第一部分 言語理解與表達
1.每一寸鮮血浸染的紅色熱土,每一段感人至深的紅色往事,都______著艱苦卓絕的犧牲奉獻,______著氣吞山河的壯麗輝煌,是全黨全國各族人民彌足珍貴的精神財富。
依次填入畫橫線部分最恰當的一項是:
A.匯聚 鐫刻
B.凝聚 描繪
C.彙集 勾勒
D.凝結 銘刻
2.黨的百年曆史,就是黨與群眾水乳交融、______的歷史。一條扁擔、一張借據、半條棉被就是黨與人民血肉相連、情深似海的______ 。
依次填入畫橫線部分最恰當的一項是:
A.唇齒相依 印記
B.相濡以沫 記憶
C.休慼與共 見證
D.眾志成城 證明
3.一代代特區建設者_____ 、艱苦創業,將昔日落後的邊陲小鎮、荒灘漁村建成了繁華的現代化城市,在建設中國特色社會主義偉大程序中譜寫了勇立潮頭、______的壯麗篇章。
依次填入畫橫線部分最恰當的一項是:
A.披荊斬棘 開拓進取
B.緊鑼密鼓 開天闢地
C.一往無前 開雲見日
D.乘風破浪 開疆拓土
4.新時代現實世界是如此新鮮豐富、多姿多彩,生活的______、人民的拼搏奮鬥、家庭的______、百姓的愛恨喜痛,都值得作家去側耳傾聽、用心思考、揮筆書寫,真正做到語出一人之口,撥出萬眾之聲。
依次填入畫橫線部分最恰當的一項是:
A.日新月異 酸甜苦辣
B.精彩紛呈 跌宕起伏
C.精妙絕倫 悲歡離合
D.一日千里 喜怒哀樂
5.社會是企業家施展才華的舞臺。______真誠回報社會、切實履行社會責任的企業家,______能真正得到社會認可, ______是符合時代要求的企業家。
依次填入畫橫線部分最恰當的一項是:
A.只有 才 才
B.只要 就 就
C.如果 不僅 還
D.因為 所以 就
6.建設生態文明,要在形成支援綠色發展、迴圈發展、低碳發展的機制上下真功夫、下大氣力;主動抓住新一輪科技革命和產業變革帶來的新機遇,掌握革命性、關鍵性綠色核心技術,進而帶動生態技術和生態產業交叉融合、群體躍進。換言之,從“生產力與生產關係矛盾運動規律”來看,如同“鐵和犁”於農業文明、“紡紗機和蒸汽機”於工業文明一樣,只有實現綠色生產力和綠色生產關係的根本性變革,生態文明才會成為真正引領人類文明的新形態。
對上述文段理解最準確的是:
A.生態文明是人類文明形態中的最高階階段
B.生產力和生產關係的辯證關係決定了生態文明的發展
C.實現綠色生產關係變革的關鍵是取得綠色核心技術突破性進展
D.形成支援綠色、迴圈和低碳發展的機制是生態文明建成的標誌
7.國有企業作為中國特色社會主義經濟制度重要載體,是我國經濟社會發展的中堅力量。當前,國有企業改革和發展面臨新問題和新挑戰,特別是在全面建成小康社會,開啟建設社會主義現代化國家新徵程的重要歷史交匯時刻,國有企業以“______”的頑強意志,把企業黨建建在實處,應對好每一場重大風險挑戰,提高企業效益、增強企業競爭實力,實現又好又快發展,成為改革的主力軍和先行者。
下列句子填入畫橫線處,最恰當的是:
A.踏平坎坷成大道,鬥罷艱險又出發
B.山重水複疑無路,柳暗花明又一村
C.沒有比人更高的山,沒有比腳更長的路
D.世上無難事,只要肯登攀
8.對網際網路金融加強監管,不是為了制約網際網路企業,而是鼓勵和保護真正有價值的金融創新,促進網際網路金融規範有序健康發展。廣大網際網路企業只有正確認識行業監管與自身發展的關係,將監管要求內化到企業經營管理中,才能更好地走上規範健康發展的軌道。
上述文段主要講了:
A.推進網際網路金融監管創新的價值
B.當前網際網路企業面臨的機遇和挑戰
C.制約網際網路企業健康發展的客觀因素
D.網際網路金融監管對企業發展的重要性
9.“為什麼我的時間總是不夠用?”我們常被這個問題困擾。我們抱怨有太多事情要做,好像永遠都做不完。於是“沒有時間”成了我們的口頭禪。在這種背景下,“時間管理”理念應運而生。時間管理倡導的很多方法,並不是要讓人們逃離現代性境遇所構築的牢籠,而是對其加以技術性強化。時間管理原本是要教會我們更精細、更嚴苛地分割利用時間,由於人們的主觀感受常常不一樣,有些人依然會覺得時間不夠用,事情永遠做不完,甚至為此心力交瘁。
對上述文段理解最準確的是:
A.精細化地分割和利用時間是時間管理的本質要求
B.時間管理沒有完全解決人們“時間不夠用”的困擾
C.對時間進行技術性強化是一種有效的時間管理辦法
D.嚴格的時間管理在一定程度上會左右人們的主觀感受
10.
