截至2022年1月中旬,試點22城已完成2021年全部三輪集中土拍,整體來看三輪土拍溫度雖仍低迷,但在個別低庫存城市已初現轉暖跡象,同時房企拿地利潤空間改善明顯。考慮到當前政策方向雖明確但力度仍存不確定性,樓市銷售料短期內仍以底部震盪為主,行業出清過程仍在持續,我們繼續提示均好型優質龍頭的配置機會(個別房企信用風險及2021年業績壓力擾動可能為優質龍頭提供逢低買入契機)。
摘要
2021年兩集中試點城市推地量同比微增,三輪集中土拍准入條件邊際略松。2021年試點22城共三輪集中土拍累計推出宅地宗數同比增加6%,但成交宗數同比下降6%,下半年推地宗數佔比57%。三輪集中土拍方案較二輪無明顯變化,但保證金比例較二輪邊際下行2.3ppt至25.2%,4城降幅超10ppt。
三輪集中土拍質增量減,流拍率下行、利潤率改善明顯。三輪集中土拍累計推出728宗宅地,成交575宗,流拍率較二輪下行12ppt降至21%,成交宅地對應建面和金額分別較二輪下行11%和8%至6329萬平和5948億元。同時,三輪成交地塊質量較二輪提升明顯(潛在售價上漲11%)但地貨比仍下行0.009至0.437,潛在利潤空間(潛在售價與地價差值)增加約1529元/平,對應拿地稅前毛利率和淨利率分別較二輪增加4ppt和2ppt至28.3%和8.8%。
土地市場溫度整體雖仍低迷但在個別低庫存城市略有回暖;三輪集中土拍中地方國企拿地佔比顯著增加,民企基本持平,央企邊際下降。分城市來看,三輪集中土拍中成交金額邊際走高的11城,其對應狹義庫存去化月數較平均水平短約三成,其中3城溢價率也邊際走高,初現回暖跡象。分企業性質來看,三輪集中土拍中地方國企拿地金額提升15ppt至54%,拿地質量和利潤空間也明顯走高(平均售價漲幅達28%,地貨比邊際下行0.029至0.410);民企拿地金額邊際略增2ppt至30%,央企邊際下行17ppt至16%。分企業規模來看,銷售Top50的龍頭房企拿地金額佔比進一步縮減21ppt至20%,其中保利、華潤、招商蛇口、龍湖、綠城拿地金額名列前十,銷售Top30-50的中型房企拿地份額縮減至零附近。
2021年全國宅地成交結構向基本面較好的城市明顯側重。2021年300城宅地成交建面同比跌幅達-24%,其中試點22城和非22城分別同比下降6%和31%;但宅地成交金額同比僅跌7%,其中22城和非22城分別同比增長6%和下跌19%;對應22城宅地成交建面和金額佔比均較此前三年提升6-7ppt。
風險
政策端正向調整力度不及預期,房企信用風險超預期惡化。
正文
2021年三輪集中土拍彙總
三輪集中土拍推出地塊質增量減,流拍率下行、利潤空間改善
22城供地總量微增、成交總量微降,整體供地節奏側重下半年。截至2022年1月18日,2021年針對22個試點城市的三輪集中土拍已全部結束。整體來看,22城累計供應宅地宗數較2020年增加6%,各城市漲跌幅在83%至-20%不等;但累計成交宅地宗數較2020年下跌6%,各城市漲跌幅在43%至-38%不等。節奏上看,首輪、二輪、三輪集中土拍的推地時間分別集中於三至四月、七至八月、十一月,成交時間大多較供地時間滯後一個月左右,推地和成交節奏均更加側重於下半年(上半年推地宗數佔比僅43%)。往前看,考慮到2022年樓市景氣度大機率仍是前低後高,我們預計22城推地節奏預計還將側重於下半年。
圖表:2021年集中土拍試點城市供地節奏
![]()
