一年一度的雙11馬上就到了,趁著這個機會把使用多年的筆記本換下去,而個人臺式電腦的選擇多樣,比如品牌整機、DIY。
品牌整機價格高、售後相對較方便,買完就能用。
但對於有一定追求的電子愛好者,肯定是選擇DIY,自己選硬體,自己安裝系統。
那如何選擇硬體呢?
1. CPU
臺式電腦的CPU主要供應商有Intel和AMD。
先說Intel,它的處理器命名規範為“產品線-品牌修飾符-代次-SKU-產品線字尾”。
產品線包含為賽揚、奔騰、酷睿等。賽揚為入門級CPU,低價低能。奔騰綜合速度、價格、功率,適合基本的家庭娛樂。酷睿主打中高階市場,以卓越效能著稱。
酷睿產品線根據核心數和超執行緒技術又分為i3、i5、i7、i9,數字越大,效能越高。
在工藝上還有9代、10代、11代、12代等,不同代次架構不同,數字越大,工藝越先進,比如更省電、支援更高的記憶體頻率、支援更新的標準(PCIe4.0)、更大的三級快取、集顯有更高的頻率。
10代i3就支援超執行緒,一般4核8執行緒,三級快取6-8M,基頻大多在3.6G~3.8G,支援PCIe3.0,記憶體頻率支援DDR4-2666,集顯使用630。
11代i5一般6核12執行緒,三級快取12M,基頻大多在2.6G~2.8G,支援PCIe4.0,記憶體頻率支援DDR4-3200,集顯使用730或750。
SKU由數字組成,同品牌、同代次,SKU數字越大,功能更多。
產品線字尾字母含義如下:
|
B |
BGA封裝 |
|
E |
嵌入式 |
|
F |
無集顯,需要獨立顯示卡 |
|
G |
整合顯示卡,G1~G7代表集顯級別 |
|
H |
針對移動裝置進行最佳化的高效能 |
|
K |
未鎖頻,即可超頻 |
|
S |
桌面節能特別版 |
|
T |
低功耗 |
|
U |
高能效移動裝置 |
|
X |
高階 |
|
Y |
極低功耗(低於15W)的移動裝置 |
桌面版的字尾一般有F、K、S、T,嵌入版的字尾一般有E、H、T,移動版的字尾一般有G、H、K、U、Y。字母后綴可以組合。
Intel桌面版的插槽一般使用LGA封裝方式,針腳在主機板上。為避免接觸不良,針腳一般做成傾斜狀,當安裝散熱器壓力不均時,容易出現針腳錯位。
而AMD有使用PGA封裝方式,針腳在CPU上,當CPU或CPU底座變形,則可能出現針腳錯位。
移動版CPU一般用BGA封裝方式,使用焊錫將CPU和主機板整合,此方式不容易更換CPU。
是否集顯影響顯示卡的選購,對於預算不多,而顯示卡價格又較貴的當下,尤為重要。
記憶體頻率影響我們記憶體的選購,10代i7、i9才支援DDR4-2933,11代普遍支援DDR4-3200了,對於目前使用的效果和後續升級有重要影響。
功率影響我們電源的選購,桌上型電腦CPU功率一般65W,超頻的可以達到125W或更高,低功率的可以低至25W。
Intel插槽以LGA1200為主(9代i5有使用LGA1151插槽),AMD插槽以AM4為主,介面影響主機板的選購。PCIe個數及版本影響硬碟/固態硬碟的選購。
9代i5不支援超執行緒、插槽規格較舊,先pass。12代目前價格較貴,觀望的朋友可以等12代價格降至與11代持平再入手。
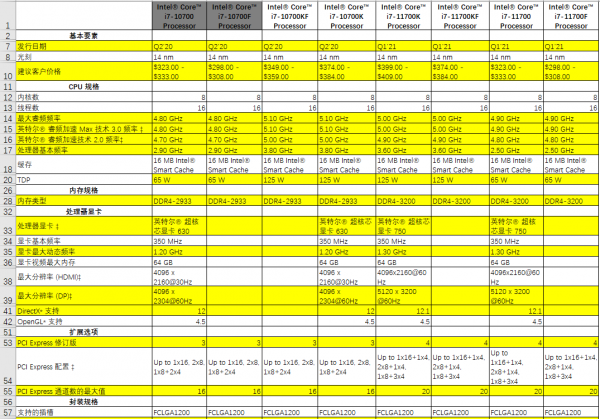
對比Intel各系列,如下圖,我們可以發現,官網同型號指導價基本相同:
11代基頻雖有下降,但採用新架構後效能並沒有降低,同時11代支援更新的標準,如果市場上同等價位,那必然搶著買11代,拋棄10代。實際上是狗家Intel自營店根本就沒11代的貨。
另外,11代沒有i3系列了,看起來i3 10105F價效比非常不錯,如果需要集顯,那可以看下i3 10305。可是i3 10305除了某寶(主機板CPU套餐大概1600)基本搜不到。
如果要論i5,不需要集顯就選i5 11400F,集顯則是i5 11500價效比較高。可惜的是1800左右的i5 11500基本無貨。
而i7則幾乎沒什麼可選擇性了,買得起i7,不在乎多100塊買帶集顯的i7 11700。某狗上i7 11700價格大概2300,板U套餐大概2700。
