提示:本作較為硬核,為了防止讀不懂,您可以先閱讀筆者前日所作:《四維時空的形式》系列科普內容。(文章在筆者主頁可以找到)
今天文章的主角是:質量,能量,哈密頓函式Ψ
    首先,讓我們繼續講作用量S:它是這個積分關係式。
    上式中,S為作用量,c為光速,m為粒子的質量 dt為無限小時間間隔, 積分符號代表了無窮加和的思想。
接著,我們對它求個導,可以得出:
我們發現:
這不正是相對論中能量E的表示式嘛!
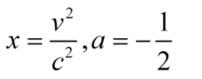
根據泰勒公式:我們有這個表示式:
將式中的x和a等效替換掉
因為我們日常生活中的速度遠遠地小於光速c,我們可以得到:
這就不是動能公式和質能公式的相加嗎?
    
        上面兩個是我們初中就知道的公式
    在專業領域裡,我們常常把m用m0表述,稱它為:靜能,寓意“物體相對靜止時具有的能量”而動能公式1/2mv^2,想必大家已經耳熟能詳了。
前方核能:只需瞭解即可,無需深入理解原因:
一個靜止物體的能量除了組成其粒子的靜能外,還括粒子的動能和它們的相互作用能。在相對論力學中,質量守恆定律並不一定成立,複合物體的質量並不等於其各部分質量之和(靜止質量和引力質量並不一定相等),只有包含粒子靜能在內的能量守恆定律是成立的。
    
        我們想象中的能量的樣子
接著,今天的壓軸嘉賓閃亮登場:他就是能量-動量哈密頓函式:
    
        哈密頓函式
    字母Ψ其實就是能量E,為什麼用Ψ呢,因為它長得好看。
也可以寫成這樣子:
    
        動量p是能量Ψ的函式
它的影象大致是:
當速度v遠小於光速c時,我們有:
    
        經典體系的哈密頓函式
可以看出,當質量不變時,它只是個一次函式(y=kx+b型)
整理文獻不易,喜歡就請點個關注吧,筆者寫作的極大動力來自諸君的支援








 
			 
			 
			 
			 
			 
			 
			 
			 
			 
			 
			 
			 
			 
			 
			