機器之心分析師網路
作者:Wu Jiying
編輯:H4O
本文作者結合三篇近期的研究論文,簡述了在增材製造(3D列印)領域中強化學習方法的應用。增材製造透過降低模具成本、減少材料、減少裝配、減少研發週期等優勢來降低企業製造成本,提高生產效益。因此,增材製造代表了生產模式和先進製造技術發展的趨勢。
0 引言
我們在這篇文章中討論一個加工製造領域的問題:增材製造(Additive Manufacturing,AM)。增材製造(Additive Manufacturing,AM)俗稱 3D 列印(3D Printing),是一種融合了計算機輔助設計(Computer-aided design,CAD)、材料加工與成型技術,以數字模型檔案為基礎,透過軟體與數控系統將專用的金屬材料、非金屬材料以及醫用生物材料,按照擠壓、燒結、熔融、光固化、噴射等方式逐層堆積,製造出實體物品的製造技術[1]。相對於傳統的減材製造(Subtractive Manufacturing)技術,增材製造是現代工業正規化的一種有效的數字方法,已經在全世界範圍內得到了廣泛的關注。增材製造透過離散 - 堆積使材料逐點逐層累積疊加形成三維實體,具有快速成形、任意成型等特點。
透過利用 3D 計算機輔助設計模型逐層累積疊加製造物體,增材製造具有以下優點[2]:(1)它能創造出具有複雜形狀的產品,例如拓撲最佳化結構,這些產品利用傳統的鑄造或鍛造工藝是很難實現的;(2)它可以用於生成材料的新特性,如位錯網路(dislocation networks)[2],這對於學術研究人員來說是非常有意義的;(3)它能夠減少材料浪費,能夠為工業生成節省成本。不過增材製造本身還存在一些問題,與傳統的透過減材製造技術生成的鑄造和鍛造零件中出現的缺陷不同,AM 零件中存在的缺陷包括:由於缺乏融合和氣體夾帶而產生的孔隙,相對於印刷方向的垂直和平行方向的嚴重各向異性的微觀結構,以及由於高冷卻速度和大溫度梯度的巨大殘餘應力而導致產生的變形等。因此,更好地理解粉末的冶金引數、印刷工藝以及 AM 零件的微觀結構和機械效能之間的複雜關係至關重要,也是推廣應用增材製造技術的關鍵。
增材製造涵蓋了多種成形方式,有鐳射增材製造(Laser Additive Manufacturing,LAM )、電子束增材製造(Electron beam additive manufacturing,EBM)以及電弧增材製造(Wire Arc Additive Manufacture,WAAM)等粉末床熔成型(Powder Bed Fusion ,PBF)方法,還有黏合劑噴射(Binder jetting,BJ)、熔融沉積式 (Fused Deposition Modeling,FDM)材料擠出成型方法等。其中,LAM 是目前應用比較多的工藝,已經應用於一些結構複雜、尺寸較小、表面精度高的零部件列印中。但是,一些定製大尺寸、強度高的零部件不適於用 LAM 成形。針對這些更大型、效能要求更高的零部件,WAAM 則是首選。作為示例,具體的粉末床熔成型 AM 技術路線分類圖如圖 1 所示[4]。
圖 1. AM 技術分類[4]
我們在這篇文章中,並不具體探討 AM 技術中存在的問題與改進方式,而是聚焦於強化學習(Reinforcement Learning)在 AM 中的應用。近年來,強化學習已經成為解決相對高維空間中複雜控制場景的一種有效方法,並應用於不同的場景中。其中,深度強化學習(Deep RL,DRL)是一種深度學習方法,它透過收集模擬環境中的經驗和反饋,反覆改進最初的隨機控制策略。強化學習演算法在解決未知工藝引數和動態變化的條件方面顯示出巨大的優勢,因為它們能夠利用更豐富的資訊來告知決策過程。在增材製造領域中,RL 也可用於構建複雜的控制策略以解決缺陷形成問題,以及多材料複合過程的過程質量監控、學習 - 糾偏、多裝置排程等問題。
我們根據三篇近期發表的論文一起來了解增材製造中的強化學習。其中,第一篇文章針對原位工藝學習和控制問題,提出了一種基於模型的強化學習與矯正框架。該框架可以應用於機器人電弧增材製造的過程控制,以使得列印零件具有更好的表面光潔度和更多的近淨形狀(near-net-shape)的輸出[5]。第二篇文章提出了一種提高鐳射粉末熔床產品質量的深度強化學習方法。透過迭代最佳化策略網路以最大化熔化過程中的預期獎勵,可透過近端策略最佳化(Proximal Policy Optimization,PPO)演算法生成能夠減少缺陷形成的控制策略[6]。第三篇文章主要是使用光纖布拉格光柵(fiber Bragg grating,FBG)作為聲學感測器對 AM 過程進行現場和實時監測,並使用強化學習(RL)進行資料處理,是 RL 在 AM 現場監測中的應用[7]。
1 基於模型的強化學習與校正框架在機器人電弧增材製造過程控制中的應用[5]
1.1 背景介紹
電弧增材製造(Wire Arc Additive Manufacturing,WAAM)是一種定向能量沉積製造技術,利用運動系統在基體上逐層構建金屬零件。通常情況下,它利用電弧作為能量來源,電線作為原料,工業機器人手臂作為運動系統。最近,這種技術由於其高沉積率和低買飛比(buy-to-fly ratio),在生產近淨形(near-net-shape)的大型金屬零件方面得到了學術界和工業界越來越多的關注。WAAM 透過在水平(多道(multi-bead))和垂直(多層(multi-layer))方向沉積重疊的焊珠來構建 3D 零件,每個沉積層都作為後續層的基底。因此,重要的是要確保列印層質量足夠高,以便為後續層的沉積提供一個較好的基底。不規則的層表面通常會導致幾何誤差的累積,隨著列印的垂直推進而導致不理想的凹 / 凸表面,如圖 2 所示。
圖 2. 單道(single-bead)方法通常不夠精確,無法預測 3D 列印的輸出行為,通常會導致累積誤差(如圖中示出的不規則或凹凸表面光潔度)。另一方面,多層多道(multi-layer multi-bead,MLMB)方法開銷相當大。本文的工作為多層多道工藝提供了一種經濟有效的方法,即在列印實際零件時透過現場學習不斷改進,從而獲得更好的表面光潔度和更接近近淨形(near-net-shape)的輸出。
為了解決 MLMB 列印的單道模型不準確性問題,研究人員引入了基於視覺的複雜控制方法,透過實時調節工藝引數和沉積,以提高列印輸出的質量。然而,實施這樣的反饋控制需要開發一個複雜的線上監測系統,由於存在高強度焊接電弧,該系統容易出現噪聲和不準確的情況。此外,還可以透過層間銑削(inter-layer milling)來達到所需的表面平整度。但是這種混合製造方法由於混入了傳統的減材製造工藝,會造成時間和材料的浪費,從而影響了 WAAM 製造工藝本身的成本效益和優勢。
