為什麼宇宙中氦的含量僅次於氫,還說氦是稀有氣體?
答:
氦元素在全宇宙的質量中大約佔了24%,但是在地球大氣中的濃度為5.2 ppm(1ppm=0.0001%)[1],因此稱它為稀有氣體。稀有氣體也被稱為惰性氣體,化學反應上的惰性也是造成氦氣在地球上含量低的一個原因。接下來我們分析一下為什麼氦氣在地球上含量比較低。
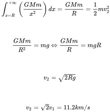
一個物體要逃離地球,必須克服地球的引力。
v₂即為第二宇宙速度,物體要逃離地球,需要達到這個速度。那麼大氣中的氦原子的速度是多少呢?根據麥克斯韋速率分佈函式
進一步得到最概然速率
代入氦氣的原子質量可以得到氦氣在室溫的最概然速率在1500m/s左右。儘管這個速度仍然小於第二宇宙速度,但是我們從分佈曲線可以看到有一部分氦原子的速度是可以超過第二宇宙速度的,這部分氦原子可以逃離地球,特別是位於大氣最外層的氦原子更容易逃離地球。另外,我們由最概然速率分佈表示式看到,分子質量越大,越不容易逃離,因此水分子相較於氦原子更難逃離。
最後還有一個問題,氫分子質量比氦原子更小,為什麼地球上氫元素含量卻很豐富呢?這是因為氫元素可以和其他元素結合形成化合物,比如水,然而氦氣是惰性氣體,難以形成化合物,往往以單質形式存在,因此氦元素很少,氫元素很多。
參考資料:
氦——維基百科
麥克斯韋-玻爾茲曼分佈——維基百科
地球上的水會不會蒸發到太空?
by 有衡





 
			 
			 
			 
			 
			 
			 
			 
			 
			 
			 
			 
			 
			 
			 
			 
			 
			