①種種亂象對青少年心理、觀念、行為和健康成長容易產生消極影響。
②青少年是人生“起步”階段,他們的思想意識、價值觀念和人格正處於養成過程中。
③另一方面也一定要身體力行,引導孩子形成勤儉奮鬥的生活習慣,要狠下心來與包辦孩子的一切說“再見”。
④為此,身為家庭教育的主角,家長一方面要注重孩子的知識教育。
⑤只有這樣,才能把孩子培養成人格健全、自信自尊自強的大寫的“人”。
⑥但目前對青少年的養成教育上,家庭、學校、社會和網路輿論之間,卻不同程度地存在悖謬現象,言行背離、理論與實踐脫節。
將以上6個句子重新排列,最恰當的是:
A.②④③⑥①⑤
B.②⑥①④③⑤
C.①⑥④③②⑤
D.①②④⑤③⑥
第二部分 常識判斷
11.黨的十八大以來,我們深化對民主政治發展規律的認識,提出( )的重大理念,其不僅有完整的制度程式,而且有完整的參與實踐。
A.全方位人民民主
B.全鏈條人民民主
C.全過程人民民主
D.全覆蓋人民民主
12.《中共中央關於黨的百年奮鬥重大成就和歷史經驗的決議》闡明瞭四個歷史時期黨面臨的主要任務,以下關於各個歷史時期黨面臨的主要任務表述正確的是:
A.新民主主義革命時期——繼續探索中國建設社會主義的正確道路,解放和發展社會生產力,使人民擺脫貧困、儘快富裕起來,為實現中華民族偉大復興提供充滿新的活力的體制保證和快速發展的物質條件
B.社會主義革命和建設時期——反對帝國主義、封建主義、官僚資本主義,爭取民族獨立、人民解放,為實現中華民族偉大復興創造根本社會條件
C.改革開放和社會主義現代化建設新時期——實現從新民主主義到社會主義的轉變,進行社會主義革命,推進社會主義建設,為實現中華民族偉大復興奠定根本政治前提和制度基礎
D.中國特色社會主義新時代——實現第一個百年奮鬥目標,開啟實現第二個百年奮鬥目標新徵程,朝著實現中華民族偉大復興的宏偉目標繼續前進
13.近年來,我國在“大國重器”的研發上成果顯著,捷報頻傳。以下關於“大國重器”與其宣傳語的對應關係不正確的是:
A.“奮鬥者號”——只有沉得下去,才能浮得上來
B.“復興號”——暫時地降落是為了下一次更好地起飛
C.“北斗三號”——其實,方向比方法更重要
D.“中國天眼”——要仰望星空,也要腳踏實地
14.在經濟全球化時代,任何一個國家都不可能孤立於世界之外,團結合作是所有國家的必然選擇,各國人民更需要同舟共濟、共克時艱。
下列選項最符合該觀點內涵的是:
A.人視水見形,視民知治不
B.孤舉者難起,眾行者易趨
C.安而不忘危,存而不忘亡
D.天不言而四時行,地不語而百物生
15.馬克思主義指引中國成功走上了全面建設社會主義現代化強國的康莊大道,事業越向前發展,新情況新問題勢必越多,更應重視理論的作用,增強理論自信和戰略定力。這主要體現了:
A.認識對實踐有著巨大的指導作用
B.一切從實際出發,實事求是
C.實踐是檢驗真理的唯一標準
D.認識是主體對客體的能動反映
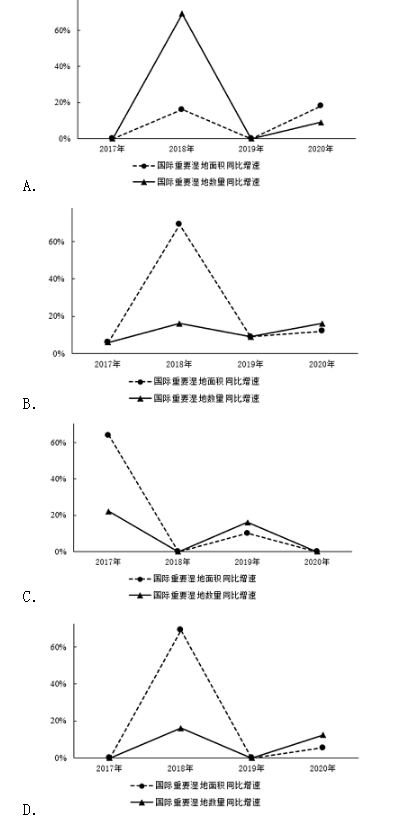
16.《中華人民共和國國民經濟和社會發展第十四個五年規劃和2035年遠景目標綱要》提出“推進能源革命,建設清潔低碳、安全高效的能源體系”。以下措施有助於建設清潔低碳、安全高效的能源體系的是:
①提升光伏發電規模
②推進以電代煤
③推動沿海核電建設
④有序發展海上風電
A.①④
B.②③
C.②③④
D.①②③④
17.結構性就業問題是因經濟結構和勞動力結構不對應,使工作崗位要求與勞動者文化技術水平不相適應而產生的就業問題。以下措施最有助於緩解結構性就業問題的是:
A.鼓勵創業帶動就業,支援多渠道靈活就業
B.持續、大規模、多層次開展職業培訓
C.完善就業失業統計監測調查體系
D.健全覆蓋城鄉勞動者的社會保障體系
18.推進農業綠色發展,有助於加快農業現代化,全面推進鄉村振興。關於“推進農業綠色發展”,下列說法準確的是:
A.全面實行全國草原禁牧
B.放開對非農建設佔用耕地的限制
C.發展節水農業和旱作農業
D.鼓勵發展各種形式規模的農業經營
19.1970年4月24日,我國自行設計、製造的( )發射成功,是我國航天空間技術的一個重要里程碑。自2016年起,我國將每年4月24日設立為“中國航天日”。