本文提出了一個用於 MLMB 列印的綜合學習校正框架(an integrated learning-correction framework),該框架引入了基於模型的強化學習方法。在該框架中,過程模型被反覆學習,隨後被用來補償每一層的平整度誤差,"原位(in situ)" 補償。這樣做的好處是,這個學習框架可以與零件的實際列印結合起來使用(因此是 in situ 的),最大限度地減少了所需的前期訓練時間和材料浪費。作者表示,這項工作是一項初步研究,也是向機器人 WAAM 的原位學習正規化邁出的第一步,目的是促進 MLMB 工藝研究,在保證執行和交付製造功能的前提下提高列印質量。
1.2 基於模型的強化學習方法介紹
根據強化學習理論,時間步驟 t 內的 agent 狀態為 s_t,採取某些動作 a_t 後,會得到獎勵 r_t=r(s_t,a_t),並根據未知的動態函式 f:SxA→S 轉換到下一個狀態 s_t+1。強化學習的目標是在每個時間步驟中學習一個策略,該策略能夠使 agent 採取使未來獎勵總和最大化的動作。上述方法可以在已知和未知環境動態模型的情況下實現,分別稱為基於模型(model-based)和無模型(model free)的 RL,每一種方法都有自己的優點和缺點。
無模型 RL 的優點是能夠對廣泛的任務進行策略學習,缺點是它需要非常多的樣本資料才能有效。而基於模型的 RL 的樣本效率更高,但需要對環境動態有一定了解。作者分析,由於原位 WAAM 工藝研究的學習框架的目的是要求系統能夠根據最初的幾個樣本學習後就能夠學習到準確的工藝輸入 - 列印輸出關係,因此基於模型的 RL 更適合於本文討論的工作。
在基於模型的 RL 中,使用系統動態模型來進行預測,隨後使用該模型進行動作選擇。令 ^f_θ表徵學習到的離散時間動態函式。透過解決最佳化問題,可以確定未來 H 個時間步驟的動作:
動態函式 ^f_θ可以透過交替收集 N 個新的資料點和使用匯總的資料重新訓練模型來迭代學習,以減弱噪聲,從而提高模型的預測效能。
1.3 綜合學習校正框架介紹
圖 3 給出了本文提出的利用 Kriging 動態函式的 WAAM 過程的綜合學習校正框架。框架中的 agent 表示列印層路徑上的一個離散點(waypoint)。狀態空間 s_t 包括可觀察到的列印輸出行為(高度、寬度、溫度、聲音等),動作空間 a_t 包括可能的輸入工藝引數(割炬速度、送絲率、噴嘴到基材的距離、割炬角度等)。所有 agents 的共同目標是實現均勻的表面高度。
圖 3. 本文所提出的應用於 WAAM 過程的綜合學習矯正框架(左)和相應的 RL 表示式(右)
1.3.1 第一次迭代初始化
對於第一次迭代,通常採取隨機動作並用於初始化第一個訓練資料集。然而,焊接是一種危險的操作,在其可接受的工藝引數之外操作是不安全的。因此,作者將動作空間限制在焊接過程視窗內,即焊接過程引數的下限和上限範圍內,而且這個上限、下限值對於不同的材料是不同的。
1.3.2 學習動態函式
1) 訓練資料集。為了學習動態函式,需要建立一套訓練資料集。由於列印路徑是一個連續的軌跡,在將該軌跡其離散為 waypoints 後產生了多個 agents,每個 agent 都有自己的區域性狀態,並可以被分配獨立的動作。因此,作者採用了一個針對多 agent 的並行 RL 框架,其中列印路徑上的 waypoints 作為多個 agents 並行學習相同的任務,並彙集他們的經驗進行訓練更新,從而提高了學習率。訓練資料集後,每個列印層都為:
其中,n_t 表示每個時間步驟(層)t 的 agents 的數目。agent 可以在每個時間步驟中進入和離開(即被更新),以適應列印複雜幾何形狀的層間列印路徑的變化。
2)Kriging 動態函式。在過程建模中,神經網路一直是單道過程研究中常用的方法。作者將學到的動態函式 ^f_θ引數化為高斯過程迴歸(Gaussian Process Regression,GPR)模型,也被稱為 Kriging 模型,該模型在有噪聲的觀察和小資料集的情況下能夠實現更好的預測。
GPR 模型是根據觀察到的輸入 - 反應對 (X, Y) 構建的。該模型根據輸入空間中的評價點的定位,預測未評價的輸入 X 的反應 Y。假定觀察到的和未觀察到的反應(Y 和 Y),都具有有限維的高斯分佈。基於貝葉斯定理,高斯分佈 P 表示為
其中,平均值的集合,μ,可以用多項式迴歸模型βH 表示,H 是一組設計引數的基礎函式,可以採取任何順序,β是相應的係數向量,其先驗為高斯β~GP(b,B)。最優預測為:
預測方差為:
基於 Kriging 模型,我們可以學習一個動態函式,預測在動作 a_t 下 agent 的狀態 s_t 的變化,即:
其中,學習過程使用的是累積的訓練資料集 D_T。
1.3.3 目標描述
在強化學習中,目標(goal)定義了 agent 需要達到的狀態。在列印完第 t 層後,透過掃描頂層獲得表面點雲 z_t(x; y)來量化該層的表面質量以及進行必要的修正。為了更新時間步驟 t+1 的目標,將下一層的列印路徑切片化處理後根據掃描層的最大高度 z_t,max 生成三維 CAD 模型。作者將一個簡單的交替方向策略應用於列印路徑,以減輕電弧撞擊和熄滅的影響[8]。全部 agents 的共同目標是實現統一的表面高度:
其中,l 表徵列印下一層後的預期列印高度增量。
1.3.4 獎勵函式和策略
獎勵函式是這樣制定的:如果 agent 選擇了預計會導致偏離預期目標狀態的動作時,就會受到懲罰。agent 得到的獎勵是來自所學動態函式的預測σ_θ的預測標準偏差的加權 k 值,以鼓勵 agent 進行小範圍內的探索,特別是在最初的學習迭代過程中。每個 agent i 的獎勵函式定義為:
此外,在獎勵函式中也納入 agent 當前的高度狀態(s^z)_i,t,因此鼓勵每個 agent 選擇實現下一個目標狀態的動作,同時糾正自己當前與上一個目標狀態的偏差。根據獎勵函式,每個 agent i 會根據貪婪策略選擇獎勵最大化的行動,即
針對本文所述問題中涉及到的非線性動力學函式,作者採用非機率的系統抽樣方法進行求解:從動作視窗的下限開始,以固定的抽樣間隔生成 K 個候選動作集,直到上限結束。學習完成後,使用學到的動力學函式預測相應的狀態、計算獎勵,並選擇具有最高預期獎勵的候選動作集。
Algorithm 1 總結了用於 WAAM 的現場工藝研究和控制的基於模型的並行強化學習方法。在列印一個全新的零件但繼續學習的情況下,第 1 行和第 2 行可以省略。
1.4 實驗環境設定
