文提到的諸多關鍵文獻其實並沒有認真閱讀以領會其精妙處,故文中難免存在諸多學術性瑕疵和技術性缺陷。我自己可能需要一段時間才能注意到其中的問題,未來我會在重新閱讀思考以後再回頭增補、修訂。懂物理的朋友們自然能輕鬆識別出這些瑕疵與缺陷,引用時自行改正過來就好;隨便抄襲本文者可能會鬧笑話,一朝露餡要勇於自認倒黴,勿謂言之不預。
本文中我會故意穿插使用涉及到的物理巨擘姓名和關鍵概念的西文拼法與相應的漢譯,其基本原則是方便讀者迅速過渡到西文文獻。同黑體輻射具體研究(者)相關的文獻或者針對性特別強的文獻會直接加在文內,方便我的敘述也方便讀者的查詢(其實是為了避免改造為某種特殊的格式卻被弄得面目全非),文後附有更多的一般性參考文獻。然而,由於某些原始文獻不易找到,因此還是有很多遺漏處。所有的英語文獻會原封不動地呈現;對於非英文文獻,包括德語、法語和義大利語的,我會將文章名或者書名譯成漢語。一些關鍵詞我也會把當事人使用的某種語言的原文隨手加上。愚以為,翻譯是對理解錯誤的固化。故而,為對抗這種固化,將譯文、原文即刻就近一併呈現是必須的。此外,本文沒有統一物理量的符號,而是儘可能地忠實於原文,請讀者注意。
01
黑體與輻射的基爾霍夫定律
光是人類同遠方唯一的連線,光是第一物理物件和工具。光與物質間的相互作用天然地是物理學的主題。當一束光照射到一塊物體(假設是固體,不發光-這個說法在學過黑體輻射以後會發覺不對)上時,光會被反射、吸收(可能還引起再發射),一部分會透過去。對於普通的物體,如果其對可見光(波長約在390-780 nm之間)的透過率和反射率足夠小,它就會給人以黑色的印象。不透可見光意味著材料對可見光有強烈的吸收,則材料的能隙要小於1.5 eV,或者其等離激元頻率要高於4×1014Hz。常見的無定形炭對可見光有強烈的吸收,是黑的,故有炭黑一說(可見光吸收率可達0.96)。炭的一種sp2-鍵結合的晶體,石墨,其帶隙約為負的0.04 eV,為半金屬,對紅外光全面地強烈吸收,因此它更黑。但是,石墨晶體對可見光有強烈的反射,故高品質的石墨晶體有金屬光澤(圖1)。近年來超黑材料(superblack materials)的研究方興未艾,其關鍵是把窄帶隙材料的表面加以無序化、粗糙化以消除反射。當前所獲得的超黑材料,比如黑矽,對可見光的反射率已幾乎為零,其黑色豔得邪惡(圖1)。
圖1. 不同程度的黑。左圖:幾乎不透光但反光的石墨晶體;右圖:恐怖的超黑材料
經驗告訴我們,物體吸收了光,就會變熱。中國北方的人們冬天喜歡曬太陽,而且知道穿黑棉襖、黑棉褲取暖效果比較好。據信法國物理學家菲涅爾(Augustin-Jean Fresnel,1788-1827)針對牛頓在Opticks(光學)一書中表達的“作為顆粒的光穿越充滿熱介質的空間暢通無阻”的觀點(好像書裡面沒有這個觀點。牛頓冤枉)曾反駁道,光照下的物體其熱會無限增加[Charles Coulston Gillispie, The Edge of Objectivity: An Essay in the History of Scientific Ideas,Princeton University Press (1960)]。然而,一個物體如何能容納其吸收的無窮多的熱呢?吸收光的物體,其溫度不會總升高吧?如果是這樣,只要照射時間足夠長,弱光也能把一塊物體給汽化了。1858年,蘇格蘭物理學家斯圖爾特(Balfour Stewart,1828-1887)發現,塗上燈黑(lamp-black,用今天的話說,是微奈米炭顆粒沉積物)的表面能吸收所有照射其上的光,因而同其他表面相比具有最大的光吸收能力,但它同時也擁有最強的光發射能力。可惜,斯圖爾特邏輯能力不強,未能抽象出一個普適性原理:存在(哪怕是僅存在於想象中)一個普適的具有最大光吸收——當然也是最大光發射——能力的表面,此事兒與光波長和溫度無關。但是,斯圖爾特用射線的反射與折射(遵循Stokes-Helmboltz的reciprocity principle,互反原理[1])來討論他的實驗結果。他得到了一個重要結論,就是在一個處於熱平衡的、不管是什麼材料做成的空腔裡,從內壁任何部分輻射的熱與燈黑的輻射相同[Belfour Stewart, An account of some experiments on radiant heat, Transactions of the Royal Society of Edinburgh 22, 1-20 (1858); D. M. Siegel, Balfour Stewart and Gustav Robert Kirchhoff: two independent approaches to Kirchhoff's radiation law, Isis 67(4), 565-600 (1976)]。
