▲第一作者:Nikita Hanikel(美國加州大學伯克利分校)
通訊作者:Joachim Sauer(德國柏林洪堡大學),Laura Gagliardi(美國芝加哥大學),Omar M. Yaghi(美國加州大學伯克利分校)
DOI: 10.1126/science.abj0890
背景介紹
最近的研究發現,多孔金屬有機框架(MOFs)可以提取沙漠中的大氣水,產生飲用水,這就引出了這樣的MOFs如何從乾燥的空氣中"提取"水,並可以輕易將其產出的課題,特別是在分子水平上。的確,MOFs和合成晶體中水結構的演變備受追捧,但對其吸水行為的完整機理認識仍然缺失。雖然在MOFs多孔晶體中水的位置可以被確定,但其填充順序的確定仍然具有挑戰。對MOFs中水填充機理的認識,使設計能夠以更大的能量效率和生產率執行的採水系統成為可能。
本文亮點
1. 本工作透過執行一系列單晶x射線衍射測量和密度泛函理論計算,確定了最先進的水收集金屬有機框架MOF-303的水填充機制。
2. 本工作發現,第一個水分子強烈地結合在極性有機連線體上,它們隨之而來的是額外的水分子形成孤立的團簇,然後是鏈狀的團簇,最後是一個水網路。
3. 本工作表明,這種水分子結構的演化有利於透過多變數的方法來修飾孔隙,從而精確地調節第一水分子的結合強度,可控地塑造吸水行為。這有利於得到較高的產水率,以及再生溫度和焓的可調節性,而不影響容量和穩定性。
圖文解析
▲圖1. MOF-303的水吸附等溫線和晶體結構
要點:
1、MOF-303的結構基於由PZDC2-聯結器連線的交替順反角共享的AlO6八面體構成的無限棒狀次級建築單元( SBUs) (圖1)。這種排列具有相鄰的吡唑官能團,它們相互指向,形成一個由三個μ2-OH基團和兩個N(H)在每個連線子上定義的口袋。
2、本工作提出,水在該環境中的吸附導致了一個非同尋常的水吸附等溫線,該等溫線在低蒸汽壓下表現出一個小而功能影響的步驟。步驟S使該MOF的每迴圈採水量(工作能力)減少了約20wt%,而在迴圈多次後,這種減少將產生大量的水分。隨著額外的水分子填充到孔隙中,等溫線中觀察到小RH視窗內的大量吸水。
3、本工作發現,MOF-303的進一步吸水性在較大的RH範圍內(圖1A中的藍色部分)完全填充了孔道。本工作透過吸附點的位置和它們填充的機制試圖瞭解如何通過了解水的吸收過程來消除最初的步驟S。MOF-303的吸附和脫附等溫線幾乎完全重疊,且具有最小的滯後現象(圖1A ),表明水吸附過程是可逆的,可以在吸附或脫附模式下進行研究。
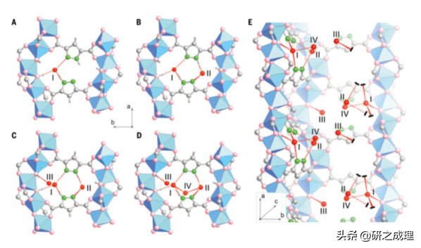
▲圖2. MOF-303中水吸附位的晶體結構
要點:
1、SCXRD分析表明,該框架(標記為I)的第一個也是最強的水吸附位點位於吡唑之間,其中水分子與兩個吡唑基團和一個μ2-OH基團形成3個氫鍵(H-鍵),雜原子之間的距離分別為2.797 (7) Å、2.887 (9) Å和2.798 (6) Å (圖2A )。第二個水分子(II)也位於吡唑之間,形成兩個氫鍵。這兩個位點都位於MOF-303的親水口袋內,在低蒸氣壓下可能與S步相關。
2、第三個水分子佔據第Ⅲ位,僅與剩餘的μ2-OH基團發生2.89 (3) με的相互作用(圖2C)。第四個水分子(Ⅳ) H與Ⅰ和Ⅱ處的水分子結合而不與骨架結合,形成三聚體團簇(I、II、IV;圖 2D),Ⅲ處的水分子仍與之分離。在此載入階段,這些團簇與相鄰對稱等效口袋中的其他團簇隔離(圖2E)。水分子在Ⅰ~Ⅳ階段的吸附是其他水分子結合的核心。
▲圖3. 增加負載量時MOF-303中水結構的演變
要點:
1、本工作透過晶體學研究表明,額外吸附的水分子透過與其他水分子的相互作用而不是與骨架本身填充孔隙(圖3)。額外兩個水分子在V和VI上的吸附形成了一個結構,相鄰的團簇(I、II、IV )透過新的四聚體團簇相連(圖3A )。在VII和VIII處加入水分子後,四聚體轉變為六聚體( V到VII ),VIII處有一個懸掛的水分子與VII相連(圖3B)。水結構從V到VIII的演化處於吸附等溫線的黃色段,稱為聚類階段。
2、在較高的水負載下,IX至XIV位點的連續部分填充,以及I至VIII位點的完全佔用,創造了無限的h鍵水鏈聚集單元。首先,相互排斥、無序的IX和X位點同時被填充,締合的水分子與II、IV和VIII的水分子形成h鍵。其次,連線II、IV、VII的XI位點被部分填充(圖3D)。第三,XII位點的部分種群連線II、III和VIII(圖3E)。在最高負載時,吡唑官能團發生了輕微的移位,而水分子插入到XIII位點IV、VII和IX位點之間,因此將IX位點的水分子重新排列,並與I、II和VIII位點的物種形成氫鍵。
3、這些結構的變化和水網路的重組導致了XIV位點的部分填充,水分子在XIV位點上以h鍵連線羧基官能團的O原子。在此負荷下,位點IX至XIV共聚居並部分填充。最終,相鄰的鏈狀網路連線成一個三維水網路。每個不對稱單元中10個水分子的最高水負載量,其晶體學位置如上所示,對應的總吸收量為0.45 g g-1,與水吸附等溫線中發現的總吸收量一致。
▲圖4. 多元MOF系列的表徵
要點:
1、本工作最後透過實驗和計算確定了水吸附等溫線中的步驟源於水與兩個相鄰的吡唑官能團(I、II)的相互作用,用另一個親水性較小的連線基團取代PZDC2 -來控制口袋中的氫鍵作用。作者發現,相對於其他由棒狀SBU構築的鋁-MOFs,SBU的排列順序可能是由兩個連線體(H2PZDC為158° , H2FDC為156.5°)的羧酸基團之間的夾角相似而形成的,從而導致了較高的孔隙體積和較高的吸水率。
2、與吡唑相比,本工作預期呋喃與水分子的氫鍵較弱,因為它的酸性和鹼性較低,這是由於酸性H原子的缺失和電負性較高的O原子的質子化傾向較低。事實上,DFT計算MOF-333中的吸附結構表明水分子與μ2-OH基團的相互作用更強,而不是連線分子,這反映在它們各自的原子間距離上。此外,計算的結合能表明,在MOF-303中的水吸附明顯強於在MOF-333中的水吸附。
3、本工作對MOF-333進行了水吸附分析,在22% RH下觀察到了一個理想的水吸附等溫線,沒有觀察到MOF-303的臺階S(圖4A)。粉末X射線衍射(PXRD)分析表明,9種產物均為等結構。由完全鹼解MOF晶體核磁共振分析和元素微區分析確定的多元系列中各MOF的連結比與輸入比幾乎成正比。這種反應化學的輸入輸出比與可重複性之間的密切對應關係表明,在所有比之間都有一個穩健的反應——這種行為可能被稱為程式化。此外,本工作透過掃描電子顯微鏡和能量色散X射線能譜,證實了PZDC2-在多元MOF晶體中的存在和均勻分佈以及單鏈MOFs的缺失。Al、C、N、O的圖譜在晶體輪廓內呈均勻的元素分佈,隨著FDC2-取代PZDC2-的增加,N訊號的整體強度不斷降低。
4、最後,本工作透過將‘4/4’暴露在1.7 kPa的水汽壓下,迴圈溫度在30° ~ 85℃之間(圖4F)進行了一個可靠驗證MOF長壽命的試驗,證實了PZDC2-和FDC2-在一個MOF晶體內混合並不損害單鏈骨架的水解穩定性。經過2000次攝取和釋放迴圈後,吸附劑保留了~ 97 %的工作容量。
原文連結:
https://www.science.org/doi/10.1126/science.abj0890
