高斯對素數的研究
第一個發現素數定理(PNT)真理的人是卡爾·弗里德里希·高斯。高斯是有史以來最偉大的數學家之一。他被稱為“數學王子”。1849年12月,高斯與天文學家約翰·弗朗茨·恩克通訊說:
你對質數頻率的說法使我感興趣,這讓我想起了我自己對這一主題的研究,在1792年或1793年,我將我的注意力集中到質數頻率的降低上……我很快意識到,這個頻率,平均來說,與對數近似成反比。
高斯計算的是1000個連續整數中有多少個質數,從1792年開始(那時他才15歲),高斯把所有質數以1000個數字為單位一次計數,一直到幾十萬(還沒算到一百萬),以此作為消遣。
1798年,也就是高斯發現PNT的幾年之後,勒讓德出版了一本名為《論數論》的書,在書中,他推測:
在這本書的最後一個版本中,他對這個猜想進行了改進:
其中,當x較大時,A趨於1.08366附近的某一數值。高斯在1849年寫給恩克的信中討論了勒讓德的猜想。他否定了1.08366的值,但沒有得出其他非常明確的結論。
巴賽爾問題
巴塞爾問題要求的是自然數平方和的倒數的精確和,即無窮級數的精確和:
巴塞爾問題的名字來源於一座瑞士城市,伯努利兄弟曾先後在這座大學擔任數學教授二人都證明了調和級數(所有自然數倒數之和)是發現的。雅各布·伯努利陳述了上述問題(巴賽爾問題)。
我們知道調和級數發散非常“勉強”,前10^43項之和仍不超過100!而巴塞爾級數中的每一項都小於調和級數中的對應項。因此,我們猜測巴賽爾級數應該是收斂的。
計算表明確實如此。巴賽爾級數前10之和為1.5497677,前100項之和為1.6349839,前1000項之和是1.6439345,前10000項之和是1.6448340。它確實收斂到1.644或1.645附近的某個數值。但那個收斂值具體是多少?
這個問題終於在1735年被年輕的尤拉解開。令人吃驚的答案是:
答案包含了我們熟悉的圓周率π。這在當時讓數學家們感到非常吃驚。
巴塞爾問題打開了zeta函式的大門,這是黎曼猜想所關注的數學物件。巴塞爾問題的尤拉解不僅給出了平方倒數級數的閉形式,它還把N推廣到了整個偶數範圍:
當N=2時,級數收斂到(π^2)/6(這也是兩個自然數互質的機率,很神奇是不是)。N=4時,收斂值為(π^4)/90;N=6時,收斂值是(π^6)/945。尤拉自己一直把N算到了26,結果是:
但如果N是奇數呢?尤拉的結果與奇數無關。此後的260多年時間裡,數學家都不知道N為奇數時的收斂值如:
沒有人能夠找到這些級數的封閉形式,我們只知道它們確實是收斂的。直到1978年才證明N=3時,級數收斂值是無理數。到18世紀中葉,很多數學家都在思考無窮級數如下表1:
|
N |
收斂值 |
|
1 |
發散 |
|
2 |
1.644934066848 |
|
3 |
1.202056903159 |
|
4 |
1.082323233711 |
|
5 |
1.036927755143 |
|
6 |
1.017343061984 |
- 表1
表1是對黎曼ζ函式的初步瞭解,這是理解黎曼猜想的第一步。
為了紀念這個新的認識,我將把“N”換成一個不同的字母,一個與整數沒有那麼聯絡的字母。當然,顯而易見的選擇是“x”。然而,黎曼本人在1859年的論文中並沒有使用“x”,他用的是“s”。最後,是黎曼zeta函式形式是:
用求和符號表示為:
讓我們把注意力轉向引數s,當s = 1時,級數發散,因此函式沒有值。當s為2,3,4時,它總是收斂的。事實上,可以證明這個級數對任何s大於1的數都是收斂的。當s為1.5時,收斂到2.612375;當s為1.1時,收斂到10.584448.;當s為1.0001時,它收斂於100000.577222。當s = 1時級數發散,但當s = 1.0001時級數卻收斂,這似乎很奇怪。
畫出函式圖更能說明情況。下面是zeta函式的曲線圖。
可以看到,當s從右邊接近1時,函式值上升到無窮大;當s在最右邊趨於無窮時,函式值越來越接近於1。如果s=0呢?
根據冪法則4,這個和是1 + 1 + 1 + 1 + 1 + 1 + 1 +…,它很明顯是發散的。
對於負數,情況更糟。由冪法則5,知道2^(-1)=1/2,3^(-1)=1/3……而1/(1/2)=2,1/(1/3)=3……因此,s=-1時,級數是1+2+3+4+5……顯然是發散的。如果s=1/2呢?由於2^(1/2)=sqrt(2),因此:
因為任何整數的平方根都比這個數小,所以這個級數中的每一項都比調和級數中相應的項大,因此它是發散的。
上圖似乎顯示了黎曼zeta函式的所有特徵。函式只有當s大於1時才有值。或者,正如我們現在所知道的,用恰當的術語來說,函式的定義域是所有大於1的數。對吧?錯了!
