電極的離子和電子導電特性對於鋰離子電池的效能會產生顯著的影響,而電極的離子和電子電導率則受到電極微觀結構的顯著影響,但是目前我們對電極在化成和迴圈過程中微觀結構的變化的認知還比較少。
近日,美國楊百翰大學的Fezzeh Pouraghajan(第一作者)和Dean Wheeler(通訊作者)等人採用交流阻抗和非嵌入電解液法測量了迴圈對於離子和電子電導率的影響,研究發現常規迴圈會引起電子阻抗的顯著增加,而離子阻抗則相對穩定。
迂曲度和孔隙率是表徵電極微觀結構的常見引數,孔隙率較容易測量,但是迂曲度測量較為困難,為了表徵電極的迂曲度,作者在這裡利用電解液的真實電導率與表觀電導率的比值定義了MacMullin數,根據MacMullin數我們就可以透過電極的孔隙率求的電極的迂曲度。
1.離子電導率測量
為了透過上式獲得電極的迂曲度引數,作者在這裡採用無法在負極嵌入的電解液進行了測量,為了避免殘餘的鋰鹽對於測試結果的干擾,電池解剖後首先採用DMC浸泡至少12h,然後測量殘液的電導率,直到殘液的電導率可以忽略不記為止。清洗後的電極經過切割後製成對稱軟包電池,然後向電解液中注入15mM四丁基六氟磷酸銨的EC:DMC(1:1)溶液。然後採用交流阻抗(0.5Hz-1MHz)對電池進行測試,根據下式計算電極的MacMullin數,其中A為電極面積,l為電極厚度,kin為電解液的電導率。
2.電子電導率測量
電子電導率作者採用柔性四探針法,這裡作者採用四根導線替代了傳統的剛性針。在這裡作者採用了正切和正交兩種方式進行測量,其中正切法第一探針施加電流,第四探針接地,中間兩個探針測量電壓。而在正交法中第一和第四針都施加電流,集流體接地,中間的兩個針測量電壓。採用上述方法,根據Flygare的模型我們可以獲得體相電導率和接觸阻抗。
2.LCO電極的衰降特點
從下圖a中可以看到LCO電極化成和迴圈後厚度出現了輕微的增長,因此電極的孔隙率有所增加(下圖b),從下圖d可以看到電極的迂曲度也出現了明顯的增加,在化成後迂曲度增加約4%,迴圈後增加約49%。從下圖e中可以看到在化成和迴圈後電極的電子電導率也出現了明顯的降低,而接觸阻抗增加較為明顯(下圖f)。對於這種離子和電子傳輸阻抗的增加,一種解釋認為電極在嵌鋰和脫離過程中由於體積的變化引起應力的積累,導致電極結構的破壞,這一點我們可以從解剖後的電極照片中看到,迴圈後的電極由於應力的積累出現了明顯的褶皺。我們在實驗中觀察到了迂曲度的上升主要是因為電池在高溫(55℃)和高電壓(4.4V)電壓下迴圈,這會加劇電解液的分解會加速CEI膜的生長,同時高溫下的導電劑和粘結劑的遷移也會導致電極的迂曲度的增加。
下表中作者對比了LCO電極不同阻抗在新電極、化成後和迴圈後的變化,可以看到電子阻抗變化最為明顯,但是整體上看離子阻抗在電池阻抗中佔比最大。
3.LFP電池的特點
從下圖a中可以看到在迴圈過程中LFP電池的容量持續降低,從下圖b和c可以看到LFP電極在迴圈過程中離子阻抗和電子阻抗沒有出現顯著的衰降,電極的厚度也沒有出現顯著的變化,僅有電極的基礎阻抗出現了輕微的增加,這表明LFP電極在迴圈中表現出了良好的穩定性。
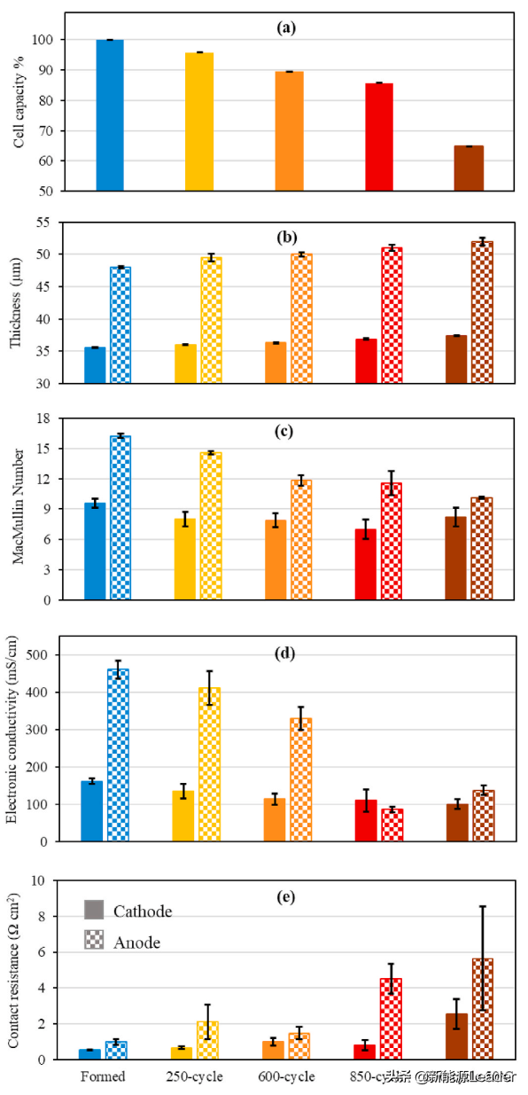
4.NCM電池