注:淺紅色陰影標識了各城市集中供地月份,顏色由淺到深分別對應首輪、二輪和三輪集中土拍;青島、杭州、深圳二輪集中土拍掛牌公告曾經撤銷並重新掛牌,整理過程中已剔除被撤銷的掛牌資訊,以加粗、下劃線標識。
資料來源:中指資料庫,各地方自然資源局官網,中金公司研究部
三輪集中土拍方案整體變動不大,平均保證金比例微降。自二輪集中土拍明確限制使用“競配建/自持”後,土拍方式已初步形成“限房價,限地價,搖號/一次報價/競高標方案”同時“禁馬甲”、要求“房企自有資金競拍”的成熟模式;與之相比,三輪土拍方式並無明顯變化,僅極個別城市保留“競自持/可售人才房/首期付款比例”步驟,多數有建設保障性租賃住房或市場化租賃住房需求的城市,會在宅地掛牌方案中即設定固定比例的租賃住房配建要求,而非要求房企在土拍過程中競爭相應比例。此外,三輪集中土拍平均保證金比例較二輪略下行2.3ppt至25.2%(二輪較首輪略上升1.3ppt),降幅較為明顯的城市包括南京(-22ppt)、蘇州(-18ppt)、長沙(-11ppt)、青島(-10ppt)、濟南(-9ppt)、武漢(-7ppt)。
圖表:2021年三輪集中土拍各城市土拍方式對比表
三輪集中土拍推地量、流拍率邊際下行,推地質量提升、拿地利潤空間改善明顯。從總量視角來看,三輪集中土拍中共推出宅地728宗,較二輪下降25%,最終成交575宗,流拍率較二輪下行12ppt至21%(其中不乏個別城市提前摸排房企拿地意願,主動削減地塊推盤計劃所造成的影響),對應成交建面為6329萬平(較二輪下降11%),成交金額5948億元(較二輪下降8%)。從單價視角來看,三輪集中土拍成交地塊質量較二輪提升明顯(潛在售價漲幅達11%)但地貨比仍下行約0.009至0.437,對應房企拿地利潤空間增加約1529元/平方米(以潛在售價和地價之差衡量),拿地稅前毛利率和淨利率分別較二輪增加4ppt和2ppt至28.3%和8.8%(二輪分別為24.3%和6.8%,首輪分別為22.5%和5.8%)。需要明確的是,此處假設為平均售價基本保持拿地時價格,不考慮房價未來上行或下行對利潤空間的正向和負向影響。
圖表:2021年三輪集中土拍綜合指標對比
分城市來看,三輪集中土拍中部分低庫存城市初現回暖跡象
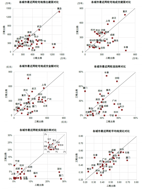
三輪集中土拍中部分低庫存、快去化城市初步顯現回暖跡象。分城市來看,22個兩集中試點城市中僅6城三輪推地建面超過二輪,但最終有10城的成交建面和11城的成交金額超過二輪,這背後是三輪集中土拍中各城市流拍率的普遍走低(15城流拍率低於二輪)。成交金額走高的11城包括重慶、無錫、杭州、福州、濟南、寧波、蘇州、長沙、鄭州、上海和武漢,多為庫存偏低、去化較快的城市(上述11城2021年4季度平均批准上市未售庫存去化月數為9.5個月,可觀測到的43城同期同口徑去化月數約14.1個月),土地市場的邊際回溫在這類城市已初露頭角,其中寧波、杭州、成都的溢價率也較二輪明顯提升,反映其復甦更為積極。此外,22城中15城三輪地貨比均較二輪有所下行,房企拿地利潤空間的邊際改善較為普遍。
圖表:三輪與二輪集中土拍各城市關鍵指標對比
分企業來看,地方國企成為拿地主力,Top30-50中型房企收縮明顯
三輪集中土拍中地方國企成為拿地主力,同時其獲取土地的質量和利潤空間均有所提升,龍頭房企拿地規模繼續萎縮,其中腰部中型房企拿地規模已縮減至零附近。