為了證明和評估所提出的用於過程研究和控制的綜合學習 - 糾正框架的可行性,作者在新加坡科技大學(SUTD)開發的機器人 WAAM 系統上實施了該框架,如圖 4 所示。該系統包括一個機器人操縱器(ABBIRB 1660ID),一個配備焊槍(Fronius WF 25i RobactaDrive)的焊接電源(Fronius TPS 400i),一個由三個線性軌道(PMI KM4510)組成的笛卡爾座標機器人,由三個舵機(SmartMotorSM34165DT)驅動,以及一個 2D 鐳射掃描器(Micro-Epsilon scan-CONTROL 2910-100)。龍門系統被控制在三維空間中移動線型鐳射掃描器,以獲得列印層表面的三維點雲。
圖 4. 新加坡科技設計大學(SUTD)開發的機器人 WAAM 系統
為了初步評估所提出的學習框架,作者把焊槍速度和送絲速度作為 agent 的動作,把列印高度作為觀察到的 agent 狀態,因為它們是已知的影響列印行為的關鍵變數和引數,對於調節列印動作至關重要。如圖 5 所示,agent 的區域性狀態是從打印表面的鐳射掃描輸出中獲得的,方法是取距 agent 半徑δ毫米內的列印高度的平均值。
圖 5. 在本文所提出的框架中,該層列印路徑上的每個離散點都作為一個具有區域性狀態和獨立動作的 agent,進行基於模型的並行強化學習並校正。其中,agent 的本地狀態是透過取距離 agent 一個單位內的觀測值的平均值來獲得的。
為了證明該方法的穩健性和適應性,作者使用兩種不同的金屬,青銅(ERCuNiAl)和不鏽鋼(ER316LSi)進行了實驗。對於青銅材料,列印了兩個尺寸為 50x50x50mm 的六面體,一個使用所提出的學習校正框架,一個使用經典的單道工藝,以便直接比較所提出的學習框架的效果。對於不鏽鋼材料,作者使用單道工藝列印了一個六面體,以進行結果比較,而使用本文提出的學習校正框架列印了一個更復雜的代表扭鎖銷形狀的零件,其總高度為 460ms。在整個列印過程中有幾個不同的沉積路徑,最高高度為 360ms,以證明使用本文提出的學習框架列印具有不同列印路徑的實際零件並獲得更整齊的近淨形(near-net-shape)輸出的可能性。作者在不使用本文所提出框架的情況下,列印了剩餘的 100ms 的扭鎖銷,以便在不浪費材料的情況下直接比較輸出。
1.5 實驗結果分析
在列印零件之前,作者先進行了單道研究實驗以獲得工藝引數視窗值,作者使用文獻 [9] 中的方法確定具體的工藝引數以及收集一些資料以初始化所學的動力學函式。圖 6 給出了所進行的單道研究的輸出樣本。對於單道研究,作者使用不同的工藝引數列印了幾個焊珠。然後使用移動的二維鐳射掃描器對焊珠進行掃描。首先使用移動平均濾波器對點雲資料進行過濾,並從過濾後的資料的二階導數中提取焊珠的趾部點。在單道研究的基礎上,作者最終為實驗選擇的工藝視窗是:青銅的割炬速度為[6, 10]mm/s,送絲速度為[6, 7]m/min。不鏽鋼的割炬速度為[7, 13]mm/s,送絲速度為[3, 5]m/min。
圖 6. 單道研究的照片,與分析的點雲疊加以提取資料
1.5.1 青銅材料
在青銅器實驗中,作者使用單道研究結果推薦的引數列印了一個六面體,而另一個六面體則透過本文所提出的學習框架列印。圖 7 給出了使用基於 agent 的本地狀態的演算法選擇的動作樣本。然後,圖 8 顯示了列印零件的最終輸出。從照片中可以看出,利用本文提出的框架生成的列印零件(左邊的六面體)具有更均勻的表面高度,從而生成更接近近淨形的輸出。
圖 7. 基於 agent 的本地狀態選擇的動作示例
圖 8. 青銅材料的列印輸出:使用本文提出學習框架(左),以及使用單道推薦的引數(右)
1.5.2 不鏽鋼材料
對於不鏽鋼材料,作者使用單道工藝的引數列印了一個六面體,以進行結果比較,同時使用所提出的學習框架列印了一個更復雜的實際零件:一個高度為 460mm 的扭鎖銷的形狀,最高高度為 360mm。該材料的剩餘 100mm 不使用框架,而是直接比較列印輸出,如圖 9 所示。從照片中可以看出,本文框架列印的結果零件(左)具有平坦的表面,而沒有使用該框架的列印零件(右)則表現出一個深谷,且隨著列印零件高度的增加而不斷累積。
圖 9. 列印輸出不鏽鋼扭鎖銷的零件
1.5.3 定量分析
為了進一步定量比較列印零件的表面均勻性,利用表面掃描輸出計算每個列印層的表面高度的標準偏差(STD),青銅材料的數值見圖 10,不鏽鋼列印品的數值見圖 11。從圖中可以看出,使用推薦的單道引數列印的層的表面高度的標準偏差隨著兩種材料的列印高度的垂直髮展而有增加的趨勢。
圖 10. 使用學習校正框架列印的青銅材料層表面光潔度的標準偏差(STD)與單道研究的推薦引數之間的比較
圖 11. 使用學習校正框架列印的不鏽鋼層表面光潔度的標準偏差(STD)與單道工藝推薦引數之間的比較
作者表示,從實驗結果來看,使用本文提出的學習框架獲得的列印輸出表現出更好的表面光潔度和更多的近淨形狀。這證明了本文提出的學習架構在原位工藝學習和控制方面的可行性。這項研究的研究結果為進行具有成本效益的 MLMB 過程學習提供了可能性。
2 基於深度強化學習的鐳射粉末床熔的熱控制方法[6]
2.1 工藝背景介紹
本文為來自 CMU 的研究人員於 2021 年發表在 Additive Manufacturing 中的一篇文章。鐳射粉末床熔融(Laser Powder Bed Fusion,LPBF)是 AM 的一個子類別,它透過使用熱源將金屬粉末層熔融在一起而創造出熔融產品。粉末床融合(Powder Bed Fusion,PBF)方法已被用於從金屬合金中構建複雜的晶格產品,並在生物醫學和航空航天工業中應用。然而,由於 PBF 生產的零部件容易出現缺陷和低劣的物理效能問題,進而導致特定應用的失敗,因此這些方法的廣泛推廣使用仍面臨著挑戰。這些缺陷包括不良的表面處理、增加的孔隙、分層和開裂,導致低劣的機械效能和不良的幾何一致性等等。以前的實驗研究表明,與掃描過程有關的熔融區的特性是造成成品缺陷的重要因素。熔池可以產生鑰匙孔和缺乏融合的孔隙,而熔化過程中產生的溫度梯度也可以影響形成的微觀結構並導致裂縫。為了避免在掃描路徑中由於不利的熔池行為以及過熱而產生的缺陷,最好能夠根據掃描軌跡中不斷變化的溫度分佈調整工藝引數。粉末床融合是一個固有的複雜的多尺度過程,發生在粉末和連續尺度的物理效應決定了最終材料的特性。本文工作聚焦於連續尺度的影響,忽略熱源的對流和輻射傳熱,以考慮熱傳導對溫度場的影響。