一般文獻討論黑體輻射會從基爾霍夫定律開始。基爾霍夫(Gustav Kirchhoff,1824-1887),德國物理學家,1847年畢業於柯尼希堡(Königsberg,現屬俄羅斯)大學,1850-1854年在佈雷斯勞(Breslau,現屬波蘭)大學任教,然後轉往海德堡大學,1875年轉往柏林大學任理論物理教授。基爾霍夫研究電以及光譜,做出了奠基性的貢獻,其中最值得稱道的是他和本森(Robert Bunsen,1811-1899)一起發明了光譜儀。1859年,基爾霍夫計算了無阻導線中電訊號的速度,得出了電訊號速度為光速的結論[Gustav Kirchhoff, On the motion of electricity in wires, Philosophical Magazine 13, 393-412 (1857);P. Graneau, A.K.T. Assis, Kirchhoff on the motion of electricity in conductors, Apeiron 1(19), 19-25 (1994)]。可惜,一般電學教材基本不談論電力傳播速度問題。
圖2. 基爾霍夫
1859年,基爾霍夫在光譜研究中發現了(氣體分子的)吸收譜線和發射譜線重合的現象。進一步地,基爾霍夫研究熱平衡時固體腔內的熱吸收與發射,發現對於給定的波長,發射能力與吸收率之比不依賴於具體的物體。熱平衡下的輻射是各向同性的。輻射密度在各個方向都相同的發射體是Lambert發射體(命名來自Johann Heinrich Lambert,1728-1777)。1860年,基爾霍夫提出了完美黑(vollkommen schwarze)的概念。對於那些能吸收所有照臨其上的光的物體,“我將那樣的物體稱之為完全黑的,或者就簡稱為黑的(Ich will solche Körper vollkommen schwarze, oder kürzer schwarze, nennen)”。既不反射也不讓輻射透過,那意味著對照臨其上的光的完全吸收。黑體(black-body)一詞,德語為schwarzer Körper或者Schwarzerkörper,由基爾霍夫在其1860年題為“論物體之熱與光的發射能力和吸收能力之間的關係”的文章(p.277)中首先提出[Gustav Kirchhoff, Über das Verhältniss zwischen dem Emissionsvermögen und dem Absorptionsvermögen der Körper für Wärme and Licht, Annalen der Physik und Chemie 109(2), 275-301 (1860)]。一說是在1862年基爾霍夫造了黑體輻射這個詞。
黑體輻射,德語Schwarzkörperstrahlung,愛因斯坦喜歡用schwarze Strahlung (黑的輻射),見愛因斯坦1910的文章。愛因斯坦還曾用過腔體(Hohlkörper)而不是腔空間(Hohlraum)的說法,見愛因斯坦1907的文章。許多英文文獻乾脆就叫熱輻射(thermal radiation, heat radiation)。基爾霍夫關於熱輻射的定律可以表述為:“任何物體(做成的空腔),其熱平衡時的發射能力與吸收率之比是一個普適的、只依賴於溫度的函式,該函式是完美黑體的特徵。” 用大白話說,就是好的吸收體也是好的發射體(Ein guter Absorber ist auch ein guter Emitter)。黑體的輻射譜密度與方向無關,與空腔輻射的譜密度相同(Die spektrale Strahldichte des Schwarzen Körpers muss daher von der Richtung unabhängig und mit der spektralen Strahldichte der Hohlraumstrahlung identisch sein)。基爾霍夫的發現,用公式可表示為在平衡條件
中有隻對特別頻率的光透明的薄片(請記住這一點)。基爾霍夫的證明上來就用熱力學第二定律,而那時熱力學第二定律是嶄新的。基爾霍夫因此相信,黑體輻射的這個譜密度分佈是一個簡單函式。基爾霍夫認為找出這個函式算得上非常有意義的成就(crowning achievement)。當然了,他也非常明白實驗上會有很多困難要克服。基爾霍夫是在海德堡大學研究光譜時得到了黑體輻射定律的,他後來把黑體輻射研究帶到了柏林,黑體輻射研究最終在柏林結出了碩果。實際情況是,在基爾霍夫定理提出後,經過40年的艱難探索,譜密度函式在1900年真地就被找到了。
基爾霍夫留下了如下與熱輻射研究有關的著作:
1. Gesammelte Abhandlungen(全集),Johann Ambrosius Barth(1882),玻爾茲曼編輯;
2. Gesammelte Abhandlungen: Nachtrag(全集增補),Johann Ambrosius Barth, (1891),玻爾茲曼編輯;
3. Vorlesungen über mathematische Physik, 4 Bände(數學物理講義,四卷本), B. G. Teubner(1876-1894)
Band 1: Mechanik(卷一、力學),B. G. Teubner(1876);
Band 2: Mathematische Optik(卷二、數學光學), B. G. Teubner(1891);