A.第一顆人造地球衛星“東方紅一號”
B.第一艘載人航天飛船“神舟五號”
C.第一顆月球探測衛星“嫦娥一號”
D.第一艘無人試驗飛船“神舟一號”
20.第一次國共合作實現後,以( )為中心彙集全國革命力量,很快開創了反對帝國主義和封建軍閥的革命新局面。
A.北京
B.廣州
C.上海
D.武漢
21.毛澤東一生中寫下了許多膾炙人口的詩句,其中描寫長征的是:
A.獨立寒秋,湘江北去,橘子洲頭
B.宜將剩勇追窮寇,不可沽名學霸王
C.七百里驅十五日,贛水蒼茫閩山碧
D.更喜岷山千里雪,三軍過後盡開顏
22.根據《黨政領導幹部選拔任用工作條例》,黨政領導幹部應當逐級提拔。特別優秀或者工作特殊需要的幹部,符合有關條件或情形的可以破格提拔。以下不屬於可以破格提拔的條件或情形的是:
A.經濟發達、高新技術產業發展地區急需引進的
B.在條件艱苦、環境複雜、基礎差的地區或者單位工作實績突出
C.專業性較強的崗位或者重要專項工作急需的
D.在關鍵時刻或者承擔急難險重任務中經受住考驗、表現突出、作出重大貢獻
23.以下是我國改革開放以來發生的重大事件,按時間先後順序排列正確的是:
①脫貧攻堅戰取得全面勝利②加入世界貿易組織③全面取消農業稅
④香港、澳門迴歸祖國⑤北京舉辦第二十九屆夏季奧運會
A.④②③⑤①
B.②⑤④③①
C.④②⑤①③
D.②①⑤③④
24.以下廣告宣傳用語中,不存在科學性錯誤的是:
A.礦泉水營養豐富,喝了就能滿足你和家人每日的礦物質需求
B.當季新鮮柑橘含有豐富的維生素C,有助於提高人體免疫力
C.本臺燈採用0頻閃技術,燈光不再有閃爍,更能保護眼睛
D.新款無糖月餅只用果糖,不新增蔗糖,讓你多吃也不發胖
25.以下詩句和所描述的植物對應有誤的是:
A.暗淡輕黃體性柔,情疏跡遠只香留——桂花
B.千磨萬擊還堅勁,任爾東西南北風——梅花
C.菡萏香銷翠葉殘,西風愁起綠波間——荷花
D.此心生不背朝日,肯信眾草能蘙之——向日葵
第三部分 數量關係
26.11,14,26,44,65,( )
A.80
B.83
C.86
D.89
27.22,42,44,84,88,168,( ),( )
A.176,336
B.236,352
C.264,386
D.312,412
28.
A.62
B.64
C.66
D.68
29.12,25,310,417,( )
A.521
B.526
C.632
D.647
30.1,0,1,5,4,5,9,( )
A.8
B.9
C.10
D.11
31.小李開車從甲市到乙市,需要走一段高速公路和一段國道。已知在高速公路上汽車油耗為0.05升/公里,在國道上油耗比在高速公路上多0.03升/公里。小李在高速公路上行駛了200公里,是在國道上行駛路程的4倍,則從甲市到乙市,小李汽車的油耗為( )升。?
A.15
B.14
C.12
D.10
32.小陳計劃在一定時間內完成法律常識題庫中的所有練習題。如果每天做50道題,那麼最後2天每天要做85道題才能完成,如果每天做55道題,恰好可以提前1天完成,則該題庫共有( )道題。
A.1215
B.1250
C.1320
D.1375
33.某單位計劃從全部80名員工中挑選專項工作組成員,要求該組成員須同時有基層經歷和計算機等級證書。已知,單位內有40人有基層經歷,有46人有計算機等級證書,既沒有基層經歷又未獲得計算機等級證書的有10人。那麼能夠進入工作組的員工有( )人。
A.16
B.40
C.46
D.54
34.甲、乙、丙3個單位訂閱同一款報刊,已知3個單位共訂了12份,其中,每個單位訂閱數量不少於3份,但不超過5份,則這3個單位的報刊訂閱數量可能有( )種組合。
A.2
B.6
C.7
D.9
35.某街道對轄內6個社群的垃圾分類情況進行考核評估,結果顯示,有2個社群的垃圾分類考核不透過。如果從6個社群中隨機抽取3個進行現場檢查,則抽取的社群中,既有考核透過的又有考核不透過的社群的機率為:
36.有一個長方形花壇,長為10米,寬為8米。現要在花壇四周安裝柵欄,要求4個頂點處各插一根木樁,除頂點處的木樁外,每邊還要插若干木樁,且每兩根木樁間的距離至少為3米,則最多可以插( )根木樁。?