在傳統的應用中,通常透過引入經典的最佳化方法制定控制策略以減少機械缺陷的發生。然而,這些方法要求模型的階數較小,並且考慮到計算費用,它們能夠處理的資料量也受到限制。此外,一些統計方法也被用來最佳化 AM 工藝,如方差分析(analysis of variance)和響應面方法(response surface methodology)等,這些資料驅動的方法由於缺乏對物理環境的感知而受限。當然,陸續已有一些更高階的分析、最佳化方法不斷引入 LPBF 問題中。
近年來,深度強化學習(Deep Reinforcement Learning,DRL)已經成為解決相對高維空間中複雜控制場景的一種有效方法。DRL 是一種深度學習方法,透過收集模擬環境的經驗和反饋,對最初的隨機控制策略進行迭代改進。強化學習能夠利用資訊生成決策,非常適用於解決 LPBF 的未知工藝引數和動態變化問題。本文提出了一個 DRL 框架,以建立一個複雜的控制策略來解決 AM 缺陷形成的關鍵機制,即在熔化過程中熔池深度的變化。
2.2 方法介紹
2.2.1 模擬描述
在這項工作中,作者考慮了移動熱源在矩形域中的熱傳導,使用 [10] 中開發的框架來提高效能。為了使強化學習在計算上可行,需將粉床融合的複雜多尺度效應抽象為材料的連續溫度分佈。為了做到這一點,首先要做如下幾個假設。(1)只考慮傳導的傳熱模式,(2)熱效能與溫度無關,(3) 粉床被建模為固體連續體,忽略表面粗糙度效應。將該過程建模為與移動熱源相關的二維傳導,其更新方程如下:
(2.1)
其中,D 表徵熱擴散性,Θ根據密度和熱容量對熱源 Q 歸一化。該過程相關引數列於表 1。當公式(2.1)使用無限介質中熱傳導的 Green 函式進行求解時,生成公式(2.2),公式(2.2)具體描述了溫度場 T(x, t)。進一步,公式(2.2)可以被分解為對溫度解決方案的兩個獨立貢獻,第一項代表熱源的作用,第二項代表熱擴散過程:
(2.2)
熱源的作用可以用 Eagar-Tsai 的傳導解決方案來模擬,使用影象法來實現邊界條件:
(2.3)
應用如下 Green 函式:
(2.4)
熱源可以被引數化為一個在板塊表面移動的高斯分佈:
(2.5)
其中,A 是材料的吸收率,P 是鐳射的功率,V 是鐳射的速度,σ是鐳射的直徑。由此得到瞬態熱傳導的 Eagar-Tsai 模型(公式(2.4)),表徵在 X 方向速度為 V 的某個Δt 的移動熱源所引起的溫度分佈:
(2.6)
該方法的具體細節由圖 12 所示。在求解過程中,作者引入重複使用儲存線解決方案方法(Repeated Use of Stored Line Solutions Method,RUSLS)解決 Eagar-Tsai (ET)模型存在的較小的線跡問題,並在考慮到問題的幾何形狀而進行修改後,重新利用該解決方案來生成鐳射器隨後的熱分佈。Eagar Tsai 模型的解適用於可適當平移和旋轉的移動點源,以表示從給定位置 (x, y) 開始並以θ角移動的運動(公式(2.5)中從時間 t=0 到時間 t=Δt)。對 T_l(i)進行翻譯和旋轉,以使 (x, y, θ) 與鐳射在域中的當前位置和方向相匹配。將其新增到現有的溫度分佈 T′(x, y)中,形成時間 t 的溫度分佈。為了在現有溫度分佈的位置繼續推進鐳射,首先對時間 t 到時間 t+Δt 的熱擴散進行建模,形成 T′(x, y)_t。然後,再次將 T_l(i)定向到正確的位置,並加入到 T′(x, y)中,形成時間 t+Δt 的 T(x, y)。與標準的有限元分析方法相比,這種處理方式可以在相對較短的時間內迭代許多候選控制策略,從而減少了計算消耗。
表 1. 熱學和工藝引數
圖 12. 用於評估深度強化學習框架效能的掃描路徑圖示
2.2.2 卷積和邊界條件
在域的邊界附近,需要修改 Eagar-Tsai 模型以生成合適的線解。如果鐳射距離區域邊界的距離接近 4sqrt(2kΔt/ρc_p),則使用影象法來說明邊界對熱分佈的影響。在計算線解時,在邊界另一側的相同距離處模擬虛擬熱源。因此,可以透過在相關邊界上映象法線解來計算邊解和角解,以考慮邊界與規則動力學的互動作用。該虛擬熱源透過修改式(2.6)中的維度積分來實現:
(2.7)
為了說明板上現有溫度分佈的熱擴散歷史,在該方法中將公式(2.2)的第二項作為卷積運算實現。由於給定向量場的拉普拉斯運算元充當區域性平均運算元,因此可以透過應用卷積濾波器來近似該運算元,其權重由高斯分佈確定。該操作可被視為高斯模糊(Gaussian blur),其強度由材料的熱特性、發生擴散的時間尺度和鐳射強度決定。
(2.8)
(2.9)
由於卷積濾波器是透過域中每個畫素在等距正方形網格中的溫度值的加權平均值來執行的,在卷積濾波器可能延伸到網格邊界的邊界附近必須進行特殊考慮。在邊界條件被限制為絕熱的情況下,人為地擴充套件域卷積濾波器的大小。此擴充套件中的值作為邊界附近溫度值的映象。在邊界條件被約束為特定溫度值的情況下,該擴充套件部分由參考溫度值減去邊界附近溫度分佈的映象來填充。
熔池深度用作衡量模型成功與否的指標,透過沿 y 軸插值溫度場來計算,並找到表面溫度最高的位置,然後沿 z 軸插值,以找到表面以下溫度處的點,該點首先大於材料的熔化溫度。這是透過使用根查詢演算法(a root finding algorithm)來實現的,該演算法基於當前網格離散化最小化材料溫度和熔點之間的距離。
2.2.3 增強學習框架
在強化學習中,策略根據環境輸入確定要採取的最佳控制動作。這種動作隨後會影響環境,而這種影響透過獎勵來量化。具體來說,狀態空間 S 定義為環境當前狀態的低維表示,動作空間 A 定義為 agent 可用的潛在動作,獎勵量化了在前一步驟中為實現規定目標而採取的動作的效果。一個 episode 定義為環境的初始狀態和最終狀態之間的時間段。在這種情況下,每個 episode 被視為鐳射沿整個掃描路徑的一次穿越,初始狀態為 t=0,終端狀態出現在路徑的末端。圖 13(a)描述了用於實現 DRL 演算法的總體工作流,圖 13(b)和圖 13(c)分別描述了狀態和策略網路的附加上下文。
圖 13. 深度強化學習框架
強化學習最佳化正規化的目標是在一個 episode 中獲得最大的獎勵,這是透過生成一個策略π來實現的。策略π根據 agent 的當前狀態選擇一個操作,以便最大化未來預期獎勵。agent 根據策略π完成動作,給定狀態的未來預期收益記為值函式 V^π(s),而在採取特定動作 a 之後,以及隨後根據策略π完成動作時,給定狀態的未來預期獎勵稱為動作值函式 Q^π(s,a)。對策略進行迭代最佳化,以找到使 Q^π(s,a)的值最大化的最優策略π。
(2.10)
(2.11)