Band 3: Electricität und Magnetismus(卷三、電與磁),B. G. Teubner(1891),普朗克編輯;
Band 4: Theorie der Wärme(卷四、熱論),B. G. Teubner(1894),普朗克編輯;
注意,基爾霍夫的全集是玻爾茲曼(Ludwig Boltzmann,1844-1906)編輯的,數學物理講義第三、四卷是普朗克(Max Planck,1858-1947)編輯的。玻爾茲曼和普朗克是接下來的黑體輻射研究的主角,進一步地是後來的統計力學的奠基人。什麼是學術傳承?這就是學術傳承。學術傳承的前提是有學術可供傳承。
還有幾個因素要注意到。其一,基爾霍夫1860年提出輻射定律的時候,克勞修斯(Rudolf Clausius,1822-1888)剛提出熵概念不久(1852-1856年間)。其二, 那時候連麥克斯韋方程組還沒呢,更不知道熱輻射是電磁波。其三, 在1887-1888年,德國的赫茲證實電磁有波的存在形式。熱輻射、電磁波、熵,再加上玻爾茲曼在1872年和1877年提出的量子化的能量(在玻爾茲曼那裡是分子動能),未來這幾個因素湊到一起就擦出大火花了。
一個發光體,特徵的物理量是它的發光能力及譜分佈。室溫下一般物體的熱發射,人眼看不到,這時候無照明狀態下的物體就是黑的。隨著溫度的升高,(黑色的)物體會逐漸變為灰色、暗紅、亮紅、黃色、白色、藍白色(圖3)。白色對應高溫,故有白熱化、白熾的說法。對鐵匠鋪裡的爐子的粗略觀察可以得出結論:隨著溫度升高,發光向短波長方向移動,光也變得更加強烈。黑體的輻射、熱平衡時空腔的輻射,以及熱平衡時內有發射體的空腔的輻射,都應該表現出同樣的譜特徵。這是黑體輻射所涉及的模型研究的思想基礎。
圖3. 輻射體實物圖與熱空腔輻射模型
順帶說一句,對應黑體還有白體(white body)的說法。對所有波長的電磁輻射都表現出零吸收的假想物體被稱為白體。不過關於何為黑,何為白,值得認真探討一番。考察一塊均勻的、表面光滑的固體,其對入射光的行為可以由透過率(transmission)τ、吸收率α和反射率ρ來表徵,ρ+α+τ=1。所謂的黑體對應α=1, τ=0, ρ=0;白體對應ρ=1,α=0,τ=0;而透明物體對應ρ=0,α=0,τ=1。不過,類似ρ+α+τ=1這樣的公式表達的是算術,而非真實的物理。反射率ρ反映的是物體表面的性質,嚴格地說是介面的性質;吸收行為則是由材料的體性質(bulk property)和幾何共同決定的;至於透過率,那只是τ=1-ρ-α的算術結果。一塊材料的表面的吸收能力(absorptance)反映其吸收輻射能量的有效
02
黑體輻射理論研究初步
完美髮光體的發光能力與溫度的關係,在近代的物理教科書中由Stefan-Boltzmann公式給
先補個插曲。為了從熱力學的角度研究黑體輻射,有必要引入輻射壓的概念。輻射壓的概念一開始由開普勒(Johannes Kepler,1571-1630)於1619年提出,用以解釋彗星尾總遠離太陽的現象。1862年,麥克斯韋(James Clerk Maxwell, 1831-1879)從自己的電磁理論出發推測有輻射壓的存在(另有文獻說是1874年,待考)。義大利人巴託利(Adolfo Bartoli,1851-1896)在1876年從熱力學原理匯出了輻射壓的存在[Adolfo Giuseppe Bartoli,Sopra i movimenti prodotti dalla luce e dal calore:e sopra il radiometro di Crookes(論光與熱產生的運動以及克魯克斯的輻射計),Coi tipi dei successori le Monnier, 1876],巴託利於1874年畢業於比薩大學,於1876年在25歲上即已是實驗物理教授。巴託利指出,如果從一個移動的鏡子反射光,就能提升輻射溫度,這樣就能把能量從低溫物體傳輸到高溫物體,但這違反熱力學第二定律[A.Bartoli, Il calorico raggiante e il secondo principio di termodynamica (輻射壓與熱力學第二定律), Nuovo Cimento 15, 196-202 (1875)]。若光對鏡子也施加了壓力,就解決了這個困局。其實,之所以有這個插曲是因為那個時候還沒建立起光有動量的概念。光有能量容易被感知,在牆角曬曬太陽就明白,但光有動量的認識需要認識到它存在的物理語境。愛因斯坦在質能關係和光電效應的工作中都用到了輻射壓的概念。
