如果問你最早接觸的數學常數是啥?想必很多人都會脫口而出:圓周率!
沒錯,圓周率在小學期間就已經被我們所熟知,簡單來講,不論是多大面積的圓,它們都有一個共同點,那就是周長與直徑的比值都為一個常數,這就是圓周率π,而且它還是一個無理數,也就是無限不迴圈小數。
    圓周率歷史
數學史上有很多關於計算圓周率的記載,對於我們來講,最熟知的莫過於“祖沖之計算圓周率”,這位南北朝時期的數學家,第一次將圓周率精確到小數點後7位,並且這一記錄領先了西方近千年之久。
不過我們感興趣的是祖沖之是用的什麼辦法去求的圓周率呢?實際上,他所用的辦法正是魏晉時期的大數學家劉徽所提出的“割圓術”,其書中的原話是:“割之彌細,所失彌少,割之又割,以至於不可割,則與圓周合體而無所失矣”。
簡單來講就是用一個多邊形去逼近圓形,多邊形的邊越多,那麼就越接近圓(以現代的眼光看來,其本質就是微積分中的極限思想)。
割圓術本質上是一種幾何法,但隨著數學的進步,出現了更為方便精準的分析法,比如無窮級數等,給出了很多圓周率數值表示式。
再往後隨著計算機的出現,圓周率計算的位數更是直接呈幾何式的翻倍。
比如在2021年8月5日,瑞士的科研人員宣佈他們利用一臺超級計算機,耗時108天零9個小時,算出了圓周率小數點後62.8萬億位,這是一項新的世界記錄,不過他們也表示,這項紀錄可能不會保持太久。
因為在此之前的2020年以及2019年,分別有人創造了50萬億位和31.4萬億位的記錄。2020年的是由一位愛好者利用個人電腦,耗時303天,算出了50萬億位。而2019年的是由谷歌雲計算系統耗時121天,算出了31.4萬億位,準確來說是小數點後 31415926535897 位,目的為了紀念那年3月14日的國際圓周率日。
    為何要算那麼多?
如果說古時候的數學家計算圓周率是為了尋找更多數學性質,畢竟那時候的數學遠不及現在豐富深厚。但是自從1761年,德國數學家蘭伯特證明了圓周率為無理數(也就是無限不迴圈小數)。
以及1882年,也是德國數學家林德曼證明了圓周率為超越數(即不能作為有理係數多項式根的實數,由此可以知道古希臘時期,想靠直尺和圓規完成“化圓為方”是不可能的)之後,似乎再瘋狂追求圓周率的位數就成了一件無用的事情?
但自從計算機出現後,人們對於圓周率位數的計算反而更加“瘋狂”了,為何呢?難道是因為圓周率越精確,越有利於科學研究或者實際生活使用?並不是,實際上圓周率用到幾十位,就已經非常精確了。
但人們還一直計算圓周率的原因,其實很簡單:能在更短時間內算出更多的位數,這種高精度的計算是判斷一臺計算機處理能力是否優秀的手段之一。
    若能算盡,會發生啥?
如果圓周率哪一天被證實能算盡了,會發生啥事呢?估計不少朋友都曾想過這樣的問題。
但實際上,在通常情況下,這種情況是不會出現的,因為圓周率是無理數這一結論是透過嚴格的數學證明給出的,拔出蘿蔔帶出泥,如果圓周率真被算盡了,那將是數學大廈的一場大地震。(考慮到數學不同於自然學科,它不需要對應客觀世界的實體存在,也就是說,數學是一個放之四海而皆準的東西)
但是請注意,這個結論有一個前提,就是上段頭所言的“通常情況”,那麼這個通常情況到底是個啥呢?
- 歐氏與非歐幾何
很簡單,我們現在所熟知的圓周率數值3.14159......,實際上是建立在歐幾里得幾何體系之內的。