其中 s′是指 agent 在採取動作 a 後的下一個狀態,a′是指在狀態 s′中要採取的動作,r(s,a)是 agent 在採取動作 a 後在狀態 s 中觀察到的獎勵。在公式(2.11)中,狀態空間定義為特定檢視和方向上的溫度場觀測值。狀態空間作為 9 個二維熱圖傳遞給策略網路,該熱圖顯示了鐳射當前位置周圍的區域性溫度分佈。具體地說,在鐳射器周圍定義了一個 160μm×160μm 的區域,在 x-y 橫截面上以鐳射器為中心,在 y-z 和 x-z 橫截面上從域表面向下延伸。這組溫度場的三個橫截面快照與之前在事件軌跡期間觀察到的兩組快照相銜接。對溫度值進行白化處理,減去平均值,再除以狀態空間的標準偏差,以逼近資料的標準正態分佈。
將行動空間定義為對鐳射特性進行的工藝引數更新,這些更新表徵改變熔化過程的行為。對於速度控制方案,提供了鐳射從軌跡中的一個預定點到下一個點的速度,同時為基於功率的控制指定了功率。將這些動作調整到 [-1, 1] 範圍內,以避免出現啟用函式中常見的梯度消失問題。
(2.12)
(2.13)
公式(2.12)和(2.13)中,v 和 P 分別表示基於規定動作的速度和功率。獎勵函式量化了控制策略在一個 episode 中的效能,獎勵定義為目標熔化深度和當前深度之間的絕對誤差。此外,還增加了一個避免 “欺騙(cheating)” 的正則化項,該正則化項的作用是懲罰在 episode 期間觀察到的最小和最大熔融深度之間的距離,從而避免可能導致熔融深度突然峰值的異常策略。
(2.14)
2.2.4 逼近策略最佳化
為了最佳化策略網路,作者使用了策略梯度法(Policy Gradient methods)的一個子類:近端策略最佳化(Proximal Policy Optimization,PPO)演算法。策略梯度法透過梯度上升機率地搜尋最優策略。該策略基於優勢函式 A^π進行最佳化,A^π表示透過執行特定動作產生的預期獎勵的變化,A^π與從給定狀態開始的一組可能動作的預期未來平均獎勵相關。
(2.15)
近端策略最佳化基於新策略利用觀察到的預期獎勵的相對增加來限制梯度上升步驟的最大值。之所以選擇這種方法,是因為相對於信賴域策略最佳化(Trust Region Policy Optimization),PPO 在實現上是流線型的,並且與類似的強化學習方法相比,它需要更少的超引數調整和 Actor-Critic 最佳化。此外,它更適合於連續控制問題。策略梯度方法是 episodic 的,因為策略網路在一個 episode 完成後根據累積的獎勵進行更新。在此設定中,每一個 episode 被定義為鐳射完成整個掃描路徑的整個過程。本文實現了一個近端策略最佳化的向量化版本,其中並行部署多個 agent 以收集經驗流並更新相同的策略網路。將 PPO 向量化處理可以減少演算法收集必要經驗以學習最佳策略所需的時間。
2.2.5 經驗生成和模型訓練
近端策略最佳化演算法針對 15000 個 episodes 更新進行訓練。策略網路用於將狀態對映到其對應的行動中,策略網路由兩個隱藏層組成,其中,每個隱藏層具有 64 個神經元和雙曲正切啟用函式。該演算法在八個環境中並行訓練,來自這些並行環境的經驗被用於同步更新模型。在預定的軌跡間隔內採取控制措施,水平掃描路徑為 100μm,三角形掃描路徑為 50μm,其中,每個間隔定義為 DRL 框架的單步迭代。表 1 給出了描述介質熱特性的引數以及鐳射熱源的尺寸。
2.3 實驗分析
2.3.1 速度控制
作者應用上述 PPO 支援的深度強化學習演算法來最佳化單層製造過程中形成的熔池深度。該方法適用於兩種不同的軌跡,一種是鐳射粉末床聚變工業應用中常用的水平交叉陰影策略(圖 12a),另一種是一系列同心三角形,用於放大次優鐳射軌跡或粉末床密閉部分發生的過熱現象(圖 12c)。由於 DRL 演算法能夠找到隨時間變化的工藝引數的策略,因此作者將每個控制策略的效能與在整個熔鍊過程中工藝引數保持不變而產生的熔池深度進行比較。
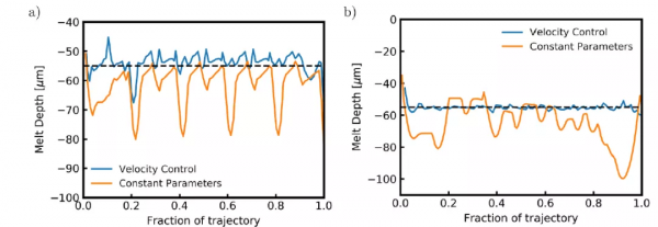
圖 14 給出了在熔化過程中嚴格控制鐳射速度時發現的水平交叉陰影軌跡控制策略。在整個軌跡使用相同速度的情況下,軌跡每四分之一間隔處的熔體深度都有明顯的峰值。在這些區域,熔池深度增加多達 20μm。我們觀察到的熔化深度增加是由於在鐳射改變方向的位置處能量的積累,以及阻止熱能逃逸的絕熱邊界條件。引入 DRL 演算法最佳化控制策略,能夠透過修改軌跡上某些點的速度來限制這些影響。當鐳射接近域的邊緣時,鐳射的速度會增加,以減少轉移到域的能量,從而避免由於熱量擴散的能力降低而導致最大熔化深度的峰值。與恆定鐳射速度的效能相比,學習到的控制策略能夠使熔池深度的變化遠遠小於恆定工藝引數。雖然在熔化過程中熔化深度在某些點上略微低於目標熔化深度,但熔化深度所佔據的範圍比在未受控制的情況下觀察到的範圍要窄很多。因此,假設熔池的面積可以與軌跡上任何給定點的熔池深度相關聯,應用速度控制的結果是熔池的面積更加一致,明顯不容易形成鎖眼(keyhole)。圖 15(a)和 16(a)顯示了控制策略所顯示的變化的減少。
圖 14. (a) 發現的水平交叉陰影掃描路徑的控制策略。當鐳射在邊界附近反轉方向以減少這些區域的熱能積累時,速度增加。(b) 按照匯出的控制策略,同心三角形掃描路徑實現的熔體深度。(c) 根據匯出的控制策略,水平交叉陰影掃描路徑達到的熔化深度。(d) 匯出了同心三角形路徑的控制策略。當鐳射改變方向時,速度增加,當鐳射接近掃描路徑中心時,平均速度逐漸增加
圖 15. (a) 對於水平交叉陰影掃描路徑,由控制策略生成的熔體深度與由恆定速度生成的熔體深度相比較。與在整個熔化過程中採用恆定速度相比,熔池深度更穩定。(b) 控制策略生成的熔體深度與同心三角形掃描路徑恆定速度生成的熔體深度進行比較。與在整個熔化過程中採用恆定速度相比,熔池深度更穩定
圖 16. (a) 控制策略生成的熔體深度直方圖與水平交叉陰影掃描路徑恆定速度生成的熔體深度直方圖進行比較。熔融過程中產生的熔池深度平均值更接近目標熔池深度,且標準偏差較小。(b) 控制策略生成的熔體深度直方圖,與同心三角形掃描路徑恆定速度生成的熔體深度進行比較。熔融過程中產生的熔池深度平均值更接近目標熔池深度,且標準偏差較小
在同心三角形軌跡上訓練模型時,演算法也能透過修改鐳射接近域中心時的速度來學習合適的策略。在未受控制的情況下,每次鐳射扭轉方向完成同心三角形軌跡時,熔池深度都會大大增加。此外,在接近軌跡末端時,由於軌跡的重疊段和方向反轉頻率的增加,熱能積聚在軌跡中心。在軌跡的最後 20% 處的熔池深度中也可以看到這種熱能積累,其中,突然增加了 40μm。與恆定工藝引數的情況相比,利用 DRL 學習到的策略能夠避免在軌跡結束時出現的熔體深度的大跳躍。當鐳射改變行進方向時,速度增加,與水平交叉劃線掃描路徑類似。另外,鐳射的平均速度在接近掃描路徑的中心時增加,速度保持在可能的最大值以減少過熱現象。圖 15(b)詳細說明了引入控制策略可以保證熔池穩定,圖 16(b)則說明了在穩定的熔池中沒有出現過熱現象。