► 以企業性質劃分,三輪集中土拍中地方國企拿地份額進一步提升(成交建面和金額佔比分別提升12ppt和15ppt至56%和54%),民營企業拿地份額基本持平(成交建面佔比略降2ppt至31%,成交金額佔比略升2ppt至30%),央企拿地份額明顯下行(成交建面和金額佔比分別降低10ppt和17ppt至13%和16%)。其中地方國企不僅拿地份額抬升明顯,拿地質量也有所最佳化(成交地塊潛在售價環比二輪提升28%),同時地貨比下行明顯(三輪0.410 vs. 二輪0.439),對應潛在利潤空間較二輪邊際增長3923元/平米。
► 分主營業務來看,儘管三輪集中土拍中房企拿地仍是絕對主力,但非房企拿地份額也有所提升(拿地建面和金額佔比分別提升7ppt和8ppt至17%和16%),其中工程基建物管類企業提升尤為明顯(這可能與三輪以地方國企為主的拿地結構直接相關)。進一步對房企拿地按照企業規模劃分,銷售Top50的龍頭房企拿地份額進一步萎縮(拿地建面和金額佔比分別下降13ppt和21ppt至15%和20%),其中銷售Top30房企中拿地主力包括保利發展、華潤置地、招商蛇口、龍湖集團、綠城中國,均位列三輪拿地金額前十名內,銷售Top30-50這類中型房企的拿地份額已縮減至零附近(一定程度上體現其年末資金面壓力)。
圖表:2021年三輪集中土拍中房企拿地結構對比(按所有制性質劃分)
![]()
資料來源:中指資料庫,各地方自然資源局官網,企業信用資訊登記查詢系統,中金公司研究部
圖表:2021年三輪集中土拍中房企拿地結構對比(按主營業務劃分)
![]()
資料來源:中指資料庫,各地方自然資源局官網,企業信用資訊登記查詢系統,中金公司研究部
圖表:2021年三輪集中土拍中房企拿地結構對比(按企業規模劃分)
![]()
注:為實現橫向可比,此處定義銷售額排名前N位的方式以2021年6月克而瑞房企銷售榜單為準。
資料來源:中指資料庫,各地方自然資源局官網,企業信用資訊登記查詢系統,中金公司研究部
2021年土地市場整體情況
2021年宅地成交建面跌幅逾兩成,結構上更側重於高能級城市
2021年宅地成交建面跌幅逾兩成,金額跌幅僅個位數,成交結構上更側重高能級城市。2021年300城宅地成交建面同比跌幅達-24%,其中“兩集中”試點22城和非22城分別同比下降6%和31%;但宅地成交金額同比僅跌7%,其中22城和非22城分別同比增長6%和同比下跌19%。從22城和非22城的差異性來看,年內土地成交結構較為明顯地向基本面更好的城市有所傾斜(試點22城宅地成交建面和金額佔比均較此前3年提升6-7個百分點),符合我們此前在2022年度策略《下行週期下的格局重塑和企業突圍》中提出的長期土地供應結構演變方向。此外,全年流拍率走高和溢價率下行的趨勢在22城和非22城均有所體現。
圖表:歷年土地市場關鍵指標情況
附錄:兩輪集中土拍主要房企拿地排名
圖表:三輪集中土拍中主要房企拿地建面排名
![]()
注:三輪土拍對於聯合拿地的處理有所不同,首輪每個聯合拿地方計入該地塊100%建面,二輪、三輪每個聯合拿地方計入等分後的地塊建面;黃色字型的房企為第三輪土拍建面排名進入前30名的房企,藍色字型的房企為第二輪土拍建面排名進入前30名的房企,紅色字型的房企為首輪土拍建面排名進入前30名的房企。
資料來源:中指資料庫,各城市自規局官網,中金公司研究部
圖表:三輪集中土拍中主要房企拿地金額排名
![]()
注:三輪土拍對於聯合拿地的處理有所不同,首輪每個聯合拿地方計入該地塊100%金額,二輪每個聯合拿地方計入等分後的地塊金額;黃色字型的房企為第三輪土拍金額排名進入前30名的房企,藍色字型的房企為第二輪土拍金額排名進入前30名的房企,紅色字型的房企為首輪土拍金額排名進入前30名的房企。
