關於房顫電覆律時最佳的電極板位置存在一定爭議,通常認為前後電極板位置轉覆成功率優於前側電極板位置。近期circulation雜誌發表了一項多中心隨機研究,得出前側位優於前後位的結論。
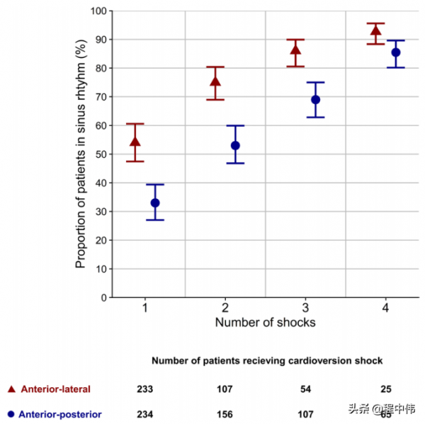
這是一項多中心、開發、隨機研究,入選擇期電覆律房顫患者,隨機分為前側組或前後組。主要研究終點為首次放電轉覆成功率。安全性終點為轉復期間的心律失常、皮膚髮紅和轉復期間的疼痛感。一共入組468裡患者,54%前側組和33%前後組患者達到主要研究終點,統計學差異顯著,p<0.001。最終轉覆成功率前側組為93%,前後組為85%。安全性終點方面,兩組沒有差異。
該研究得出結論,前側電極板房顫轉覆成功率優於前後電極板的位置。
每例患者最多4次放電,從低到高能量:100 J, 150 J, 200 J和360J。
Circulation. 2021;144:1995–2003.