下圖a為NCM電池在不同迴圈次數後的容量變化趨勢,可以看到電池在在50℃下迴圈850次要比常溫下多衰降20%,從下圖b可以看到在迴圈過程中電極的厚度輕微增加,50℃迴圈850次的電極厚度增加最多,達到了5%。下圖c中對比了不同迴圈次數的NCM電極的MacMullin數的變化,可以看到在常溫下迴圈過程中迴圈過程中電極的MacMullin數緩慢下降,這可能來源於電極膨脹引起的孔隙率增加,而在50℃下迴圈850次電極體積膨脹3.7%,MacMullin數卻下降了27%,這表明除了孔隙率增加外,電極內還出現了新的離子擴散通道。從下圖d中看到在常溫下隨著迴圈次數的增加,電極的電子導電性逐漸降低,高溫下迴圈後的正極的電子電導率比常溫迴圈的電池更低,這表明高溫加劇了正極的分解。除了體相的電子電導率的降低,迴圈過程中電極與集流體的接觸電阻也出現了明顯的增加。
在這裡作者也對負極迴圈過程中的變化進行了研究,從下圖b中能夠看到負極在迴圈的過程中厚度也在持續增加,50℃高溫迴圈後的負極厚度膨脹最大,達到了8%。從下圖c可以看到隨著迴圈次數增加,負極的MacMullin數逐漸降低,這與我們通常認為的SEI膜持續生長影響離子擴散相反,這表明SEI膜生長對於電極的離子擴散影響較小或者還有其他因素提升離子傳輸通道。同樣的我們也注意到負極的電子電導率隨著迴圈的進行逐漸降低,而且負極的電子電導率下降更為顯著,這可能與天然石墨在充放電過程中的體積膨脹比NCM正極更大,從而使得負極在迴圈中產生更多的機械損傷。從下圖e中我們能夠注意到負極的接觸阻抗比正極更大,這表明負極與集流體的接觸更差。
接著作者對採用混合正極(NCM、NCA和LMO)的方形電池進行了分析,作者迴圈1200次後的電池的正極在下圖所示的7個位置進行了取樣分析。下圖c中作者對比了化成後和迴圈後的電極在上述的7個位置的MacMullin數的變化,從圖中能夠看到從位置3開始迴圈後的電極的MacMullin數就要低於化成後的電池,這與電極厚度的變化是一致的,這一現象表明電池內部溫度、電流分佈不均引起了電池內部衰降的不一致。
Fezzeh Pouraghajan的研究表明在迴圈中電極的電子阻抗會出現顯著的增加,而離子阻抗並非如我們預想的那樣增加,反而是出現了一定的降低,這主要是因為迴圈過程中由於應力應變的存在引起活性物質顆粒的破碎,以及導電劑、粘結劑的遷移引起的電極離子通道的變化。
本文主要參考以下文獻,文章僅用於對相關科學作品的介紹和評論,以及課堂教學和科學研究,不得作為商業用途。如有任何版權問題,請隨時與我們聯絡。The effects of cycling on ionic and electronic conductivities of Li–ion battery electrodes, Journal of Power Sources 492 (2021) 229636, Fezzeh Pouraghajan, Andrea I. Thompson, Emilee E. Hunter, Brian Mazzeo, Jake Christensen, Ram Subbaraman, Michael Wray, Dean Wheeler
來源:新能源Leader,文/憑欄眺











 
			 
			 
			 
			 
			 
			 
			 
			 
			 
			 
			 
			 
			 
			 
			 
			 
			