作者 | 心緣
編輯 | 漠影
用手機拍張眼部照片,就能秒知是否感染新冠。
這是復旦大學大資料學院人體感知實驗室與國內外多家機構聯合研發的COVID-19 EYE TEST新冠感染風險檢測技術。
無需任何專業裝置,藉助一臺能拍照的智慧硬體拍攝一張眼部照片,測試者即可隨時隨地用該技術在3秒內判斷是否有新冠感染的風險。
這樣操作便捷、幾乎沒有成本、有助於降低居民出行風險且準確率高的創新研究,剛剛被2021國際展望大會(NEXT SUMMIT)生物醫藥與大健康論壇重要演講收錄。
值得一提的是,該技術已在中國永久免費開放。
COVID-19 EYE TEST技術是怎麼做到的?透過眼部檢測來診斷疾病的可靠性和臨床科研難度分別有多高?它能完全代替去醫院做新冠肺炎核酸檢測嗎?
近日,智東西與負責該專案的AIMOMICS首席科學家、復旦大學大資料學院青年研究員付彥偉博士,以及AIMOMICS首席資料工程師孫強博士進行深入交流,瞭解眼部檢測技術在新冠篩查方面的應用優勢、使用流程以及其未來可檢測疾病的範疇。
    一、看看眼睛就能診斷疾病,準確嗎?
“觀眼識病”在中西方醫學中皆由來已久。
中醫有目診相關理論學說,西方有眼表微迴圈理論,基於眼表和眼底視網膜進行疾病診斷的AI醫學影像技術也日益成熟。
其中,應用眼底相機檢測技術,通常需專業眼底相機來拍攝、使用特定演算法針對特定疾病識別,並經由大量人工標註修正,此類方法使用成本較高,臨床技術相對成熟。
相比之下,眼表檢測技術使用普通手機或相機即可拍攝,透過一種演算法框架,能做到多種疾病一次性識別,採用專家啟發標準、不依賴大量手工標註的弱監督自主學習進行標註。
受這些啟發,AIMOMICS、復旦大資料學院、復旦大資料學院大資料感知實驗室與多方國際團隊合作,組建起包括機器學習、臨床醫學和商業領域專家的團隊,開展“全球跨地區跨人種新冠眼部檢測臨床實驗”。
該專案名為AIMOMICS EYE TEST PROGRAM,自2020年2月正式啟動,團隊基於COVID-19新冠疾病眼部便捷拍攝檢測的遠端風險篩查,在進行重點攻關研究與市場轉化。
自2020年新冠爆發開始,不斷有論文報告新冠疾病與眼部特徵的關聯,尤其在2020年9月之後,類似的論文數量迅速增加。
但沒有經過系統訓練的人類肉眼觀察,難以從複雜細微的眼部特徵中找出線性的邏輯關聯,只有透過系統的眼部病理特徵庫啟發和畫素級別的機器視覺分析,才能實現真正意義上眼部特徵識別和分析,並找出強關聯的臨床證據,EYE TEST專案採用的即是這一技術方向。
“我們團隊應該是全球第一個發表相關論文,並實現跨地區跨人種優異檢測結果的。”孫強博士說,他提到德國、中國、新加坡、美國、加拿大均開始有透過眼部特徵檢測疾病的相關技術報道,有些企業已經開始獲取商業訂單,但是還沒有看到他們有任何學術論文的發表。

    AIMOMICS EYE TEST PROGRAM應用場景(移動裝置、APP軟體、影片監控、實時機場安檢、疾病防控醫療器械、家庭自測遠端醫療保健)
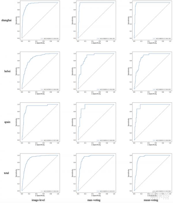
目前,COVID-19 EYE TEST專案在全球多個地區臨床實驗中的敏感性與特異性平均指標均達到了85%以上,其中東亞人的平均特異性和敏感性更是最高達97%。
“在日本,我們配合當地的核酸檢測企業做風險輔助篩查,只要我們篩查出高風險的,幾乎99%以上核酸檢測陽性。”孫強博士解釋道,這取決於一部分技術,或者成為特徵啟發主要源自對東方人的傳統目診醫學,其他人種需經一定臨床實驗並不斷調參才能達到與東亞人同樣的準確程度。
同時,不同疾病的病理分型、病毒載量、併發症等等,都會對應不同的眼部病理特徵,如果要實現檢測模型跨區域跨人種的普適性,就會呈幾何數量級別地增加實驗難度,但一路走來,該專案團隊最終還是克服了所有困難。
在大規模GPU高效能計算及機器視覺技術和深度學習工具的支援下,EYE TEST專案全球首次以跨地區跨人種臨床實驗方式提供了人體眼部病理特徵與新冠疾病相關的檢測證據和該檢測模型對跨地區跨人種的普適性證據,並在ARXIV預印本期刊全球首發“跨地區跨人種新冠眼部檢測臨床實驗”學術論文《Report on China-Spain Joint Clinical Testing for Rapid COVID-19 Risk Screening by Eye-region Manifestations》

    上海、河北、西班牙和總測試資料集上的COVID-19與非COVID-19 ROC曲線對比
部分相關論文連結:
https://www.medrxiv.org/content/10.1101/2020.09.03.20184226v4
https://ephconference.eu/
https://www.medrxiv.org/content/10.1101/2021.06.23.21258626v1
https://arxiv.org/abs/2109.08807
    二、助力國內疫情防控!向中國使用者免費開放
目前,EYE TEST專案團隊已經完成了眼部檢測開發平臺的搭建,為所有具有民用攝像頭的智慧硬體與配套軟體企業,陸續提供各型別疾病檢測的API或者SDK搭載服務。
其中新冠檢測的免費demo和非商業目的免費API(需開發者稽核)僅向中國境內(港澳臺除外)永久免費開放,且測試過程嚴格遵守境內外資料合規及隱私安全。