A.10
B.12
C.14
D.16
37.甲、乙兩人計劃分裝會議材料,9點多先後開始工作,且兩人每分鐘完成分裝的份數相同。9點38分時,甲完成的份數是乙的4倍,9點53分時,甲完成的份數是乙的1.5倍。那麼,甲比乙早( )分鐘開始工作。
A.4
B.6
C.8
D.9
38.為鼓勵員工閱讀,某單位與購書中心合作,員工購書時,享受原價的7折優惠,且打折後每本書還可疊加使用單位提供的5元補貼券。員工小陳買了5本書,且每本書折後價均超過5元,扣除補貼後自己只花了48.5元,則這些書的原價一共為( )元。
A.75
B.85
C.95
D.105
39.樓道上方有一盞燈,小劉徑直走向這盞燈。一開始, 他發現自己影子的長度為3.2米,前進1米後,發現影子縮短為1.6米。已知小劉身高為1.6米,則這盞燈的高度約為( )米。
A.2.6
B.2.8
C.3.2
D.3.4
40.如圖,倉庫有一堆管材,每一層的數量都比上一層多1根。搬運工人將管材逐根搬離,搬了99根後發現,管材堆少了3層,且剩餘每層的管材數量都減少了3根。如果這堆管材剛好還剩10層,則剩下的管材共有( )根。
A.245
B.265
C.305
D.325
第四部分 判斷推理
41.如圖所給的3個立方體為同一立方體,若不考慮立方體表面數字的大小、方向,下列選項中,最有可能是該立方體的是:
A.A
B.B
C.C
D.D
42.下列選項中最符合所給圖形規律的是:
A.A
B.B
C.C
D.D
43.如圖是某立方體的平面展開圖,則該立方體最可能是:
A.A
B.B
C.C
D.D
44.如圖是一個物體某兩個角度的檢視,則該圖形最有可能是:
A.A
B.B
C.C
D.D
45.下列選項中最符合所給圖形規律的是:
A.A
B.B
C.C
D.D
46.從所給的四個選項中,選擇最合適的一個填入問號處,使之呈現一定的規律性:
A.A
B.B
C.C
D.D
47.從所給的四個選項中,選擇最合適的一個填入問號處,使之呈現一定的規律性:
A.A
B.B
C.C
D.D
48.下列選項中最符合所給圖形規律的是:
A.A
B.B
C.C
D.D
49.下列選項中最符合所給圖形規律的是:
A.A
B.B
C.C
D.D
50.從所給的四個選項中,選擇最合適的一個填入問號處,使之呈現一定的規律性:
A.A
B.B
C.C
D.D
51.耳塞:噪音
A.書籍:知識
B.蠟燭:光明
C.肥皂:汙漬
D.風扇:低溫
52.洽淡:合作
A.考試:成績
B.打磨:切割
C.施肥:灌溉
D.投資:收益
53.文字:詩詞:絕句
A.筆畫:隸書:漢字
B.音符:樂譜:五線譜
C.稅收:財政:貨幣
D.樹木:森林:生態
54.法律:訴訟:勝敗
A.策略:經營:盈虧
B.戰爭:武器:存亡
C.判斷:事實:對錯
D.教師:教學:優劣
55.志同道合:沆瀣一氣
A.居安思危:杞人憂天
B.鼠目寸光:高瞻遠矚
C.舉棋不定:優柔寡斷
D.口若懸河:信口開河
56.我國法律規定,用人單位由於生產經營需要,經協商,取得工會和勞動者同意後可以延長工作時間,且一般每日不超過一小時。某國有企業有員工在週五晚上延長工作時間,但並沒有違法。
根據上述資訊可以推知:
A.該企業員工延長工作一定不超過一小時
B.該企業所有員工都同意延長工作時間
C.該企業工會同意延長工作時間
D.該企業屬於不受工作時間限制的特殊行業
57.子日:“名不正,則言不順;言不順,則事不成;事不成,則禮樂不興;禮樂不興,則刑罰不中;刑罰不中,則民無所措手足。”
根據以上論述,下列推斷必然正確的是:
①名正則言順
②禮樂興則事已成
③名不正,則民無所措手足
④只有名正言順才事可成
A.①②
B.②③
C.②③④
D.①②③④
58.某機構對在廣州有創業、就業、實習等經歷的港澳青年進行調查,結果顯示,有留穗發展意願的港澳青年比例佔七成以上;九成港澳青年透過實習瞭解和認識廣州;有超過一半的港澳青年非常看好粵港澳大灣區的發展前景。因此,來廣州實習有助於港澳青年獲得對粵港澳大灣區的認同感。
要使上述推論成立,可以補充的前提是:
A.熟悉廣州有助於港澳青年更好地適應在廣州工作和生活
B.港澳青年的留穗發展意願是其對粵港澳大灣區具有認同感的重要表現
C.透過實習,港澳青年對粵港澳大灣區發展前景更有信心
D.超過一半的在穗實習港澳青年參與了這項調查
59.某高校調查本校學生的興趣愛好後發現,喜歡打羽毛球的學生中,來自體育學院的學生一定喜歡登山。
根據以上條件,下列情況必定屬實的是:
A.甲喜歡打羽毛球和登山,則甲是體育學院的學生
B.乙是體育學院的學生,且喜歡登山,則乙喜歡打羽毛球
