在太陽系中,太陽無疑是中心天體,它透過氫核聚變產生的能量照亮了太陽系,而且它的強大引力束縛住著太陽系中的各大天體,包括地球在內的八大行星、矮行星、小行星、彗星等天體都在繞著太陽公轉。
儘管如此,作為太陽系中已知質量最大的行星(317.8倍地球質量),木星並不是繞著太陽公轉。事實上,所有行星的運動並不是繞著太陽公轉這麼簡單,而且太陽也不是相對於其他行星固定不動,太陽系的天體運動其實非常複雜。
太陽的中心地位來自於它那巨大的質量——相當於地球質量的33.3萬倍。太陽系中的天體數量非常多,僅在內太陽系中(木星軌道以內的範圍),就有1.5億顆直徑超過100米的小行星。然而,除了太陽之外,所有太陽系天體加起來的總質量僅為整個太陽系總質量的0.14%。
擁有多達99.86%太陽系總質量的太陽,可以產生十分強大的引力,最遠可以主宰1光年外的天體運動。不過,太陽並非等同於太陽系的真正中心。至於原因,可以透過太陽-木星的雙星簡化模型來進行解釋。
牛頓的萬有引力定律告訴我們,太陽對木星施加引力的同時,木星也會對太陽施加相同大小的引力。在萬有引力的作用下,太陽和木星有相互吸引並靠近彼此的趨勢。
但太陽和木星並沒有因為引力作用而發生碰撞,這是因為這兩個天體都在做圓周運動,引力剛好充當了向心力。的確如此,木星在做圓周運動,太陽其實也在做圓周運動,它們的繞行中心都不是各自本身,而是它們的共同質量中心或者引力中心。
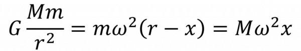
假設太陽質量為M,木星的質量為m,日木距離為r,太陽到共同質心的距離為x,角速度為ω(兩個天體的ω相等),根據牛頓力學可以得到如下的關係式:
化簡後可以得到如下的結果:
代入具體數值可得x=74.23萬公里。由於太陽在自轉,導致太陽是一個扁球體,所以太陽的赤道半徑在所有半徑中最大,為69.63萬公里。由此可見,日木的共同質心不在太陽內部,而是位於距離太陽表面46000公里(相當於地球直徑的3.6倍)之外。
無論是太陽,還是木星,它們都會環繞這個共同質心轉動。只是太陽的公轉軌道半徑很短,很快就能繞行一週。而木星的軌道半徑很大,繞行一圈需要長達11.86年。這兩個天體的運動方式如下圖所示:
如果考慮到整個太陽系的天體,實際情況要更加複雜得多。隨著各個天體的運動,太陽系的質量分佈將會隨之發生變化,所以整個太陽系的共同質心不是固定在太陽中心,而是在不斷髮生變化。
如果太陽系的質量均勻分佈,共同質心將會位於太陽內部,甚至位於太陽中心,比如1990年的太陽系共同質心位於太陽核心區域附近。如果太陽系的質量分佈不均,共同質心將會位於太陽外部,比如1981年的太陽系共同質心在太陽表面之外。
只是由於太陽的質量太大了,即便共同質心不在太陽之內,也會在太陽表面附近,所以很多時候我們都進行簡化處理,把太陽的相對位置視為不變,其他天體在繞著太陽公轉。
在現實中,太陽確實會沿著半徑方向進行擺動,幅度有大有小。如果宇宙中有先進的外星文明,他們透過觀測太陽的徑向擺動,可以間接發現太陽系各大行星的存在。事實上,天文學家正是透過這樣的方法,已經找到了很多遙遠的系外行星,其中一些甚至有可能存在生命。
只不過以當前我們的宇航技術,親自造訪這些遙遠的外星世界是不可能的。目前比較值得期待的是在本世紀中後葉,發射光速10%的星際飛船,用大約50年的時間飛抵4.2光年外的三合星系統——南門二。到了那裡後,星際飛船把探測資料用光速傳回地球,我們還要再等4年多的時間才能接收到。












 
			 
			 
			 
			 
			 
			 
			 
			 
			 
			 
			 
			 
			 
			 
			 
			