埃拉托色尼篩選法
埃拉托色尼是亞歷山大大圖書館的圖書管理員之一。他提出了著名的尋找質數的方法。原理是這樣的:首先,寫下所有的整數,從2開始。當然,你不可能把它們都寫下來,所以我們就用100個左右吧:
現在,保持2不變,剔除數表中所有2的倍數的數,得到:
2之後的第一個數字是3。保持2、3不變,剔除數表中所有3的倍數的數,得到:
3之後第一個未受影響的數字是5。保持2、3和5不變,剔除數表中所有5的倍數的數,得到:
第一個未受影響的數字是7。下一步是讓2、3、5、7保持不變,剔除數表中所有7的倍數的數,以此類推,最後剩下的數就是質數。這就是埃拉托色尼篩選法。
Tip:
埃拉托色尼的篩選法很簡單,已有2230年的歷史。它是如何讓我們進入19世紀中期,並對函數理論產生深遠影響的?
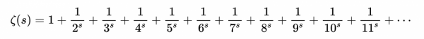
黎曼ζ函式
這一次,我將把它應用到黎曼ζ函式上,我在上面定義了黎曼函式,函式只有當s大於1時才有值。
- 表示式1
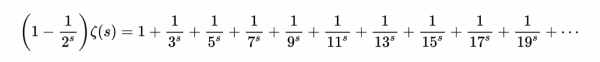
注意,這樣寫需要寫出所有的正整數,這與埃拉托色尼的篩選法有什麼聯絡?我要做的是在等號兩邊同時乘以:
得到:
- 表示式2
現在,我用表示式1減去表示式2,得到:
這消除了所有的偶數項,只剩下奇數項。
回顧下埃拉托色尼篩選法,我現在要在等號兩邊同時乘以:
3是右邊第一個沒受影響的數字。
- 表示式3
現在用表示式2減去表示式3,得到:
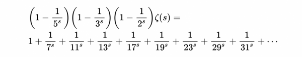
所有3的倍數都消失了。右邊第一個數字變成了5。繼續下去得到:
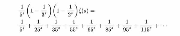
注意到和埃拉托色尼篩選法相似了嗎?實際上,你應該首先注意到區別。在埃拉托色尼篩選法中,我讓以此讓2、3、5、7……保持不變,依次剔除它們的整數倍。而現在,我從右邊刪除了原始質數(2、3、5、7……)以及它的所有倍數。
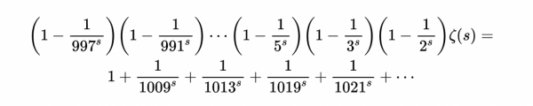
如果我一直下去直到一個較大的質數,比如997,得到:
- 表示式4
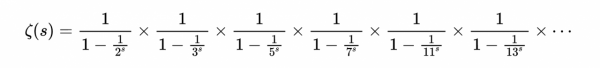
右邊,如果s是任何大於1的數,那右邊就比1稍大一點。例如,如果s為3,則得到1.00000006731036081534。所以說,如果一直重複這個過程,會得到如下結果:
依次將上式兩邊重複地除以每個括號內的“東西”,得到:
這就是開啟質數大門的“金鑰匙”。為了展示它的優雅,讓我把它整理一下。我和你一樣不喜歡帶有分數分母的分數。用一點代數知識,整理得到:
- 表示式5
這又一次證明了質數有無窮多個。你可能會想,表示式5有什麼特別之處,或有什麼意義?這個問題的答案要到黎曼猜想系列文章的最後才能清楚。表示式5有個名字,叫“尤拉乘積公式”。
一個重要的函式
首先,考慮函式:
具體如圖1所示。我把變數x的符號換成了t。
- 圖1
我在圖中加了陰影,因為我要做一點積分。積分是一種計算函式下面積的方法。首先求出函式的積分。1 / log t的積分是多少?
不幸的是,沒有普通的函式可以用來表示1 / log t的積分。但這個積分又是非常重要的,它在我們對黎曼假設的研究中經常出現。數學家不想每次提到這個積分都寫一次下面的表示式:
因此,數學家給它一個名字叫“log積分函式”,通常用“Li(x)”表示,有時也用“li(x)”。求這個函式值(也就是陰影面積)需要一定的技巧,因為1 ⁄ log t在t=1時沒有值。我將輕鬆地克服這個小困難。只需要注意的是,當計算積分時,水平軸以下的面積被認為是負的,因此隨著t的增加,1右邊的面積抵消了左邊的面積。
下圖2是Li(x)的函式圖。
- 圖2
注意,當x<1時,它是負的。它在x = 1時向負無窮下降,但隨著x向1右側移動,正的面積逐漸抵消負的,使Li(x)從負無窮返回,在x = 1.4513692348828處達到0。此後穩步增長。它在任意點的梯度,當然是1 / log x。此外,回顧一下我上篇文章,一個整數在x的附近是質數的機率是?
這就是為什麼這個函式在數論中如此重要。你看,隨著N變大,Li(N) ~ N / log N。現在根據素數定理, π (N) ~ N ⁄ log N。我們知道這個小波浪號“~”是可傳遞的。如果P ~ Q並且Q ~ R,那麼P ~ R。因此,如果素數定理是正確的(確實正確,在1896年得證),那麼也一定有 π (N) ~ Li(N)。
Li(N)實際上是π (N)比N / log N更好的估近似。
從上表可以看出,Li(x)是我們整個研究的中心。事實上,素數定理通常表示為π (N) ~ Li(N),而不是π (N) ~ N / log N。在黎曼1859年的論文中,得出了π (x)的精確表示式(雖然還沒有得到證明),Li(x)引出了這個表示式。
關於上表中另一個值得注意的點是,對於表中所示的所有N值,N / log N給出了π (N)的低估值,而Li(x)給出了一個高估值。
我們離黎曼猜想越來越近了……