奧匈帝國的物理學家斯特藩(Jožef Stefan或者Josef Stefan,1835-1893)是玻爾茲曼(Ludwig Boltzmann,1844-1906)的導師,其於1858年在奧地利維也納大學獲得數學物理博士學位(圖4)。按維基百科Stefan-Boltzmann條目,斯特藩在1879年基於丁達爾(John Tyndall,1820-1893)1864年用白金燈絲獲得的發射能量測量結果得到了公式 的結論[Josef Stefan, Über die Beziehung zwischen der Wärmestrahlung und der Temperatur(熱輻射與溫度之間的關係), Sitzungsberichte der Kaiserlichen Akademie der Wissenschaften: Mathematisch- Naturwissenschaftliche Classe 79: 391-428 (1879)]。但是,細讀這篇文章,筆者卻發現其是用Dulong-Petit關於發射體冷卻速度得到物體發射的熱量同其絕對溫度四次方成正比(die von einem Körper ausgestrahlte Wärmemenge der vierten Potenz seiner absoluten Temperatur proportional ist)的結論的。法國物理學家杜隆(Pierre Louis Dulong,1785-1838)和珀替(Alexis Thérès Petit,1791-1820)的這個實驗非常巧妙,用沸騰金屬作為發熱體(保持溫度恆定),測量不同半徑的同心金屬球殼上平衡時的溫度。筆者讀到此處是擊節叫好。提起杜隆-珀替,按說應該是如雷貫耳才對。後來愛因斯坦於1907年創立固體量子論時,又是基於杜隆-珀替的比熱測量資料。熱力學中有所謂的杜隆-珀替定律,是他們倆於1819年提出的,比卡諾(Sadi Carnot, 1796-1832)的第一篇熱力學論文還早五年。
圖4. 斯臺藩
玻爾茲曼非同尋常,是統計物理和原子論的奠基人(圖5)。玻爾茲曼的博士論文導師是斯臺藩, 但他還有其他導師,包括本生(Robert Bunsen,1811-1899)、基爾霍夫和亥爾姆霍茲(Hermann von Helmholtz,1821-1894),未來他會有個博士生叫艾倫菲斯特(Paul Ehrenfest,1880-1933),這構成了一個黑體輻射研究的學術鏈條。1884年,玻爾茲曼考察用光(氣)作為工作介質的熱機,又得到了這個關於輻射能力的公式[Ludwig Boltzmann, Über eine von Hrn. Bartoli entdeckte Beziehung der Wärmestrahlung zum zweiten Hauptsatze(論巴託利先生髮現的熱輻射同第二定律之間的關係), Annalen der Physik 22,31-39 (1884);Ludwig Boltzmann, Ableitung des Stefan'schen Gesetzes, betreffend die Abhängigkeit der Wärmestrahlung von der Temperatur aus der electromagnetischen Lichttheorie(關於由電磁的光理論出發得到的熱輻射對溫度依賴關係的斯特藩公式的推導),Annalen der Physik 22,291-294(1884)]。
圖5. 玻爾茲曼
玻爾茲曼在這裡對分子動能的計數從0開始,這個0能量具有特殊的地位。分子動能為0讓我覺得不好理解。下文我們會看到在艾倫菲斯特1911年的論文中,諧振子的量子化能量也是從n=0開始的,並有關於n=0之必要性的討論。這裡的妙處,下文會仔細考慮。存在n=0是有費米-狄拉克統計的前提。
圖6. 維恩,1911年
維恩(Wilhelm Wien,1864-1928)這個名字因黑體輻射研究而聞名, 他幾乎是唯一的黑體輻射理論與實驗雙料研究者,於1911年因熱輻射的研究獲得諾貝爾物理學獎(圖6)。維恩是我心目中大神級的物理學家。維恩是亥爾姆霍茲(Hermann von Helmholtz,1821-1894)的博士生,1882年起唸的是哥廷恩和柏林大學,1886年獲得博士學位(那時候普魯士的大學年四年獲得博士學位好像是制度,相當於如今的碩士班畢業,待考。另外,普魯士的大學生要讀兩個大學。普朗克大學讀的分別是慕尼黑大學和柏林大學。這是多麼偉大的制度啊。啥時候咱們也能學點兒好呢?)。維恩於1883-1885年間在亥爾姆霍茲的實驗室工作,1890年到柏林帝國物理技術研究機構(Physikalisch-Technischen Reichsanstalt in Berlin, PTR)工作(黑體輻射就是在這裡被實驗+理論地研究清楚的),1893年發現維恩位移定律[W.Wien, Eine neue Beziehung der Strahlung schwarzer Körper zum zweiten Hauptsatz der Wärmetheorie(黑體輻射與熱學第二定律之間的一個新關係), Sitzungberichte der Königlich-Preußischen Akademie der Wissenschaften (Berlin) 1,55-62 (1893)]。維恩在1894年引入了電磁輻射熵的概念[Wilhelm Wien, Temperatur und Entropie der Strahlung(輻射體的溫度與熵), Annalen der Physik 288(5), 132-165 (1894)][4],在文章中還瞎猜了黑體輻射可能的譜分佈(圖7)。