2.3.2 能量控制
針對能量控制問題,作者透過改變鐳射的功率來最佳化熔池的深度。由於鐳射運動的物理限制,在一個層的執行過程中快速改變速度並不是一定可行的。此外,過高的速度值會在熔池中誘發 Rayleigh 不穩定性,從而導致成球缺陷(balling defects )。因此,作者還研究了用於控制熔池深度的基於功率的控制機制。該方法適用於前面研究的相同軌跡,如圖 12 所示,具有表 1 所示的相同物理引數。如圖 17 和圖 18 所示,當鐳射透過掃描路徑移動時,agent 能夠成功學習調節鐳射功率以實現恆定熔池深度的策略。鐳射功率在拐角處和殘餘熱濃度較大的區域降低,使熔池隨時間保持一致。在比較功率控制策略和速度控制策略的效能時,我們可以觀察到水平軌跡的穩定性略有增加(累積誤差減少 68.2% vs 63.8%),三角形軌跡的穩定性略有下降(累積誤差減少 74.6% vs 90.6%)。
圖 17. (a) 按照匯出的控制策略,同心三角形掃描路徑實現的熔體深度。(b) 發現的水平交叉陰影掃描路徑的控制策略。當鐳射在邊界附近反轉方向以減少這些區域的熱能積累時,功率降低。(c) 匯出了同心三角形路徑的控制策略。當鐳射改變方向時,功率降低,隨著鐳射接近掃描路徑中心,平均功率也逐漸降低。(d) 根據匯出的控制策略,水平交叉陰影掃描路徑達到的熔化深度
圖 18.(a) 功率控制策略生成的熔深與水平交叉陰影掃描路徑的恆定功率生成的熔深相比。與在整個熔化過程中施加恆定功率和速度相比,熔池深度更穩定。(b) 功率控制策略生成的熔體深度與同心三角形掃描路徑的恆定功率和速度生成的熔體深度相比。與在整個熔化過程中施加恆定功率相比,熔池深度更穩定
本文提出了一種提高鐳射粉末熔床產品質量的深度強化學習方法。透過迭代最佳化策略網路以最大化熔化過程中的預期獎勵,利用 PPO 生成能夠減少缺陷形成的控制策略。透過上述實驗,作者發現有效的控制策略能夠減少模擬中不同掃描路徑下觀察到的熔池變化,進而證明了該方法的有效性。具體來說,基於速度的控制和基於功率的控制方法能夠降低由於鐳射區域和軌跡的幾何形狀而導致的過熱問題,同時減少了熔池深度的變化。利用觀察熔化過程中特定速度或功率選擇所生成的獎勵,DRL 的策略能夠做到在熱量可能積聚的地方增加速度或減少功率,從而降低了缺陷形成的可能性。
3 基於聲頻發射(Acoustic Emission)的 AM 現場質量監測:一種強化學習方法[7]
3.1 方法思路介紹
本文聚焦 AM 領域中的一個技術難題:現場質量監測。儘管 AM 技術擁有很多優勢,但將其應用於大規模生產仍然存在很多問題,其中一個主要的原因是工件之間缺少工藝可再現性和質量保證。因此,人們迫切需要一種可靠的、經濟高效的 AM 現場實時質量監測技術。
AM 質量監測的發展主要集中在三個主要領域:(a)透過高溫計或高速攝像機測量熔池溫度;(b) 工件各層表面影象分析;(c) 整個工件的 x 射線相襯成像(x-ray phase-contrast imaging,XPCI)和 / 或 x 射線計算機斷層掃描(xray computed tomography,XCT)。上述每種技術都存在限制其大規模生產適用性的缺點。首先,熔體池的溫度測量僅限於熔體表面,沒有關於整個深度內複雜液體運動和熱量分佈的資訊。其次,影象處理方法在生成整個層後評估質量,並且只能檢測正在構建的層表面的缺陷,並不能檢測熔池內產生的缺陷,如氣孔。再次,兩種 x 射線方法都是昂貴和耗時的。XPCI 僅能用於實驗室條件下的現場和實時監測,無法應用於實時處理。XCT 只有在工件從造板上移除後才能執行,由於成本高,只能在有限的情況下由行業應用。
本文首次提出了結合聲頻發射(Acoustic Emission,AE)和強化學習(RL)的對粉末床熔融新增劑製造(Powder Bed Fusion Additive Manufacturing,PBFAM)過程進行現場和實時質量監測的方法。AE 能夠捕獲過程的表面下動力學資訊(subsurface dynamics of the process),RL 為一種機器學習方法。AE 的優點是透過實用、經濟高效的硬體能夠實現可靠地監測多種物理現象。
3.2 實驗設定、材料和資料集
作者使用一臺工業 ConceptM2 PBFAM 機器來收集 AE 資料集並重現工業環境。Concept M2 配備了一個以連續模式工作的光纖鐳射器,波長為 1071nm,光斑直徑為 90μm,光束質量為 M^2=1.02。此外,為了監測在調幅過程中產生的空氣中的 AE 訊號,在機器上安裝了一個被稱為光纖布拉格光柵(fiber Bragg Grating,FBG)的光聲感測器。使用 CL20ES 不鏽鋼(1.4404/316L)粉末完成 AM 製造,粒度分佈範圍為 10 至 45 μm。實驗製造了一個尺寸為 10 x 10 x 20 mm^3 的長方體工件。鐳射功率(P)、孵化距離(h)和加工層厚度(t)在實驗中保持恆定,P = 125 W,h = 0.105 mm,t = 0.03 mm。使用了三種掃描速度 v:800、500 和 300 mm/s,從而產生了三個質量級別(不同的孔隙濃度)。對應的能量密度(E_density)和質量等級為:(1)800mm/s,50J/mm^3,較差質量 = 1.42±0.85%;(2)500mm/s,79J/mm^3,較高質量 = 0.07±0.02%;(3)300mm/s,132J/mm^3,中等質量 = 0.3±0.18%。利用公式(3.1)計算能量密度,其中,孔隙的濃度是透過光學顯微鏡影象的視覺檢查從截面上測量的:
(3.1)
圖 19 給出了製造出來的工件的總體檢視(在取了一小塊來做橫截面之後),以及在材料介質內的孔隙濃度方面的相應質量。在整個製造過程中,使用一個 FBG 來記錄 AE 訊號。將光纖光柵安裝在室內,與加工區的距離約為 20 釐米。為了提高 FBG 的靈敏度,如圖 20(a)所示,將它放置在纖維的縱軸與聲波垂直的地方。圖 2(b)展示了 FBG read-out 系統的方案。與壓電式感測器相比,FBG 感測器有幾個優點。FBG 既可以夾在機器上使用,也可以在空中使用。它較小(總直徑為 125lm,長度為 1cm),對聲音訊號(0-3MHz)高度敏感,對灰塵和磁場不敏感,並提供亞納秒級的時間解析度,因此符合在骯髒和嘈雜環境中的實際應用需求。使用 Vallen(Vallen Gmbh,德國)的專用軟體以 10MHz 的原始取樣率記錄 AE 訊號。然後,訊號被下采樣為 1MHz 的取樣率,以適應該過程的動態範圍(0 Hz-200 kHz)。然後根據質量水平對 AM 過程中記錄的 AE 訊號進行分類。