資料來源:中指資料庫,各城市自規局官網,中金公司研究部
估值
圖表:A股地產公司歷史NAV折讓水平和遠期市盈率
圖表:港股地產公司歷史NAV折讓水平和遠期市盈率
文章來源
本文摘自:2022年1月25日已經發布的《三輪土拍:質增量減,區域性回暖,利潤改善》
張宇 SAC 執證編號:S0080512070004 SFC CE Ref:AZB713
王璞 SAC 執證編號:S0080520050003 SFC CE Ref:BOL362
李昊 SAC 執證編號:S0080120080057
法律宣告
特別提示
本公眾號不是中國國際金融股份有限公司(下稱“中金公司”)研究報告的釋出平臺。本公眾號只是轉發中金公司已釋出研究報告的部分觀點,訂閱者若使用本公眾號所載資料,有可能會因缺乏對完整報告的瞭解或缺乏相關的解讀而對資料中的關鍵假設、評級、目標價等內容產生理解上的歧義。訂閱者如使用本資料,須尋求專業投資顧問的指導及解讀。
本公眾號所載資訊、意見不構成所述證券或金融工具買賣的出價或徵價,評級、目標價、估值、盈利預測等分析判斷亦不構成對具體證券或金融工具在具體價位、具體時點、具體市場表現的投資建議。該等資訊、意見在任何時候均不構成對任何人的具有針對性的、指導具體投資的操作意見,訂閱者應當對本公眾號中的資訊和意見進行評估,根據自身情況自主做出投資決策並自行承擔投資風險。
中金公司對本公眾號所載資料的準確性、可靠性、時效性及完整性不作任何明示或暗示的保證。對依據或者使用本公眾號所載資料所造成的任何後果,中金公司及/或其關聯人員均不承擔任何形式的責任。
本公眾號僅面向中金公司中國內地客戶,任何不符合前述條件的訂閱者,敬請訂閱前自行評估接收訂閱內容的適當性。訂閱本公眾號不構成任何合同或承諾的基礎,中金公司不因任何單純訂閱本公眾號的行為而將訂閱人視為中金公司的客戶。
一般宣告
本公眾號僅是轉發中金公司已釋出報告的部分觀點,所載盈利預測、目標價格、評級、估值等觀點的給予是基於一系列的假設和前提條件,訂閱者只有在瞭解相關報告中的全部資訊基礎上,才可能對相關觀點形成比較全面的認識。如欲瞭解完整觀點,應參見中金研究網站(http://research.cicc.com)所載完整報告。
本資料較之中金公司正式釋出的報告存在延時轉發的情況,並有可能因報告發布日之後的情勢或其他因素的變更而不再準確或失效。本資料所載意見、評估及預測僅為報告出具日的觀點和判斷。該等意見、評估及預測無需通知即可隨時更改。證券或金融工具的價格或價值走勢可能受各種因素影響,過往的表現不應作為日後表現的預示和擔保。在不同時期,中金公司可能會發出與本資料所載意見、評估及預測不一致的研究報告。中金公司的銷售人員、交易人員以及其他專業人士可能會依據不同假設和標準、採用不同的分析方法而口頭或書面發表與本資料意見不一致的市場評論和/或交易觀點。
在法律許可的情況下,中金公司可能與本資料中提及公司正在建立或爭取建立業務關係或服務關係。因此,訂閱者應當考慮到中金公司及/或其相關人員可能存在影響本資料觀點客觀性的潛在利益衝突。與本資料相關的披露資訊請訪http://research.cicc.com/disclosure_cn,亦可參見近期已釋出的關於相關公司的具體研究報告。
本訂閱號是由中金公司研究部建立並維護的官方訂閱號。本訂閱號中所有資料的版權均為中金公司所有,未經書面許可任何機構和個人不得以任何形式轉發、轉載、翻版、複製、刊登、發表、修改、仿製或引用本訂閱號中的內容。