圖7. 維恩在1894 年的文章中瞎猜的黑體輻射譜分佈。這個瞎猜的譜分佈和實際差不多。對於維恩這樣的既親手測量又懂物理還熟悉經典機率函式的人(估計不符合戰略人才的要求)來說,這個結果好理解。
維恩考察處於熱平衡下內有輻射之空腔的絕熱膨脹,空腔緩慢收縮時腔壁反射能量的變化和頻率變化一致(?),從而得出ν/T是絕熱不變數的結論,進一步地得到了所謂的維恩譜分佈公式[Wilhelm Wien, Über die Möglichkeit einer elektromagmetischen Begründung der Mechanik (論力學基於電磁學的可能性), Annalen der Physik, 501-513 (1900)]。實驗方面,維恩1895年製作了黑體輻射源,給出了建造黑體輻射源的原則[O. Lummer, W. Wien, Über die Energievertheilung im Emissionsspectrum eines schwarzen Körpers(論黑體輻射譜的能量分佈),Annalen der Physik und Chemie. Neue Folge. Band 58, 612-669 (1896)]。更多細節見下文。在這個討論過程中,腔體內壁不僅不是黑體,維恩甚至討論腔壁是鏡子的情形。這部分的詳細討論見於Wannier的教科書[G. H.Wannier, Statistical Physics, Dover Publications (1987)]
。此外值得一提的是,1900年維恩假設所有的質量都有電磁起源,並給出了等價關係
。更多關於質能關係的討論見下文及拙著《相對論-少年版》。
必須承認,杜隆-伯替的實驗以及斯臺藩的數值擬合都很酷,維恩的文章我一時轉不過來彎兒,其中有許多的舊概念我不熟悉,推導也生硬,等筆者將來認真研究後再另文介紹。更重要的、也令我非常驚訝的是,維恩在1894年就用了功量子(Arbeitsquantum, 就是能量量子)這個詞(圖8)。實際上,在1900年維恩還用了das electrische und magnetische Quantum(電與磁的量子)這個詞。老天,量子這個詞是在普朗克1900年研究黑體輻射之前那段時間的文獻中已經很普遍了, 更別提黎曼(Bernhard Riemann,1826-1866)1859年和玻爾茲曼1872年、1877年的工作了。筆者願意再次強調,量子的概念遠早於普朗克的工作,正如質能關係遠早於愛因斯坦的工作。
圖8. 維恩1894年論文中所含的Arbeitsquantum字樣。此篇文章署名為Willy Wien,收錄在維恩自己的Wilhelm Wien, Das Wiensche Verschiebungsgesetz(維恩位移定律),Verone (1928)一書中。
用不透明的物體圍成一個封閉的空腔。處於熱平衡態的空腔,其中的光也會達到一個穩衡分佈。在空腔的壁上開一個小孔漏光,相當於這個位置吸收了所有從內部加於其上的輻射,故此處是完美黑體——從空腔壁上小孔漏出的光等價於黑體輻射,這是黑體輻射實驗研究的理論基礎,是當年基爾霍夫提出的。用什麼物理量來描述黑體輻射呢,或者說如何描述空腔輻射和黑體輻射呢??為了照應後來的光的能量量子 ε=hv 的概念,本文中堅持針對頻率 v 來展開關於黑體輻射的討論。
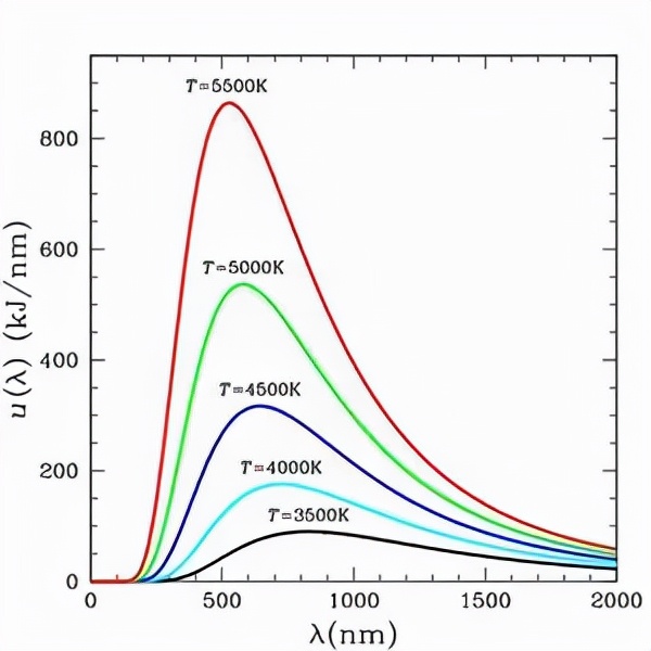
圖9. 許多文獻中出現的黑體輻射曲線。這一看就是沒有實驗感覺的人拿函式畫的圖。地球上的固體物質,熔點最高的要數炭,但也不過4000℃左右(不好確定其熔點哦。想想為什麼)。5500 K下的黑體輻射曲線,肯定不是基於實驗測量值。
維恩公式基於絕熱不變數(adiabatic invariance)的概念。愚以為,這就有深意了。這裡暗合時間和溫度的內在關係,或與量子多體理論中 T+it 的表示式之思想基礎同。維恩分佈函式得自分子動力學的考慮,是建立在“輻射是如何從振動分子發射出來的”此一相當隨意的假設基礎上的,因此受到了瑞利爵士的強烈批判,認為其假設不過是猜測而已。後來,普朗克也不得不做了一些假設(Planck had also been compelled to make assumptions that were somewhat arbitrary),也招致了維恩受到的類似批評。這裡有用區域性實驗資料同函式的吻合來匯出理論的湊合行為,但不是問題的全部。關於黑體輻射的理論研究,其中涉及隨意假設的內在需求,這也是我們學習黑體輻射理論的難點,下文會格外著墨。
