在英國進行的一項大型研究發現,與普通人群相比,因COVID-19住院並在出院後至少存活一週的人,在接下來的幾個月裡死亡或再次入院的可能性是普通人群的兩倍以上。來自倫敦衛生與熱帶醫學學院、牛津大學和臨床軟體供應商TPP的Krishnan Bhaskaran及其同事在《PLOS醫學》雜誌上發表了這些發現。
![]()
以前的研究表明,COVID-19患者在初次感染後的幾個月內可能會面臨更高的健康問題風險。然而,關於這一主題的證據仍然有限。
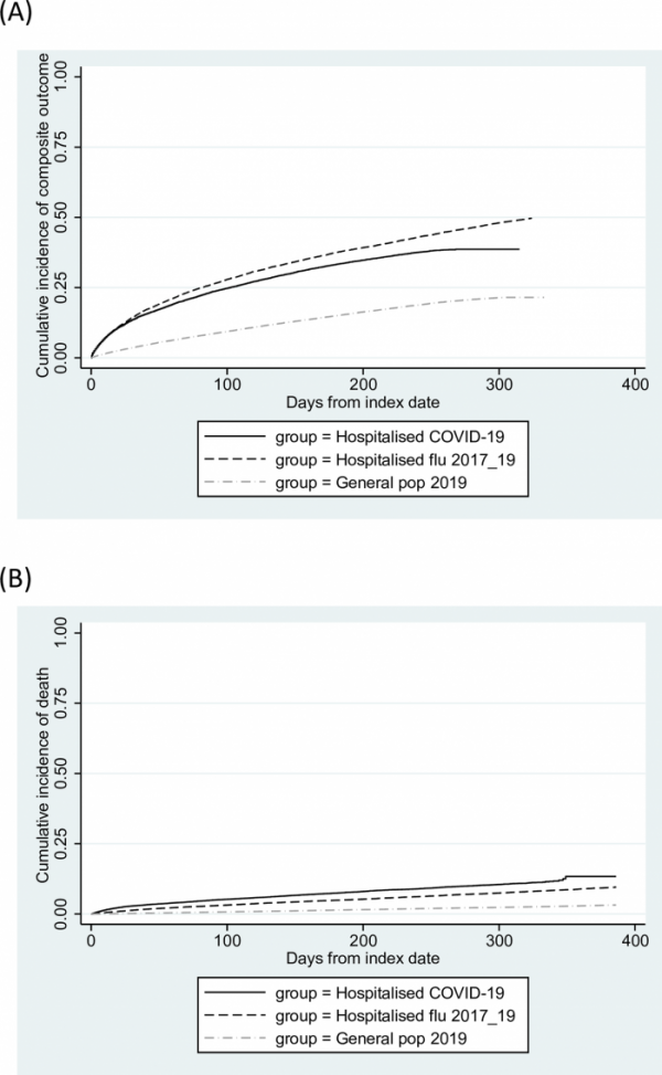
為了幫助澄清COVID-19患者的長期健康風險,Bhaskaran及其同事重點關注那些因該疾病而住院的人。研究人員對資料庫OpenSAFELY的電子健康記錄進行了統計分析,評估了2020年因COVID-19住院後出院的近2.5萬名患者的資料,作為對比,還評估了10多萬名普通人群的成員。
![]()
分析顯示,與普通人群相比,因COVID-19住院並在出院後生活了至少一週的人,在隨後的幾個月裡再次入院或死亡的總體風險是兩倍。他們還面臨著因任何原因死亡的近五倍的風險。
為了說明因傳染病住院後的風險,研究人員還考慮了2017-19年因流感住院的15000多人的資料。統計分析發現,與流感患者相比,COVID-19患者面臨的住院或死亡的綜合風險總體上略低。然而,因COVID-19住院的人比流感患者有更高的因任何原因死亡的風險,有更高的因最初感染而重新住院或死亡的風險,以及因痴呆而死亡的更高風險。
總的來說,這些發現與其他研究相一致,這些研究顯示曾患過COVID-19的人後續健康問題的風險增加。作者建議,這些風險可以透過在出院後加強對COVID-19患者的監測和提高對潛在併發症的認識的政策來緩解。
Bhaskaran補充說:“我們的研究結果表明,患過COVID-19重症需要住院的人在住院後的幾個月裡遇到進一步健康問題的風險大大增加;重要的是病人和他們的醫生要意識到這一點,以便儘早治療任何出現的問題。我們的研究結果還強調了接種疫苗的重要性,這是我們首先預防嚴重COVID-19的最好工具。”