C.丁不喜歡打羽毛球和登山,則丁不是體育學院的學生
D.丙喜歡打羽毛球,不喜歡登山,則丙不是體育學院的學生
60.邏輯思維能力是一個人最重要的能力之一,但大部分學校都沒有開設專門培養邏輯思維能力的課程。
以下選項若為真,最能有效解釋上述現象的是:
A.學校內絕大多數課程的設計核心都是提高學生的邏輯思維能力
B.人們的邏輯思維能力往往能隨著學識和社會閱歷的增長自然提高
C.絕大多數大學設有關於邏輯思維能力的公共選修課程
D.部分教師對於如何培養邏輯思維能力並沒有清晰的認識
61.某單位將《稻穗》《播種》兩件鄉村新風攝影作品選送參賽。關於這兩件作品能否獲獎,該單位員工有以下猜測:
(1)兩件作品都能獲獎。
(2)只有一件作品能獲獎。
(3)《稻穗》不會獲獎。
(4)《播種》會獲獎。
結果表明,其中只有一個猜測正確。則以下判斷一定正確的是:
A.《稻穗》獲獎了
B.《稻穗》沒獲獎
C.《播種》獲獎了
D.《播種》沒獲獎
62.某青年教師學習小組需由2位七年級和1位八年級的教師組成,並且教師教授的科目各不相同。七年級的候選人有:語文老師甲,數學老師乙,英語老師丙;八年級的候選人有:數學老師丁,歷史老師戊,語文老師己。則以下人選組合能夠滿足條件的是:
A.甲,己,戊
B.甲,乙,己
C.乙,丙,戊
D.乙,丙,丁
63.有調查發現,某鎮的鄉村振興工作中,由縣農業部門工作人員擔任駐村工作隊隊長的村莊其農業產業發展速度明顯快於由其他部門工作人員擔任駐村工作隊隊長的村莊。據此有人認為,縣農業部門的工作人員更重視當地的農業產業發展,而農業產業發展是增加當地農民收入的重要手段,因此縣農業部門的工作人員開展鄉村振興工作成效往往較好。
以下選項中屬於上述論證過程中隱含前提的是:
A.農業部門工作人員往往有更多農業產業相關的專業知識
B.農民收入是評價鄉村振興工作成效的重要指標
C.鄉村振興工作的成效只能用農業產業發展情況來衡量
D.不同村莊農民收入在鄉村振興工作開展前基本持平
64.有研究表明,隨著人均收入水平的提高,人民對生活的滿意度也提高了。因此,政府應該大力發展經濟,從而增加人民的人均收入。
上述研究的推論暗含的前提是:
A.人均收入水平的提高能滿足人民群眾精神層面的需求
B.人民對生活的滿意程度取決於政府在經濟建設上的投入力度
C.提升人民對生活的滿意度是政府工作的主要任務之一
D.人均收入水平的提高對人民滿意度的提升作用會不斷增強
65.如今越來越多企業認識到中歐班列具有時效更高、週轉更快等優勢,從而選擇透過中歐班列發運貨物。例如,在廣州大朗站,2021年前9個月已開行出口中歐班列97列、發運標箱9698個、貨值29.47億元,同比分別增長25.97%、33.80%、19.94%。儘管大朗站的工作人員數量沒有明顯增加,但有不少企業發現,大朗站貨物通關效率比去年更高了。
下列選項最能解釋這一現象的是:
A.珠三角地區增設了多個通關口岸
B.當地海關簡化了通關流程
C.中歐班列的列車執行速度有所提高
D.當地貨物通關時間較去年有所減少
66.某農村合作社購買了兩臺新型號收割機,這兩臺機器收割速度快,而且有助於減少收割過程中的糧食損失。但該農村合作社使用這兩臺收割機以來,其玉米收割總損失率高達10%,較以往反而有所上升。
以下最能解釋這一現象的是:
A.使用收割機後,該農村合作社收割玉米的效率大幅提高
B.兩臺收割機僅被用於收割部分田地的玉米
C.操作人員培訓不到位,操作收割機時常出現失誤
D.玉米並不是當地種植的主要糧食作物
67.在新的社會發展形勢下,如果醫生只掌握專業理論知識和實踐能力,卻缺乏基本職業道德,不僅很難適應社會需求,同時還容易造成醫患關係緊張。因此在醫學專業學生的培養過程中,不僅要注重專業理論知識的教育,更應注重提升醫德醫風職業素養。
以下選項若為真,最能支援上述論斷的是:
A.目前大多數醫術水平較高的醫生極少與患者產生衝突
B.醫生在救治過程中只顧治病不顧患者感受往往導致醫患關係緊張
C.醫學專業學生職業素養的提升,主要依靠學校的思想道德教育
D.比起專業水平,越來越多患者就醫時更看重醫生的道德素養
68.多年來,甲國居民消耗的主要糧食中,有80%以上由本國生產;而乙國居民消耗的主要糧食中有六成以上依賴進口。但經過調查發現,當國際大米價格出現上漲時,甲國國內的大米價格漲幅明顯高於乙國。
下列選項如果為真,最能解釋這一現象的是:
A.甲國主要糧食進口以大米為主,乙國主要糧食進口以小麥為主
B.乙國居民對食物品質和口感的要求比甲國居民更高
C.乙國的糧食產量比甲國更加穩定
D.與甲國相比乙國人口少、收入高,糧食支出佔其收入的比重更低