到了1896年,黑體輻射有了基爾霍夫定律,Stephan-Boltzmann公式,維恩位移公式和維恩譜分佈,這些內容成了後來的黑體輻射研究的起點和指導原則。一般黑體輻射教科書就是從這裡開始講故事的。實際上,黑體輻射研究吸引了很多物理學家的注意。1895年帕邢(Friedrich Paschen,1865-1947)也想獲得黑體輻射譜函式,在此過程中他證實了維恩位移定律,確定了其中的常數。1896年他還提出了自己的經驗公式,幾乎與維恩的相同。據說,居里先生(Pierre Curie,1859-1906)在大學期間也對黑體輻射作了初步研究(mene une des premieres etudes de rayonnement du corps noir),但未見細節描述。順帶說一句,黑的事物本身是非常有趣的研究課題。勒龐(Gustave Le Bon,1841-1931),那位寫了《烏合之眾》的先生,其實是一位醫生、多才多能的科學家,他的《力的演化》一書就討論過黑光(black light),有apparatus for the study of black light 等小節[Gustave Le Bon, The evolution of forces,D. Appleton and Company (1908)]。參見拙著《磅礴為一》。
黑體輻射的普朗克公式確定以後,黑體輻射反過來可以作為輻射標準,黑色發射體可以作為輻射參照物,故德語裡有Schwarzer Körper(黑體)和Normkörper (標準物)之說——確立輻射標準本就是黑體輻射研究的原意。一個具體的發射體,其發射譜可以用黑體輻射譜近似,從而計算出一個溫度來。圖10是太陽的發射譜,其和普朗克公式只能說勉強符合,由此得到的太陽表面的溫度約在5800K。作為溫度估計,這是很好的結果了。據說宇宙背景接近完美的黑體輻射,溫度為2.728 K。我對此的態度是呵呵,你懂的(從前編神話的人都不敢這麼編。試考慮一下那口天線鍋測量的無線電波段的譜範圍是多寬?強度響應範圍是多大?實際測量結果的噪聲比訊號高几個數量級?…..)。感興趣的讀者,學點物理測量基礎然後去讀幾篇原始文獻吧。真正的偽科學,是看起來像是真科學但細想想哪兒哪兒都不對勁兒的那種。至於那種進一步延伸的技術應用,比如紅外體溫計,說是也依據黑體輻射的性質,具體細節我就不清楚了。不過,我可以給大家分享我的體驗,就是這種所謂的紅外體溫計經常是對著我時沒有數字輸出,弄得測溫的人一臉迷茫。1988年前後有對某區域天體的輻射測量,忽而就不是完美的普朗克輻射體了,忽而又是完美的普朗克輻射體啦,是和不是都產生了一堆論文。你如果知道得到一個普朗克輻射體譜密度分佈實驗曲線有多難,大概對這些所謂的研究會一笑置之。
圖10. 在大氣層以 上測量到的太陽照度隨波長或者光子能量的分佈,大約對應溫度為5800 K的黑體輻射譜。
03
黑體輻射譜測量
在諸多物理學和物理學史文獻中,黑體輻射大多會被從理論的角度加以探討,人們喋喋不休地談論的是什麼普朗克的絕望行動 (Akt der Verzweiflung,我就想不明白,普朗克忙活一個晚上就得到了正確的表示式,絕望從何說起?普朗克的絕望,應該是指他後來理解或者合理化自己的公式時的感覺吧。在如何學著玻爾茲曼將ε→0進行下去時,普朗克有了絕望的感覺。這是普朗克在30年後的一封信裡自己說的),而普朗克公式建於其上的黑體輻射譜得以精確確定所依賴的那些儀器製造和測量方法方向上的努力卻鮮有人提及,可能是因為理解不了吧!實際上,黑體輻射研究是工業進步需求帶來的課題,其資料的獲得體現的是十九世紀末德國優秀的實驗家文化(Experimentierkultur),恰是這種文化為我們帶來了近代物理。關於這一點,熟知近代物理史的人應該沒有異議。
如上所述,1860年基爾霍夫確定了黑體輻射的強度只依賴於溫度和波長的結論[Gustav Kirchhoff, Über das Verhältnis zwischen dem Emissionsvermögen und dem Absorptionsvermögen der Körper für Wärme und Licht, Annalen der Physik 185, 275-301 (1860)]。基爾霍夫寫道(大意):“當一個等溫物體圍成的空間,沒有輻射洩露出去,則在此空間內部的射線束從各方面來說可看作是由完全黑體發射的,只和溫度有關。”找出Kirchhoff’s universal function這個普適函式具有高度的重要性(es eine Aufgabe von hoher Wichtigkeit ist, diese Funktion zu finden)。只有這個問題解決了,那得到證明的基爾霍夫定律之富有成果才會展現出來(Erst wenn diese Aufgabe gelöst ist, wird die ganze Fruchtbarkeit des bewiesenen Satzes sich zeigen können)。基爾霍夫是大神,沒有資料,也一樣獲得關於世界的深刻洞見!後來的發展完全證明了基爾霍夫的先知先覺。
要證明基爾霍夫的定理,做比說難多了。對黑體輻射的實驗測量稍作思考,會發現如下幾個條件可能是必需的:
- 能長時間保持均勻溫度的腔體;
- 能在跨度很大的溫度上長時間保持均勻溫度的腔體;
- 能在很大的溫區內標定溫度的溫度計;
- 能在大的波長範圍內工作的輻射(流量、功率)計;
- 具有好的波長解析度的輻射計;
- 具有弱訊號響應能力的輻射計。