    使用者操作方法非常簡單,整個過程無需註冊任何個人資訊。進入新冠肺炎眼部檢測風險篩查免費測試內測版連結,頁面會出現“快速檢測”和“高階檢測”兩個選項。

    點選“快速檢測”後,測試者可以透過在直接拍照或選擇手機上的眼部照片,按照圖例對齊,3秒內即可獲取測試結果。

    “高階檢測”選項則要求測試者按照指示,以“前、左、右、上”的順序依次拍攝或選擇手機相簿中這4個不同角度的眼部照片,按圖例對齊後上傳獲取檢測結果。
如果在“快速檢測”中被診斷出“高風險”,建議增加檢測次數、更換不同光照環境,選擇“高階檢測”再次進行眼部拍攝,如果多次檢測結果仍為“高風險”,則建議及時諮詢專業醫療機構。

    內測連結:http://eyetest.aimomics.org/demo/#/index
要注意的是,拍攝應在光線充足的明亮環境下進行,避免紅色背景前拍攝,且測試者的眼部不能化妝、不能佩戴隱形眼鏡、不能被頭髮遮擋。
另外,相機解析度應不低於300萬畫素,眼部圖片解析度高於1900×500,並且不要加任何濾鏡。
拍攝後,頁面會出現提示,指引測試者手動對眼部照片進行縮放移動和裁剪,裁剪後的眼部照片不能出現背景。
後續該專案團隊還計劃將檢測方式升級為拍攝一段小影片,可以檢測多種疾病,且準確率更高。
    三、僅供輔助篩查,不能代替核酸標準
需強調的是,由其新冠眼部檢測工具得出的評估內容,不能代替醫生面診和任何醫療工具所檢測的結果。
付彥偉博士告訴智東西,任何輔助快速篩查手段,都不能代替核酸作為新冠檢測的金標準,輔助快速篩查手段存在的意義,是為醫療機構認可的標準疾病診斷來提供更高效便捷的風險篩查和綜合干預輔助。
此類手段更多便於提高面向大規模人群的疾病篩查的針對性與準確性,可發揮協助發現疑似高危物件群體、瞭解目標基礎人群的疾病防控狀況、降低大規模篩查的醫療與社會成本等價值。
跨地區、跨人種進行眼部檢測臨床實驗,是一件難度頗高的長期工作。團隊必須確保臨床科研的合規性,每個在不同地區、不同機構進行涉及人體臨床科研的實驗,都需要臨床註冊和批件。
“我們在全球各個地區使用不同語言、適應不同的地區規範、符合不同地區的法律要求,無論是在成本投入、跨界協同、資源整合、資料合規、各種協議簽署、爭搶時間視窗的角度上來看,僅僅完成這個批件獲得就是一個相當困難的事情。而這只是臨床實驗的一個開始。”付彥偉博士說。
而在實驗中的各種臨床資料獲取、採集、分析、處理,達到學術研究的基本要求,又是另一個歷經艱辛的故事。
因受到智慧財產權、聯合研究機構NDA保密協議等相關商業規則限制,EYE TEST專案的“全球跨地區跨人種新冠眼部檢測臨床實驗”只能選擇可公開,或聯合研究機構同意發表的內容進行發表。
同時,由於醫學類頂級期刊的投稿時間長達到4個月左右,且要求補充臨床資料和文章修回嚴格,專案團隊已在醫學雜誌頂刊的投稿還暫未發表。
不過團隊已經在不斷撰寫和投稿發表各種不同型別的眼部疾病檢測和相關醫學論文,其中多篇自2020年9月至今已在MEDRXIV預印本上發表,並被2021年第十四屆歐盟公共健康會議、NVIDIA 2020 GTC中國線上大會智慧醫療和生命科學分論壇、2021NEXT SUMMIT國際展望大會生物醫藥與大健康論壇重要演講收錄。
    結語:糖尿病檢測已進入大規模內測
快速診斷是傳染病防控的必修課,近年來,AI在加速醫學影像分析和藥研等醫學健康領域正發揮著越來越重要的價值。而AI眼部檢測技術作為醫療機構的前置輔助篩查手段,能為大眾帶來最低成本的日常健康風險篩查便利。
在持續最佳化實驗的同時,AIMOMICS EYE TEST專案團隊與幾家國際網際網路企業、手機企業、核酸檢測企業的商業化地區內測已陸續完成,因受商業測試保密協議限制暫未公開。
此前該專案授權的歐洲合作企業已就新冠眼部檢測技術獲得了CE認證,其他醫療證照亦在申請中,並已經拿到數百萬歐元以上的天使投資,累計獲得數千萬人民幣的商業檢測訂單。
除了判別新冠肺炎外,據付彥偉博士透露,基於其眼部檢測技術的糖尿病檢測已經進入大規模內測,在內測臨床實驗資料集上準確率超過85%,團隊還在進行即時檢測血糖高低指標的實驗。
孫強博士也提到團隊計劃隨後陸續開放永久免費的“體溫、心率、血壓、情緒、糖尿病”demo以及非商業目的免費API。同時,團隊已與國內外多家醫療機構分別佈局了“病毒性流感、肺部疾病、肝部疾病、心臟疾病、心血管疾病、精神類疾病”的專項科研課題,將會很快掛牌全面啟動。
“希望透過我們的EYE TEST API PLATFROM,為全球更多對眼部檢測有興趣的企業和開發者,提供一個更開發便捷的科研交流與商業實踐的平臺。”孫強博士說。





 
			 
			 
			 
			 
			 
			 
			 
			 
			 
			 
			 
			 
			 
			 
			