圖 19. (a)用三種孔隙度含量生產的測試工件;(b-d)各區域的典型光鏡橫截面影象
圖 20. (a) AM 室內的 FBG 位置圖,室內面板上有光學真空電極(optical feedthrough)(左)和 FBG read-out 系統(右);(b) FBG read-out 系統方案
3.3 資料處理
本文具體研究強化學習(RL)對 AM 質量監測問題的適用性。本文采用了 Silver 和 Huang 的 RL 實現方法[11],這是因為作者認為它很有可能用於未來的 AM 質量監測系統。作者引入 RL 的考慮是,AM 過程的特點是複雜的基本物理現象,涉及大量的瞬間事件(加熱、熔化、固化等),每一個都對過程的狀態變化有至關重要的影響。這使得獲取一個詳細的訓練資料集變得非常複雜,對資料打標籤往往非常昂貴和耗時。在這種情況下,RL 可能會需要在極其有限的有監督資料條件下提供聲頻發射訊號和檢測到的瞬間事件之間的關聯資訊。
將所有收集到的訊號分成獨立的資料集,每個單獨的模式的時間跨度為 160ms。從小波包變換中提取了每個模式的相對能量。圖 21 給出一個時間跨度為 160ms 的 AE 訊號的典型示例和相應的小波譜圖。小波譜圖是一個訊號的時間 - 頻率域,它包含了窄頻帶在時間上的演變資訊。使用小波譜圖的原因有三個。首先,小波譜圖是訊號的稀疏表示,與 AE 原始訊號相比,減少了分析的輸入資料量。其次,它保持了相同的分類精度。最後,它透過選擇非噪聲頻段來降低噪聲。表 2 給出了不同引數的空間解析度。將提取的小波譜圖直接輸入 RL 演算法。初始總資料集(訓練 + 測試資料集)包括總共 180 個譜圖,平均分佈在三個質量等級。
圖 21. (左)典型的光鏡截面圖像,(中)相應的 AE 訊號,時間跨度為 160ms,(右)相應的小波譜圖,生成區域為(a)300mm/s,132mm^3(中等質量),(b)500mm/s,79mm^3(高質量)和(c)800mm/s,50mm^3(質量差)
表 2. 不同工藝引數下的工藝空間解析度
3.4 強化學習
RL agent 與給定環境的互動是一個馬爾可夫過程,其特徵為元組(S,A,P,R),其中 S 表示 agent 的狀態空間,A 為動作空間,其中每個動作 a_i 從狀態 s 轉移到 s^l。P 為馬爾可夫模型,R 為獎勵空間。初始狀態設定為 s_0,RL 演算法透過獲得最優獎勵的動作達到目標 s_g。最優獎勵的評價方程為:
(3.2)
其中,E 為期望,λ為折扣係數,π(s_t)為將狀態對映到動作的策略。最佳策略的搜尋是一個迭代過程,因此在第 i 個迭代步驟中,計算 T_(π,i),其中 (π, i) 表徵當前策略,根據公式(3.3)計算 Q 值:
(3.3)
此外,作者利用了 Glover 和 Laguna 的 Tabu 搜尋[12]。在這個框架中,透過分析狀態空間的一個限定子集來進行近似最優路徑的搜尋,從而在大資料集的情況下減少探索並保留計算時間。針對 multi-class 的問題,作者採用 one-against all 策略。agent 的環境是由小波譜圖建立的,小波譜圖是訊號的時頻空間的二維圖。在這種情況下,透過對上述領域的成本構建來尋找最佳策略。
3.5 實驗分析
圖 21 給出三種不同質量的典型光鏡橫截面影象(左),其對應的 160ms 時間跨度的 AE 訊號(中)和其對應的小波譜圖(右)。根據這個圖,可以得出兩個結論。首先,AE 訊號是可以區分的。儘管所有 AE 訊號的振幅相似,但信噪比似乎隨著掃描速度的增加而增加。其次,在小波譜圖中也可以看到明顯的差異,特別是在 4 到 12 的分解級別中。因此,我們使用小波譜圖,因為與 AE 原始訊號相比,它們具有更高的穩健性。
每個類別都有一個包含 60 個小波譜圖的資料集。這些訊號被分成兩個完全獨立的資料集;一個用於訓練,一個用於測試。需要強調的是,在訓練過程中,全部測試資料都是演算法未知的。訓練資料集包含 40 個譜圖,而每個類別的其他 20 個譜圖被用來測試 RL 演算法。譜圖的選擇是隨機進行的。利用類似蒙特卡洛的方法進行兩百次測試,即對於這兩百次測試中的每一次,用於建立特定訓練和測試資料集的訊號都是從最初收集的資料集中隨機選擇的。這種策略允許改變演算法的輸入條件,並透過不同的訓練 / 測試組合來研究其效能,以獲得對 AE 訊號收集的可靠統計測試。每項測試的準確性被計算為真陽性的數量除以測試的總數量(如測試資料集中的樣本數量)。總的準確性被計算為一個平均值,確定為:
(3.3)
其中,N 等於 200(測試總數)。相比之下,分類誤差的計算方法是用真陰性的數量除以每類測試的總數量。分類測試結果見表 3,分類準確率在 74% 到 82% 之間(見對角線單元格中的黑體數字)。這些結果證明了本文提出的方法對 AM 過程進行質量監測的可行性。由表 3 可以看出,質量差的準確率最高(82%),其次是中等質量(79%)和高質量(74%)。此外,對分類誤差結構的分析可以根據表 3 中的非對角線行進行評估。從統計學上看,表中的誤差結構恢復了來自預定的質量類別的不同特徵之間的重疊。表 3 顯示,對於較差質量和中等質量,鐳射掃描速度差異較小的類之間的錯誤分類誤差較大(反之亦然)。因此,對於具有中等鐳射掃描速度(500mm/s)的高質量,錯誤分類誤差也大約在中等質量(12%)和差質量(14%)之間平分。同時,中等質量和較差的質量之間顯示出較少的重疊誤差,因為它們在鐳射掃描速度上有較大的差異。
表 3. 不同類別的測試結果(百分比)(行)與真實值(列)的對比
4 小結
我們結合三篇近期的研究論文,簡述了在增材製造(3D 列印)領域中強化學習方法的應用。增材製造透過降低模具成本、減少材料、減少裝配、減少研發週期等優勢來降低企業製造成本,提高生產效益。因此,增材製造代表了生產模式和先進製造技術發展的趨勢。
增材製造也有不同的細分方法,本文介紹了電弧增材製造(Wire Arc Additive Manufacturing,WAAM)、鐳射粉末床熔融(Laser Powder Bed Fusion,LPBF)以及粉末床熔融新增劑製造(Powder Bed Fusion Additive Manufacturing,PBFAM)三個細分領域中強化學習的應用,主要是對製造過程中的溫度、聲頻等的控制,具體分別為過程控制的應用和實時監測的應用。強化學習具有根據環境學習控制策略的能力,因此對有標註的資料集要求較低,且透過自學能夠提高對 AM 過程控制的準確度。從我們介紹的三篇文章可以看出,在 AM 中引入強化學習能夠提高增材製造列印零件的質量水平。