在現實中,上述幾個條件沒有一個是容易實現的(對於任何宣稱只用一臺儀器獲得了黑體輻射譜的說法,我都表示勉為其難的信任),甚至是客觀上無法實現的,這也是黑體輻射測量為什麼研究機構那麼少研究、時間跨度那麼長的原因。在1900年前後似乎只有柏林的帝國物理技術研究機構(簡稱PTR)有這些條件。同時期的帕邢(Friedrich Paschen,1865-1947)在漢諾威做了不多的測量工作。
關於對黑體輻射測量有重要貢獻的一些人物,由於他們幾乎未在中文文獻中出現過,故而對他們的姓名不作翻譯。他們分別是維恩(Wilhelm Wien,1864-1928),Max Thiesen(1849-1936),此外還有德國的近代物理實驗五傑(quintuple of contemporary German experimental physicists),包括帕邢,Otto Lummer(1860-1025), Ernst Pringsheim(1859-1917),Heinrich Rubens(1865-1922),Ferdinand Kurlbaum(1857-1927)。帕邢是在漢諾威開展研究的。這些人,除了維恩和帕邢(在介紹氫原子譜線時會提到帕邢線系)以外,幾乎鮮有介紹,很多量子力學家甚至不知道是Ferdinand Kurlbaum第一個給出了普朗克常數值。其實這些人是對整個近代物理的開啟做出了卓越貢獻,故而被稱為德國近代實驗物理五傑的,但他們對近代物理的貢獻沒能得到公正的評價。這其中的緣由,愚以為是因為物理學家們一般都缺乏理解真正物理實驗的能力——那可是一門需要天分、理論功底、技巧和奉獻的行當。理論家可以對實驗一竅不通,回到家連個燈泡都不會換,但合格的實驗物理學家首先要有深厚的理論功底,好的實驗家才有能力促進理論與實驗的共生(symbiosis between theory and experiment)。仔細回顧一下黑體輻射研究的歷史,看看基爾霍夫、維恩等實驗物理學家的理論水平,當知愚所言不虛。
為了開展黑體輻射實驗研究,首先要做出滿足黑體輻射問題所要求的熱發射體。人們首先用金屬板來實現黑體(腔體),其內表面透過氧化、噴塗等工藝變黑,但是結果都不是很理想。直到1895-1898年間,PTR的Otto Lummer和同事Ferdinand Kurlbaum,Ernst Pringsheim才往前取得了一小步的進步。1895年,Otto Lummer和維恩認識到,既然黑體的輻射可以理解為熱平衡的狀態,這樣處於均勻溫度下的空腔自開孔處漏出的輻射就是黑體輻射了。黑體不是問題,熱平衡才是大問題。為了接近完美的黑體輻射,必須找到實用的辦法,讓空腔處於均勻溫度,允許其輻射透過一個小孔透出去。為此人們用金屬,或者金屬加陶瓷,內壁塗抹炭黑、或者氧化鈾,來實現黑體[Wilhelm Wien und Otto Lummer, Methode zur Prüfung des Strahlungsgesetzes absolut schwarzer Körper(驗證絕對黑體輻射定律的方法), Annalen der Physik 56, 451-456 (1895)]。這樣,Otto Lummer就和Friedrich Kurlbaum一起找到了實現黑體的近似方案。Otto Lummer此人生於1860年, 1884年在柏林的物理研究所給亥爾姆霍茲(Hermann Helmholtz,1821-1894)當助手,1889年轉入PTR的。Otto Lummer和Ferdinand Kurlbaum採用電發光黑體在1898年得到了1600℃下的黑體輻射。
注意一個背景,十九世紀後半葉是電磁學和熱力學蓬勃發展的時期,熵和電磁學的概念都是1860年代前後的產物。PTR的研究課題佈置著眼於當時的工業需求,而且關注基礎問題,因為它的創始人西門子(Werner von Siemens,1816-1892)和亥爾姆霍茲認為“工業不該把科學降格為使女,而是應該擎之為指路女神 (Die Industrie die Wissenschaft nicht zu ihrer Magd degradieren dürfe, sondern sie vielmehr zu ihrer Pfadpfinderin erheben müsse)”。[5]PTR的黑體輻射研究(圖11)動機除了要驗證基爾霍夫定律,還是因為想擁有手持燈標(Lichtnormal)。那時候剛有了氣體放電燈和電燈。氣體放電燈和電燈之間是競爭關係,跟後來的直流電機與交流電機之間的競爭類似。將黑體輻射作為標準,將光源的輻射同恆溫黑體光源作比對,藉助系統的輻射研究與發光物理基礎的新知識可以最佳化光源設計。具體地,就是要回答如Otto Lummer所提的問題:“為什麼此一光源比彼一光源發光多,為什麼發光量隨著溫度增加而增加?” PTR不僅研究空腔輻射體,也研究熱輻射探測器。實際上,沒有輻射探測器的研製,就沒有後來的黑體輻射理論研究。黑體輻射譜的確定需要高靈敏度、寬譜的探測器, 為此特別要發展出紅外光的探測方法。黑體輻射的實驗研究在美國天體物理學家Samuel Pierpont Langley(1834-1906)於1880年引入了輻射計(bolometer. Bolo,本意是扔,與ball一詞同源)以後迅速取得長足的進展。接下來對輻射計的改進,就其學術與技術意義而言,本身就值得大書特書。