AMD的CPU相比Intel較為混亂,不談定位伺服器,與Intel至強競爭的皓龍(Opteron)、霄龍(EPYC);也不談定位移動處理器,與Intel靈動競爭的Turion(炫龍)。
桌面端曾出現過鑽龍(Duron)、閃龍(Sempron)、羿龍(Phenom)、速龍(Athlon)、銳龍(Ryzen),目前市面上基本只剩下速龍打低端,銳龍打中高階。
銳龍對標Intel 酷睿系列,分為r3、r5、r7、r9,當然還有一個特殊的執行緒撕裂者。
型號第一位是代數,越大越新,目前最大的是5,為Zen3架構。第二位是級別,也是越大越好。最後2位數,除執行緒撕裂者外,都是0。
字尾與Intel類似,G代表集顯,E代表嵌入式(一體機),H代表移動版標壓,U代表移動版低壓。
最新r9系列的CPU採用7nm製造工藝,可以達到12核心24執行緒,64M三級快取,基準頻率3.1GHz,紙面資料不輸於i9。
其它系列在核心數/執行緒數、三級快取大小上同樣如此,在集顯最大頻率上,銳龍也比酷睿高。
另一方面,銳龍的標準功耗低於酷睿!
單論資料,銳龍系列不低於酷睿,而在品牌本身,如酷睿,10代主頻可能不低於11代同系列。
2. GPU
如果想使用CUDA來執行AI任務,那麼大概只能選擇NVIDA了。GeForce GTX 1650 - GDDR5功率最低,只有75W,無需額外電源,而功率最高的RTX3090則有350W。
價格上,RTX1650也需要2000以上,功率上得準備300W,AI玩的少、3A大作玩的少,預算不充足的還是退下。
3. 主機板
PCIe可以分為CPU直連PCIe和主機板PCIe。從版本上,可以分為PCIe3.0、PCIe4.0,主機板目前還是PCIe3.0,但CPU已經有PCIe4.0了。
PCIe的頻寬可以分為x1、x4、x8、x16,PCIe3.0版本x1的速率為984.6MB/s,其它幾個分別乘以對應的數量,而PCIe4.0為相同頻寬的2倍。
一般顯示卡使用CPU直連的PCIe通道,而音效卡、網絡卡在主機板整合,如果不考慮萬兆網絡卡,那麼可能使用到PCIe的有M.2 NVMe固態硬碟(1個4x PCIe3.0就可滿足)。
Intel桌面版晶片組目前有100~500系列,400系列有Z490、H470、Q470、B460、H410、W480。
只有Z490支援超頻,沒有超頻需求的可以忽略這個差異。
支援的PCIe通道(注意此處為南橋PCIe3,而CPU可能為PCIe4)數差距較大,其中H410只支援6個,其它幾個在16~24之間。
Z490、H470、Q470、W480集成了無線網絡卡。
價格上:Z490~W480~Q470>H470~B460~H410,即數字越大,價格越高。H410不建議考慮,Q470較合適。
500系列晶片組有W580、Q570、Z590、H570、B560、H510。都支援無線網絡卡、都支援超頻,除H510外,其它都可以。
主機板的主要產商有華碩、微星、技嘉等,其它二三線產商和GPU廠家有部分重合,比如七彩虹、昂達等。
各家主機板產商都會對不同的CPU有針對性主機板,然後再區分不同的等級。
比如,華碩主機板的命名規則為“系列-晶片組-字尾”,系列從高到低的有玩家國度(ROG)、電競特工(TUF GAMING)、大師(Prime)、長征(Excepdition)、電商定製(貔貅、龍、麒麟、玄武)。
關於字尾需要注意的是一部分與機箱有關,M代表mATX,I代表ITX,不帶為標準的ATX。比如“TUF GAMING B560M-PLUS WIFI”。就是電競特工系列,使用Intel B560晶片,機箱應使用mATX規格,板載WIFI。
普通消費者一般選擇大師或電競特工系列即可。
4. 記憶體
之前支援國產,已經購入光威的奕Pro DDR4-2666 16GB,預算充裕則再入手一根,組成雙通道。
當然,不差錢的可以選擇金士頓、海盜船、威剛、芝奇、英睿達等品牌。
注意記憶體的頻率要看CPU和主機板支援的頻率,4代記憶體目前選DDR4-3200就可以,DDR5已經出來了!