69.每一名戰士都是英雄,每一名英雄都值得被紀念,因此每一名戰士都值得被紀念。
下列選項的邏輯結構與題幹最相似的是:
A.藝術家往往是浪漫主義者,而有些浪漫主義者會感情用事,因此藝術家常會感情用事
B.所有素食主義者都是人文主義者,而所有和平主義者都是人文主義者,因此素食主義者一定是和平主義者
C.所有的科學家都是理性主義者,所有的理性主義者都是天生的哲學家。因此科學家都是天生的哲學家
D.利己主義者總是以自身利益最大化作為行事準則,而單純造求自身利益的最大化必然會損害到他人利益,因此利己主義者總會和他人發生衝突
70.世界科技強國必須能夠在全球範圍內吸引人才、留住人才、用好人才。我國要建設世界科技強國。因此,我國必須注重對國際人才的吸引與使用。
下列選項的邏輯結構與題幹最相似的是:
A.人才的培養培育離不開良好的環境。因此,構築集聚全球優秀人才的科研創新高地,完善配套制度,就能面向世界匯聚一流人才
B.國家科技創新力的根本源泉在於人才,國家、民族長遠發展離不開科技創新力。因此,培養創新型人才是國家、民族的長遠發展之計
C.科技創新離不開科技人員持久的時間和精力投入。因此,要建立讓科研人員把主要精力放在科研上的保障機制
D.榜樣的力量對科技工作者來說是無窮的。兩院院士是科技成果的主要貢獻者,更應做好表率,激勵廣大科技工作者不斷攻堅克難、勇攀高峰
71.某便利店銷售一款牛奶,這款牛奶在店內每瓶售價8元,在店外自動售貨機上的價格為每瓶10元,但依然有部分人選擇在自動售貨機上購買這款牛奶。
以下選項若為真,最不能解釋這一現象的是:
A.有些人趕時間,當店內顧客過多時不願意進店排隊結賬
B.有些人購買目標單一,只想買牛奶並不想購買其他商品
C.有些人不願花精力進店尋找商品,自動售貨機展示商品更直觀
D.有些人喜歡喝冰牛奶,只有自動售貨機銷售冰牛奶
72.某教師收集了本班學生的語文學習興趣、每天的學習時長等資訊,結合期末考試語文成績分析後發現,與每天語文學習時長不足2小時的學生相比,學習超過2小時的學生學習興致普遍更高,其語文期末考試平均分也更高。該教師由此得出結論,增加語文學習時長能夠有效培養學習興趣,進而提高語文成績。
下列選項若為真,最能質疑上述結論的是:
A.該班級期末考試語文成績最好的學生每天學習語文1小時
B.該班級的語文期末考試平均分高於其他班級
C.語文學習興趣高的學生擁有更好的學習習慣
D.只有語文學習興趣高的學生才樂於花更長時間學習語文
73.農業得到極大發展後,農民的收入水平會顯著提高,農業科技水平相對落後的地區農民收入水平不能提高。由此可知,農業科技水平相對落後的地區,農業產業有待發展。
下列選項的邏輯結構與題幹最相似的是:
A.氣溫低於10攝氏度時,某地的滑雪場就會對外開放。每年的國慶節當地的滑雪場都不對外開放。因此,每年國慶節當地氣溫都在10攝氏度及以上
B.景無月不美,酒缺月無味。因此,只有賞月時,才能欣賞到美景、品嚐到美味
C.教育水平不高的地區,往往缺乏優秀的農業生產人才。鄉村振興需要大量的農業生產人才。因此。教育水平不高的地區較難實現鄉村振興
D.人在逆境中要不忘初心,才能迎難而上,克服挑戰;在順境中也要不忘初心,才能戒驕成躁,穩步前行,因此,人在任何處境下都要做到不忘初心
74.某公司產品的各項效能都比競爭對手的更好。所以,如果該公司能夠降低產品的市場定價,與競爭對手的價格持平,那麼該公司產品一定會迅速佔領市場。
下列選項若為真,最能削弱上述論斷的是:
A.該公司產品的生產成本較高,降低市場定價將會極大影響公司利潤
B.與競爭對手相比,該公司的產品宣傳力度和售後服務不具顯著優勢
C.該公司的生產規模很小,其產量僅能滿足市場需求的百分之一
D.該公司產品設計瞄準的是高階市場,降低價格不符合其市場定位
75.重點民生領域過度金融化,將會在危及廣大民眾財產安全的同時給相關行業帶來沉重打擊。因此,為了保護重點民生領域相關行業的健康發展,應防止其過度金融化。
下列選項的邏輯結構與題幹最相似的是:
A.作家寫作時需要持續投入時間和精力。這些作品的銷量都很好,看來在寫作過程中,創作者都投入了大量的時間和精力
B.如果未能築牢網路法治基礎,網路上的社會矛盾將會蔓延到現實社會中。因此,為防止現實社會受到網路社會矛盾的衝擊,應大力鞏固網路法治基礎
C.中國戲劇作品主要透過翻譯、演出為海外受眾所熟知。近年來演出量大幅下降,而中國傳統文化的國際影響力越來越大,可見翻譯的作用更大
D.一個企業越成熟,越能正確地看待過去的成就。某企業總是能正確地看特過去的成就,可以說它是一個成熟的企業
第五部分 科學推理
76.對下列生活中的現象或做法解釋不合理的是:
A.物體的熱脹冷縮——分子隨溫度升高而變大
B.油鍋著火用鍋蓋蓋滅——使可燃物與空氣隔絕
C.在鐵製品表面刷油漆——避免鐵製品氧化生鏽
D.利用真空袋包裝食品——破壞需氧菌類的生存環境
77.鏡子前面放有一個圓球。如圖是某人站在鏡子前從某個角度看到的圓球和其映象位置關係示意圖,則此人在鏡子前所站的位置及視角最可能是:
A.A
B.B
C.C
D.D
78.如圖是某家庭電路圖的一部分,家庭內各電器均正確接入電路。則以下說法準確的是:
A.假如乙和甲分別是電器或開關,則丙是開關
B.假如電路正常,正確使用試電筆接觸三孔插座的孔都會顯示有電流
C.假如甲是帶金屬外殼的用電器,則它接的是三孔插座
D.假如零線被燒斷,應立即關閉開關,否則會引起短路
79.食物鏈主要反映了生產者與消費者之間的聯絡,下列關係中最能準確表示食物鏈的是:
A.草→兔→狐→鷹
B.陽光→草→雞→狼
C.蟲→鳥→蛇
D.草→羊→虎→微生物
80.如圖,甲、乙兩個相同的容器中盛著不同的液體,當相同的小球漂浮在容器中並保持靜止時,容器中液麵的高度相同,則下列說法準確的是:
A.小球在甲容器中受到浮力比在乙容器中的小
B.小球在甲容器中受到浮力比在乙容器中的大
C.甲容器中液體的密度比乙容器中液體的小
D.甲容器中液體的密度比乙容器中液體的大
81.如圖是某地生態系統的蒸散示意圖,下列說法最準確的是:
A.環境溫度升高,森林的蒸散作用減弱
B.空氣溼度越大,森林的蒸散作用越弱
C.任意環境條件下,湖泊的蒸發量比森林蒸散量大
D.相較於夜晚,該地生態系統在白天時蒸散作用強度明顯減弱
82.以下為甲、乙兩車行駛情況的示意圖,已知甲、乙同時從一起點出發,甲車在水平道路上勻速直線行駛,乙車在同一水平的道路上勻減速直線行駛,則在兩車行駛的過程中,下列說法準確的是:
A.甲車的速度為15m/s
B.乙車的初始速度為25m/s
C.45s時,乙車行駛的路程更遠
D.50s時,乙車仍處於行駛狀態
83.如圖,小球在細繩的牽引下從A點自由擺動到C點,B點是最低點。若忽略空氣阻力,則下列說法不準確的是:
A.從A點到B點小球的動能增加
B.從B點到C點小球的勢能增加
C.在B點小球的動能最大
D.從A點到C點小球的機械能增加
84.如圖,用繩子分別將兩顆不同的磁力球和系在上、下兩個平面上,、互相吸引,此時上平面對的作用力為,下平面對的作用力為 ,則以下關於、說法準確的是:
A.大於
B.等於
C.小於
D.無法判斷
85.如圖是某種固態物質在加熱過程中,溫度隨時間變化的影象。下列說法最不準確的是:
A.該固態物質有固定的熔點
B.該固態物質在熔化過程中,比熱容增大
C.溫度為0℃時,該物質可能處於固液共存狀態
D.該固態物質在熔化時不斷吸收熱量,溫度不斷升高
第六部分 資料分析
2020年,全國職工基本醫療保險(以下簡稱職工醫保)參保人數持續增加,基金收支規模基本穩定。參加職工醫保34455萬人,比上年同比增加1530萬人。其中在職職工25429萬人,比上年增長5.0%;退休職工9026萬人,比上年增長3.7%。企業、機關事業、靈活就業等其他人員三類參保人員(包括在職職工和退休人員)分別為23317萬人、6387萬人、4751萬人,分別比上年增加1050萬人、155萬人、325萬人。
受新冠肺炎疫情影響,2020年2-7月全國多地實施階段性減半徵收職工醫保單位繳費,累計減徵約1649億元,全年職工醫保基金(含生育保險)收入15732億元,比上年減少0.7%;支出12867億元,比上年增長1.6%。2020年,職工醫保統籌基金(含生育保險)收入9145億元,比上年減少8.6%;支出7931億元,比上年減少0.1%;當期結存1214億元,累計結存15327億元。
2020年,職工醫保個人賬戶收入6587億元,比上年增長12.8%;支出4936億元,比上年增長4.5%;當期結存1650億元,累計結存10096億元。
2020年就診量同比有所減少。參加職工醫保人員享受待遇17.9億人次,比上年減少15.6%。職工醫保參保人員住院率15.9%,比上年下降2.8個百分點。其中:在職職工住院率為8.6%,比上年下降1.5個百分點;退休職工住院率為36.0%,比上年下降6.5個百分點。
86.2020年,全國參加職工醫保人數同比增長約:
A.4.6%
B.5.4%
C.6.2%
D.7.1%
87.2020年,靈活就業等其他人員參保人數佔職工醫保參保總人數的比例約為:
A.12.9%
B.13.8%
C.15.2%
D.16.1%
88.若2-7月未實施階段性減半徵收職工醫保單位繳費,則2020年職工醫保基金總收入(含生育保險)同比增長:
