桌球打的好不好,有的人全看命運,信奉“大力出奇跡”。
有的人則全憑手感,認為透過不斷練習,自然能掌握那些奇妙的擊球角度,並達到爐火純青的地步。
你知道我有多努力嗎
但其實,桌球遊戲的擊球方式、運動軌跡都包含著豐富的數學和物理知識。這些知識操控著桌球的走勢,掌握了這些理論知識,你也可以成為一名桌球遊戲大師。
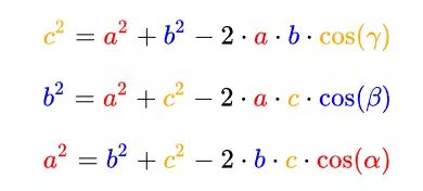
必備知識1:正弦定理
如果我們將圖中的A點看作白球,B點看作目標球,C點看作球洞的話,要怎樣操作才能達到進球的效果呢?這時候理解正弦定理可以幫助你找到最佳的進球方案。正弦定理公式如下所示:
在這個公式中,R為平面三角形ABC外接圓的半徑。
必備知識2:餘弦定理
同樣在上圖中的任意三角形中,合理利用餘弦定理公式,也能幫助你找到用白球A將球B擊入球洞C點的最佳方案。
餘弦定理如下所示:
必備知識3:反射定理
如上圖所示,紅色為球初始運動線,藍色為球反射線,灰色矩形可看作球檯邊庫,紫色中線為分介面中間的法向量,則可以得出如下假設圖形:
透過這個反射圖形假設,我們可以更好的想象球撞庫後的運動軌跡。
必備知識4:碰撞原理
①正面碰撞(完全彈性)
兩物體碰撞之後系統的動能和動量守恆,沒有額外的能量轉換。
結論為:當兩球質量相等時,進行完全彈性的理想正面碰撞後,兩球的速度會發生交換。
②正面碰撞(完全非彈性)非彈性碰撞指的是,發生碰撞前後物體的動能有一部分轉化為了內能,而完全非彈性指的是儘可能最大化地將動能轉化為內能,也就是兩個物體共同以一個速度運動。
③實際碰撞實際碰撞是混合完全彈性和完全非彈性兩種情況的碰撞。如果定義完全彈性正碰之後兩球速度為V1,1,V2,1;正碰之前兩球速度為V1,0,V2,0,檯球所用樹脂材料的恢復係數為k(好材料的恢復係數k≈1),則有:
當k=0時為完全非彈性碰撞,當k=1時,為完全彈性碰撞。對於一個實際碰撞問題來說,兩球碰撞後速度和內能轉化,都可以用k來表示,具體表示為:
此外還包括像向量分解;二維碰撞的一般情況和特殊情況;剛體動力學;轉動慣性與旋轉能量:勻質球的轉動慣性,剛體定軸轉動定律;摩擦力:靜摩擦、滑動摩擦與滾動摩擦力等一系列必備知識點……
瞄準技術
熬過了漫長又枯燥的基礎理論知識,想必你一定是一個有耐心又有毅力的桌球遊戲愛好者,同時也具備了學習更多技能的理論基礎。那麼要想在實戰中掌握如何擊球的秘訣,瞄準技術便是接下來要學習的主要內容。相信大家明白一個道理,當我們觀察一個物體時,物體離我們越近,那麼它就會顯得大一些,如果離我們越遠,看起來就會顯得小一些,事實上,物體的實際大小沒有改變,這就是所謂的視覺效應。視覺效應會影響我們對母球大小的判斷,從而影響我們瞄準的角度。
所以當我們近距離瞄準時會主觀覺得球顯得很大,而遠一點則顯得很小。
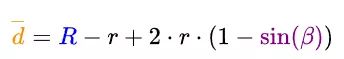
那麼還有兩個問題需要我們討論:首先,母球變大對擊球薄厚的影響;其次,母球球心與進球點之間、目標球球心之間的距離會使母球看起來變大多少?首先我們母球變大後擊球薄厚影響作如下解釋,如上圖所示,兩球最大重合厚度為d[上劃線],其中灰色大圓為母球變大後大小,小圓為母球原本大小,紅色為目標球大小,灰色小圓和紅色圓最大重合半徑為,則有:
第二個問題關於母球與各個球心之間距離則有如下解釋,如上圖所示,D代表母球與進球點之間的距離,母球球心與目標球心之間距離D0,角度α,β,則可得出各變數之間關係為:
走位技術
最後我們來聊聊大家最感興趣的話題,也是桌球遊戲的進階技能——走位技術。走位技術就是透過擊打母球的不同位置來控制母球的運動軌跡。![]()
0:中杆/定杆,理想情況下,母球不加任何旋轉,只會滑動。
1:高杆/跟杆/上旋球,母球旋轉向前,碰撞後有跟隨效果。
2:低杆/縮杆/下旋球,母球旋轉向後,碰撞後向後行進。
3&4:邊塞,3,4分別代表左右,出杆後母球分別向右向左旋轉,可改變母球碰庫後的反彈角度。
5:左上塞,效果是高杆和左塞的疊加。
6:右上塞,效果是高杆和右塞的疊加。
7:左下塞,效果是低杆和左塞的疊加。
8:右下塞,效果是低杆和右塞的疊加。
A:斯登跟進,母球擊中目標後跟進的距離比高杆跟進的距離要短。
C:斯登後退,母球擊中目標後後退的距離比低杆後退的距離要短。
B&D:斯登塞,母球擊中目標後改變運動方向。
透過擊打母球的上述位置可以達到相應的母球運動效果。學了這麼多高階知識和公式,“大力出奇跡”的舊觀念就趕快拋棄吧,很多人總是保持相同的力度擊球,這樣是不可取的,擊球的力度應該隨著不同情況而隨時改變,這個需要長久的練習,才能精確掌握不同角度下應該採用的出杆力度。以上就是本次桌球遊戲相關的公式和技術講解了,各位桌球愛好者們,牢記公式,勤加練習,“一杆清檯”不是夢!
END
稽核:朱廣思,北京科普作協會員。
蝌蚪五線譜原創文章/轉載註明來源