圖11. 柏林帝國物理技術研究機構的輻射實驗室
19世紀下半葉,工業發達的德國為現代物理的建立貢獻了許多非常重要的實驗。就黑體輻射而言,貢獻者除了維恩之外,還有前述的德國近代物理實驗五傑, 即帕邢,Otto Lummer,Ernst Pringsheim,Heinrich Rubens,以及Ferdinand Kurlbaum。此外,還有Max Thiesen,其人在1899年提議修正維恩定律。Lummer和Kurlbaum 於1892年對輻射計做了改進,後來Lummer和Pringsheim又做了進一步的改進。至於黑體輻射源,基爾霍夫有關於完美輻射體(perfect radiator)的理論,建議帶有小孔的空腔可用作黑體輻射的研究。維恩和Lummer於1895年實現了這樣的黑體輻射源,Lummer和Kurlbaum於1898年製作的電加熱黑體輻射源,規格為 Φ4×40cmcm。有了輻射源和輻射計(圖12)之後, 維恩和Lummer先驗證的是Stefan-Boltzmann公式。自1895年起,帕邢經過努力,獲得了從400 K到1400 K的溫度下波長在1μm到8μm之間的輻射譜分佈,驗證了維恩位移定律。更長波長區域的測量還得等20多年後才由很多人,特別是Rubens,努力完成的。
圖12. (左圖) Lummer和Pringsheim使用的輻射計。輻射計基於熱測量,入射的光被接收的金屬片吸收,被加熱的金屬片的電阻由Wheatstone電橋精確測量。據說其溫度分辨達10-7 K {曹:我對此說法存疑}。(右圖)Lummer和Kurlbaum 製作的電加熱黑體輻射源
從1896年開始,Lummer和Pringsheim很快就得到了從600 K到~1650 K溫度下波長在1μm到8.3μm 之間的譜分佈,測量結果和維恩譜分佈公式之間的誤差變得明顯起來。後來,他們又把測量的波長範圍延伸到12-18μm,得出結論維恩公式在高溫下以及長波長處有問題。Rubens和Friedrich Kurlbaum {曹:難道是Ferdinand Kurlbaum之誤?}於1900年更是將波長擴充套件到了51.2μm,溫度範圍擴充套件為從85 K到1773K。然後溫度被升到了1600℃。將溫度在1600℃上穩定下來,技術上這是一個巨大的進步。在自然課課堂上做過實驗的人都知道,在1000℃以上實現穩衡、均勻的溫度場,不是一件容易的事兒。
關於這一部分歷史的內容,如下的參考文獻會有幫助:
- Claes Johnson, Mathematical Physics of Blackbody Radiation, Icarus iDucation 2012
- H. Kangro, Vorgeschichte des Planckschen Strahlungsgesetzes(普朗克輻射定律前史), Wiesbaden (1970).
- Dieter Hoffmann, Schwarze Körper im Labor(黑體的實驗室研究), Physikalische Blätter 56(12), 43-47 (2000).
- Sean M. Steward, R. Barry Johnson, Blackbody Radiation: a history of thermal radiation computational aids and numerical methods, CRC Press (2016).
柏林帝國物理技術研究機構1887-1900年間發表的關於黑體輻射研究論文見於目錄Verzeichnis der Veröffentlichungen aus der Physikalische-Technischen Reichsanstalt: 1887-1900, Springer (1901),極具參考價值。
行文至此,加幾句感慨。子曾經曰過:“工欲善其事,必先利其器。”這句話兩千年來被敷衍潦草地解釋為工匠要想做好事情,必須把工具準備利落了,說得好像手裡已經有工具了似的。須知,就自然科學實驗研究而言,工具常常出現在對問題有了認識之後,而工具本身可能是理論認知的結果,實驗研究過程也是theory-laden的。你如何知道問題需要什麼樣的工具呢?工具執行的原理又是什麼呢?這些問題是要有人(透過實踐)回答的。一個好的理論物理學家心裡是裝著物理現實的(請注意,愛因斯坦在ETH的教授職位是實驗物理教授,他老人家自己選的),一個好的實驗物理學家應是通曉理論物理的。就黑體輻射研究者而言,維恩是其中貢獻最傑出者。
註釋
[1] Reciprocity principle這詞兒很重要,筆者有長篇討論,見“物理學咬文嚼字” 078篇。
[2] 我瞎猜,超導、超流也是一種熱力學現象,應參照黑體輻射研究歷程加以研究才好。進一步地,它應該被當作一種極限現象,因而期待某種邏輯上的跳躍。
[3] 鏡子是個對特定的光波長成立的概念。哪有對全波長都表現為鏡子的表面呢。
[4] 這篇文章原文上作者名的寫法是Willy Wien,不知道為什麼。
[5] 這句話對於率先呼喚工業4.0、又要在科學與技術方面奮起直追的當下中國具有特別的意義。