5. 固態硬碟、硬碟
SATA3介面速度只能低於600MB/s,M.2 介面 NVMe的可以突破2GB/s。
SSD適用於讀多寫少的場景,一般用來放經常讀取的內容,可以用於作業系統的啟動加速、遊戲讀取加速等等。
作業系統佔用一般不超過40G,再根據個人實際的使用情況(比如軟體、遊戲)選擇合適容量。手頭緊張的情況下,120G也是夠用,手頭寬裕可以當作告訴硬碟來買,只是切記經常改動的檔案最好放到機械硬碟。
支援國產,可以繼續選擇光威的產品,不差錢可以選擇三星、西數品牌。
對於機械硬碟,實際的選擇不是很多,品牌上一般就是西數和希捷。西數的話,本身分為黑盤、紅盤、紫盤、藍盤,這幾種保修期不一樣。質量上不好說,最近壞了一塊紅盤,保修期內換了黑盤。
機械硬碟的話,一般有7200rpm,5600rpm這種轉速指標,轉速越高,自然讀寫速度越快。另外就是快取,快取越大,讀寫速度理論上越快。
在工藝上,分為垂直式和疊瓦式,疊瓦式在相同體積下,磁軌更多,也就是容量更高,但也更容易壞,寫速度慢。
6. 電源
功率大頭是CPU和GPU,根據彙總功率再選擇合適功率的電源,一般電腦功率大於電源輸出功率的20%,小於電源輸出功率的80%,一般選購電源功率在200W到650W之間的即可。
一般電源會有80 PLUS(20%及以上負載,不低於80%能效)認證,根據認證等級有鈦金、白金、金、銀、銅、白這幾個從高到低的等級,等級越高,電能轉換效率越高,電費越少,但電源價格也相對更高。
以每日4小時,額定功率250W計算,再乘以365天,電費就300左右。而白牌到鈦金的省電也不超過15%,如果想靠省電,那額定功率越小,越沒有購買高等級電源意義。
除轉換效率外,電源產生的噪音大小也是一個需要考量的點。一般轉換效率越高,產生的熱量越小,自然風扇轉速和大小可以減小,噪音也低。
海韻、鑫谷、振華、長城、航嘉、先馬、酷冷至尊、金河田等都有多款經過80 plus認證。
7. 機箱
機箱有多種規格,標準的ATX為30.5cm*24.4cm,小一號的mATX為24.5cm*24.5cm,更小的ITX為17cm*17cm。大號的EATX我們一般用不到,就不介紹了。
一般規格越大,插槽越多,拓展CPU、顯示卡、記憶體等。
大多數場景下mATX夠用,沒有顯示卡也沒有獨立擴充套件需求的,完全可以考慮ITX機箱。這裡再提一遍,機箱規格不能小於主機板規格。
材質上,有塑膠(亞克力)、鐵(薄鐵皮)、鋁合金、玻璃等,鋁合金輕便,玻璃炫酷。
機箱品牌也有許多,比如先馬、酷冷至尊、安鈦克、Thermaltake、愛國者等等。
8. 鍵盤與滑鼠
鍵鼠的話,主要分為有線和無線,無線的有點是擺脫線帶來的距離限制,沒有被割到漏電或者與其它線狀物纏繞的困擾,但缺點是可能的延遲與干擾。
本人之前買了一個機械鍵盤,敲起來一鍵一響,還能在關燈後背光照明,確實有點意思,但壞處是晚上打字容易影響家人。後來進了點水,個別按鍵失靈,就買了普通的有線鍵盤(雙飛燕)。
至於滑鼠,之前為了替代tp的小無線滑鼠,買了個便宜的雷蛇,用了幾年,除了滑鼠右鍵有時候沒有響應,也沒有其它毛病。等換臺式機看下是滑鼠問題還是筆記本老化了。
9. 顯示器
首先要知道顯示器的面板,比如LCD使用液晶材料,OLED使用有機材料,自發光,省電,但壽命短。LCD又可細分為TN面板、VA面板、IPS面板。TN面板工藝成熟,解析度和重新整理率較高,響應速度高,但視角相對較差,不適合多人觀看。IPS面板為液晶顯示器的高階產品,優點是可視角度高、響應速度快、色彩還原準確。VA面板介於兩者之間。其次,需要注意支援的介面,比如DP、HDMI、DVI、VGA。另外解析度和重新整理頻率是值得關注的,大部分CPU都支援4k了,結果螢幕還是HD(1080p)。當然,顯示器本身低於27英寸時,使用1080p也很合理。如果大顯示器最好還是4k,然後使用DP介面(HDMI可能頻寬不足)。至於重新整理率,還需要顯示卡支援,比如Intel集顯雖然支援4k(甚至更大的解析度),但重新整理率可能還是60Hz。那麼買的顯示器即便支援144Hz也是白搭。響應時間這個引數也不能太高(低於5ms為宜),不然畫面就像老式Win98拖動視窗,痕跡明顯。色域和色深就是顯示效果方面,如果對視覺效果有很高要求,就需要注意這兩個引數了。色域上,Adobe RGB範圍最廣,NTSC次之,最後是常用的sRGB。
之前筆記本顯示器部分顯示出問題,撿了一個老式的三星在用。現在顯示器價格不是很美麗,暫時沒有更換打算。
10. 前作業系統
首先把主機板固定到機箱,然後把CPU(及CPU風扇)、記憶體、固態硬碟安裝到主機板,把硬碟、電源安裝到機箱,最後按照說明書把線接好到主機板。通電後,BIOS只有“滴”的一聲,則說明安裝成功。我的安裝效果如圖:
在安裝作業系統前,我們首先需要有安裝作業系統的介質。
在2010年左右,通常是光碟,但2021年,光碟機已經基本消失了,自然是隨身碟。
但隨身碟並不是簡單的把iso檔案放到隨身碟,或者解壓到隨身碟就行。不然微軟也不會專門在系統下載的地方,在相容檢查工具和作業系統映象之間,提供引導工具。
但是,我並不推薦微軟官方工具,因為我們要安裝的系統可能不只是Windows,也有可能是Linux,或者嘗試VMWare的ESXi。
此時,頻繁地往隨身碟覆蓋安裝作業系統可不明智。一則,隨身碟可能有其它檔案,每次安裝還得先來個乾坤大挪移;再則,本來作業系統就是為了安裝而下載,現在卻要在硬碟長久留著,為將來的換系統安裝做預備。
幸好,開源世界給了我們一個選擇:ventoy!
它只需格式化隨身碟後,安裝在隨身碟,作業系統作為檔案放到分割槽即可。在開機啟動時,ventoy自動列出可以安裝的作業系統,此時選擇一個安裝即可。
另外,它還做了老式BIOS和新UEFI的相容,以及其它有意思的功能。ventoy啟動介面如下:
在進入安裝前,還有一個比較重要的步驟就是設定BIOS引數。不說CPU或者記憶體的超頻,比如在安裝ESXi時,需要開啟VMX並禁用Intel Speed Shift,否則安裝進行到一定階段便會報錯如下:
而BIOS則需啟用VMX和禁用HWP,如圖:
如果要裝雙系統,一般先安裝Windows,免得Windows啟動項覆蓋GRUB2。如果是Windows 11,必須開啟TPM,否則報錯,如下:
可能的BIOS設定參考如下:
安裝完Windows後,可以關閉UEFI和TPM。為了讓隨身碟能更順暢的載入到啟動介面,可以選擇在啟動時關閉Windows的啟動,,然後安裝Linux。Linux安裝完後,可以看到GRUB2的啟動介面自動添加了Windows的啟動選項(圖中地Windows Boot Manager):
在初次安裝時,我們還得規劃好磁碟分割槽。
一般SSD用於儲存不變的、常用的檔案,比如作業系統的啟動檔案、需要讀效能的應用程式或遊戲。反例則是經常變動的臨時檔案放到硬碟,比如linux的"/var"、"/tmp"、"/home"。
此外,在掛載SSD時,需要使用"noatime"或"relatime"避免檔案讀取時記錄訪問時間。
本文參考資訊如下:
1. [intel processor](https://www.intel.cn/content/www/cn/zh/support/articles/000058971/processors/intel-core-processors.html)
2. [intel processor number](https://www.intel.cn/content/www/cn/zh/processors/processor-numbers.html)
3. [intel processor specification](https://ark.intel.com/content/www/cn/zh/ark.html#@Processors)
4. [intel chipset](https://www.intel.com/content/www/us/en/products/details/chipsets/desktop-chipsets.html)
5. [amd processor specification](https://www.amd.com/zh-hans/products/specifications/processors?op=%21%3D&platform=Server)
6. [nvidia geforce](https://www.nvidia.cn/geforce/graphics-cards/)
7. [80 plus](https://www.clearesult.com/80plus/)
8. [how-to-build-a-gaming-pc](https://www.intel.cn/content/www/cn/zh/gaming/resources/how-to-build-a-gaming-pc.html)
9. [ventoy](https://www.ventoy.net/cn/index.html)
10. [Multi HDD/SSD Partition](https://wiki.debian.org/Multi%20HDD/SSD%20Partition%20Scheme)