增材製造本身由於技術工藝的約束還未能大規模的廣泛推廣使用,而在增材製造中引入強化學習還主要是實驗研究。目前看,在增材製造中引入強化學習方法具有節省時間、減少材料浪費等優點,基於這一積極的初步結果,我們相信未來會有越來越多的工作將引入強化學習的框架擴充套件到全面的增材製造過程學習中。
本文參考引用的文獻:
[1]https://baike.baidu.com/item/%E5%A2%9E%E6%9D%90%E5%88%B6%E9%80%A0/3642267?fr=aladdin
[2] Qi X , Chen G , Li Y , et al. Applying Neural-Network-Based Machine Learning to Additive Manufacturing: Current Applications, Challenges, and Future Perspectives[J]. 工程(英文), 2019, 5(4):9.
[3] Liu L, Ding Q, Zhong Y, Zou J, Wu J, Chiu YL, et al. Dislocation network in additive manufactured steel breaks strength–ductility trade-off. Mater Today 2018;21(4):354–61.
[4] http://www.tsc-xa.com/article/index/id/12/cid/2.
[5] Audelia G. Dharmawan, Yi Xiong, Shaohui Foong, and Gim Song Soh, A Model-Based Reinforcement Learning and Correction Framework for Process Control of Robotic Wire Arc Additive Manufacturing,ICRA 202, 4030-4036.
[6] Ogoke F , Farimani A B . Thermal Control of Laser Powder Bed Fusion Using Deep Reinforcement Learning. Additive Manufacturing, 46(2021).
[7] Wasmer K , Le-Quang T , Meylan B , et al. In Situ Quality Monitoring in AM Using Acoustic Emission: A Reinforcement Learning Approach. Journal of Materials Engineering and Performance, 2019.
[8] J. Xiong, Z. Yin, and W. Zhang, “Forming appearance control of arc striking and extinguishing area in multi-layer single-pass gmawbased additive manufacturing,” The International Journal of Advanced Manufacturing Technology, vol. 87, no. 1-4, pp. 579–586, 2016.
[9] S. Suryakumar, K. Karunakaran, A. Bernard, U. Chandrasekhar, N. Raghavender, and D. Sharma, “Weld bead modeling and process optimization in hybrid layered manufacturing,” Computer-Aided Design, vol. 43, no. 4, pp. 331–344, 2011.
[10] A.J. Wolfer, J. Aires, K. Wheeler, J.-P. Delplanque, A. Rubenchik, A. Anderson, S. Khairallah, Fast solution strategy for transient heat conduction for arbitrary scan paths in additive manufacturing, Addit. Manuf. 30 (2019), 100898.
[11] D. Silver and A. Huang, Mastering the Game of Go with Deep Neural Networks and Tree Search, Nature, 2016, 529, p 484–489. https://doi.org/10.1038/nature16961
[12] F. Glover and M. Laguna, Tabu Search, Kluwer Academic Publishers, 1997
分析師介紹:
本文作者為Wu Jiying,工學博士,畢業於北京交通大學,曾分別於香港中文大學和香港科技大學擔任助理研究員和研究助理,現從事電子政務領域資訊化新技術研究工作。主要研究方向為模式識別、計算機視覺,愛好科研,希望能保持學習、不斷進步。
關於機器之心全球分析師網路 Synced Global Analyst Network
機器之心全球分析師網路是由機器之心發起的全球性人工智慧專業知識共享網路。在過去的四年裡,已有數百名來自全球各地的 AI 領域專業學生學者、工程專家、業務專家,利用自己的學業工作之餘的閒暇時間,透過線上分享、專欄解讀、知識庫構建、報告發布、評測及專案諮詢等形式與全球 AI 社群共享自己的研究思路、工程經驗及行業洞察等專業知識,並從中獲得了自身的能力成長、經驗積累及職業發展。
























































 
			 
			 
			 
			 
			 
			 
			 
			 
			 
			 
			 
			 
			 
			 
			 
			 
			 
			 
			