A.4%
B.7%
C.10%
D.13%
89.2020年,下列指標的同比增長率從高到低排列正確的是:
A.職工醫保基金(含生育保險)收入>職工醫保個人賬戶收入>職工醫保統籌基金(含生育保險)收入
B.職工醫保個人賬戶支出>職工醫保個人賬戶收入>職工醫保統籌基金(含生育保險)收入
C.職工醫保個人賬戶收入>職工醫保基金(含生育保險)收入>職工醫保基金(含生育保險)支出
D.職工醫保基金(含生育保險)支出>職工醫保統籌基金(含生育保險)支出>職工醫保基金(含生育保險)收入
90.根據以上資料,下列說法不準確的是:
A.2020年,職工醫保參保人員人均享受待遇約5次
B.2019年,在職職工住院率約為退休職工住院率的四分之一
C.2020年,三類職工醫保參保人員中,靈活就業等其他人員參保人數同比增速最快
D.若職工醫保個人賬戶收入和支出的年同比增幅保持不變,則2021年個人賬戶當期結存不足2000億元
增加森林面積、提高森林質量、提升生態系統碳匯增量,將為我國實現碳達峰、碳中和目標、維護全球生態安全做出巨大貢獻。1973年,我國開展了第一次森林資源清查。目前已完成第9次森林資源清查,我國森林面積和森林蓄積量連續30年保持“雙增長”。“十三五”時期,我國累計造林5.45億畝,森林覆蓋率達到23.04%,森林蓄積量為175.6億立方米,森林面積達到2.2億公頃(1公頃為15畝)。溼地保護率達到52%,治理沙化土地1.5億畝。
91.“十三五”期間,我國平均每公頃森林蓄積量達到( )立方米。
A.5.3
B.32.2
C.79.8
D.98.6
92.相比第1次森林資源清查,第9次森林資源清查時,我國森林覆蓋率提高了約( )個百分點。(本材料中森林覆蓋率為森林面積佔國土面積的百分比)
A.10
B.15
C.20
D.25
93.2016-2018年,我國國際重要溼地面積的年均增長率約為:
A.25%
B.30%
C.35%
D.40%
94.以下選項中,最準確地反映了2017-2020年我國國際重要溼地面積、數量同步增速變化情況的是:
95.根據以上資料,下列說法不準確的是:
A.我國森林蓄積量較前一次森林資源清查增幅最大的是第6次森林資源清查
B.第5次至第9次森林資源清查,我國森林面積和森林蓄積量的變化趨勢一致
C.2016-2020年,我國平均每年增加國際重要溼地超過3個
D.2017-2020年,我國平均每個國際重要溼地面積同比增幅最大的年份是2020年
2020年,受新冠肺炎疫情影響,我國民航全行業完成旅客運輸量41777.82萬人次,比上年下降36.7%。國內航線完成旅客運輸量40821.30萬人次,比上年下降30.3%,其中港澳臺航線完成旅客運輸量96.13萬人次,比上年下降91.3%,國際航線完成旅客運輸量956.51萬人次,比上年下降87.1%。儘管如此,我國國內航空運輸市場在全球範圍內恢復最快、執行最好。
2020年,全行業運輸航空公司完成運輸飛行時長876.22萬小時,比上年下降28.8%。國內航線完成運輸飛行時長788.22萬小時,比上年下降20.5%,其中港澳臺航線完成運輸飛行時長3.55萬小時,比上年下降82.3%,國際航線完成運輸飛行時長87.99萬小時,比上年下降63.3%。
2020年,全行業運輸航空公司完成運輸起飛371.09萬架次,比上年下降25.3%。國內航線完成運輸起飛357.29萬架次,比上年下降20.2%,其中港澳臺航線完成運輸起飛1.65萬架次,比上年下降80.3%,國際航線完成運輸起飛13.79萬架次,比上年下家71.8%。
96.相比2019年、2020年我國民航全行業完成旅客運輸中,國內航線完成旅客運輸總量佔比約:
A.降低了9%
B.降低了15%
C.提高了9%
D.提高了15%
97.2019年,平均每架次完成運輸飛行時長最長的是:
A.國內航線
B.港澳臺航線
C.國際航線
D.全行業運輸航空公司
98.2016-2020年,國內航線條數比國際航線條數多4倍以上的年份有:
A.1
B.2
C.3
D.5
99.按不重複距離計算,以下年份中,國際航線里程同比增速最快的是:
A.2017年
B.2018年
C.2019年
D.2020年
100.根據以上資料,下列說法準確的是:
A.2019年,國內航線運輸飛行時長佔全行業運輸航空公司運輸飛行時長的9成以上
B.相比2019年,2020年我國國內航線、港澳臺航線、國際航線平均每條航線完成旅客運輸量均有下降
C.2016-2020年,按重複距離計算的總航線里程公里數年均增長不到100萬
D.2019年,全行業運輸航空公司完成運輸起飛不到400萬架次