啥是歐幾里得幾何?很簡單,就是我們中小學時期所學的幾何,比如過直線外一點,只能做出一條平行線(平行公設)
再比如,三角形內角和為180度等等,有這些結論的都是歐幾里得幾何。
但隨著數學的發展,人們發現,這種幾何體系雖然和現實世界十分相符,但似乎並不唯一,於是人們就以剛才那條平行公設為切入點,又發現了兩種新幾何(非歐幾何),分別是羅氏幾何和黎氏幾何,在這些幾何當中,三角形的內角和不再是180度、圓周率也不再是一個固定值了。
後來經過黎曼的努力,三種幾何統一成了黎曼幾何,這也是後來愛因斯坦的廣義相對論所要用到的數學理念。
為了形象地介紹在不同幾何環境下,圓周率的變化,下面就以相對論為背景,來說明這個問題。
- 愛因斯坦轉盤內的圓周率
1909年,愛因斯坦的好友保羅·埃倫費斯特在《物理雜誌》上發表了一篇簡短地只有兩面紙不到的論文,標題為《剛體的勻速轉動與相對論》(注意,此時廣義相對論還沒問世,只有狹義相對論)。
論文提出了這樣一個“簡單”的問題:如果有一個勻速轉動的圓盤,我站在外面用量尺去測量圓盤周長,以及站在圓盤上用量尺去測量圓盤周長,試問結果如何?
這個問題看上去非常簡單,根據狹義相對論,運動的物體會在運動方向上收縮,也就說如果在圓盤靜止時,在其周邊擺放上一圈量尺(比如一根量尺長度一釐米,就這樣擺一圈,當然了,量尺越短越好,因此那樣就無限逼近圓形周長了),之後圓盤勻速轉動,由於運動尺縮,圓盤上原本首尾相連的量尺,竟然出現了空隙,而圓盤的周長是由量尺數量決定的,因此這也就說明圓盤周長變長了。
注意,上面這段話是比較籠統的說法,用於科普是沒有問題的,細究的話還要細分,不過最後的結論是正確的,也就是轉盤系測量的周長要大於地面系。(如果有了解相對論的朋友,應該對於下面給出的空間線元不陌生,這就是結論的依據)
這時候我們發現,圓盤周長變長了,但直徑卻沒有變化,那豈不是說圓周率變大了嗎?而且圓周率的數值與轉盤速度掛鉤了,理論上,圓周率直接可以變為整數!不過這沒有什麼好奇怪的,因為轉盤空間已經不符合歐氏幾何的要求,而是屬於非歐幾何了。
- 彎曲時空下的圓周率
實際上,按照廣義相對論的要求,我們現實世界中的圓周率其實原本就不是3.14159......這樣的數值,因為現實世界很難找到嚴格意義上的歐氏空間,但凡空間裡存在一個物體,那麼就不屬於歐氏空間了。
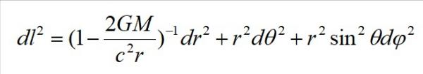
原因很簡單,因為廣義相對論將引力解釋為時空彎曲,以最簡單的史瓦西時空而言,單獨把空間線元拎出來,你會發現它長下面這個模樣
很明顯,如果畫一個圓,其半徑方向上的空間是非歐的,也就是半徑是個變數,與引力源的質量能量分佈相關,由此可見,圓周率自然也是一個變量了。
    總結
由此可見,歐氏幾何中的圓周率是不能被算盡的,是一個無理數,如果能被算盡,只能說明我們現在用的數學體系要修改了。
而在非歐幾何中的圓周率則大有不同,能不能算盡,得看具體情況,總之這就和非歐幾何中三角形內角和不為180度一樣,熟悉之後,也就沒什麼好奇怪的了,更不會發生啥事。而且依據廣義相對論,非歐幾何才符合真實宇宙,而歐氏幾何只是非常接近於真實宇宙而已。
本文由賽先生科普原創,歡迎關注,帶你一起長知識!























 
			 
			 
			 
			 
			 
			 
			 
			 
			 
			 
			 
			 
			 
			