說到拍照,我們自然地聯想到攝像頭和快門,將攝像頭對準需要觀測的東西,快門一按,就能得到一張在二維畫素點上填上三原色座標的資料構成的影象。
但是對於衛星觀測地球(地表/地球大氣)來說,具體的成像原理就會稍微複雜一些。
掃描方式
衛星按照軌道可以分為靜止衛星和極軌衛星。我們知道,地球的自轉角速度是固定的,若要用一個衛星恆定地監測地球,那麼衛星軌道的高度就是固定的,這就是靜止衛星。靜止衛星高度有36000km,地球半徑約6371km,可以想見,在衛星上看地球的張角只有20.38°,直接拍照的效果怎麼會好呢?我們想要有很高解析度的影象須要用“掃描”的辦法。
↓↓↓↓
具體來說,“掃描”是透過調整觀測儀器的角度,對準地球的不同位置,獲得資料。比如風雲2號氣象衛星,衛星本身繞著自己的主軸旋轉,使得感測器能在地球上掃描出帶狀的觀測資料;再使衛星調整姿態,向上向下傾斜,就能再地球上掃描出“平行”的觀測資料。
↓↓↓↓
圖源:央視新聞客戶端+筆者標明掃描路徑和衛星旋轉方向
當然,不同衛星可以透過採用不同的調整姿態的方式來提高觀測利用率。就風雲2號氣象衛星來說,在衛星自身旋轉一圈360°中只有幾十度是對著地球的,它的利用率顯然不高;而到風雲4號衛星,採用了三軸穩定的方式,主動控制衛星朝向,使探測器在旋轉過程中一直面對地球,這樣觀測效率顯然提高很多。
↓↓↓↓
圖源:谷歌圖片“風雲四號氣象衛星”
那麼有人不禁要問了,為什麼不早採用三軸穩定方式控制衛星朝向呢?
因為三軸穩定方式沒那麼簡單。
自旋穩定方式在衛星做繞地運動時很容易能做到自身姿態穩定,重點在於衛星本身對自己的主軸軸對稱;而三軸穩定方式若想要使探測器一直朝著地球,衛星的姿態如何穩定是個很大的問題。
其次,自旋穩定衛星受到太陽輻射是均勻的,而三軸穩定衛星由於一個面一直朝著地球,衛星兩面受到太陽輻射量差距會使得衛星發生形變,材料的研製和使用、衛星儀器的排布都是需要細緻考量的。
而靜止衛星離地球較遠,觀測精度難免會受到限制,我們希望獲得更高精度的觀測資料就需要極軌衛星。極軌衛星(也叫太陽同步衛星)的軌道較靜止衛星來說更低,約為840km,繞地球的南北兩極執行。
它的觀測方式可以想象成做CT的時候掃描,儀器/衛星掃過哪兒,就能獲得哪個地方的資料;因而衛星的軌道和觀測資料的經緯度是可以直接匹配的,所以常能聽到“一軌資料”的說法。舉個例子,CloudSat衛星在2007年07月22日一天內在地球上掃出來是這樣的:
↓↓↓↓
可以看到它的覆蓋範圍還是比較小的。當然也有衛星在行進的過程中,會將探測儀器加上垂直於軌道方向的擺動,以此探測到一個面的資料。比如左圖是GPM衛星的測量的地表降水,在紅線處畫剖面就能得到紅線處的降水率剖面(右圖):
↓↓↓↓
存在問題
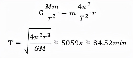
很明顯,觀測到的每一軌資料中存在時間差,按照衛星貼地飛行、粗略估算衛星繞地球一圈的週期約為84分鐘。我們挑出一軌的資料分析,其實很難說這84分鐘的資料是同時觀測的;挑其中某段資料分析也應當考慮到其時間上的差異。
↓↓↓↓
如果我們需要分析全球/地區資料,就需要考慮用很多天的資料集合成一張圖來表示長時間的平均狀態。而我們得到的“平均狀態”中任何一個點,實際上都不是對該點進行長時間連續觀測後取平均得到的狀態,而是時隔很久後再次觀測到這個點;且正是因為我們觀測不到“同時資料”,地圖上不同點的平均實際是不同時刻的平均。有點繞啊,反正說這麼多就想表達:除了空間解析度之外,時間精度的提升也是個非常重要的事情。
撰稿:麥李婷
美編:怪伽cc
來源:石頭科普工作室
編輯:dogcraft、yrLewis
