*僅供醫學專業人士閱讀參考

    META分析結果顯示,阿來替尼的安全性優於其他一/二代ALK-TKI。
近十年來,晚期非小細胞肺癌(NSCLC)的治療模式發生重大轉變。關鍵致癌性突變(如驅動基因突變和染色體重排)的存在,使得靶向治療相比傳統細胞毒性化療顯示出更高的敏感性。2007年間變性淋巴瘤激酶(ALK)基因融合突變NSCLC被發現,為晚期NSCLC的治療提供了新的選擇和方向[1]。
目前已有多種ALK-酪氨酸激酶抑制劑(TKI)問世,臨床研究也正在積極推進中。ALK-TKI改變了ALK融合陽性晚期NSCLC的臨床治療格局,使該類患者獲得更為長期的生存獲益。正是這樣的良性發展態勢,推動腫瘤科醫生在考慮療效的同時,越來越關注藥物的安全性。由於每種ALK-TKI的結構不同,其毒副作用也有所差異。2019年的一項 META分析[2],深入探索了不同ALK-TKI的安全性,特別是藥物相關的嚴重不良事件(SAEs)。
META分析:一/二代ALK-TKI的安全性大PK,阿來替尼SAEs發生率均相對較低
研究者從資料庫中檢索出13253篇相關文獻,接著從中篩選出23篇文獻,其中2篇病例系列報道和2篇重複文獻被排除。最後,該META分析共納入19項研究的3307例患者,對一代ALK-TKI和二代ALK-TKI進行安全性分析。一代ALK-TKI為克唑替尼,二代ALK-TKI包括:塞瑞替尼、阿來替尼和布加替尼(Brigatinib),META分析結果顯示,在一/二代ALK-TKI中,阿來替尼的安全性最優,主要體現在以下三個方面:
阿來替尼的SAEs發生率相對較低
在這項META分析中,幾乎所有參與者都檢測到了AEs。一/二代ALK-TKI的AEs總髮生率如下:克唑替尼為98.27%(95%CI: 96.94-99.61),阿來替尼為96.24%(95% CI: 92.88-99.60),塞瑞替尼為99.45%(95% CI: 98.90-99.99),布加替尼為94.77%(95% CI: 92.47-97.08)。
在臨床治療中更為關注的SAEs方面,發生率並不像預期的那麼低。克唑替尼為38.09%(95%CI: 26.93-47.26),阿來替尼為26.24%(95% CI: 14.15-38.33),塞瑞替尼為41.44%(95% CI: 37.15-45.73),布加替尼為41.68%(95% CI: 36.21-47.14)。阿來替尼的SAEs發生率比其他ALK-TKI更低,低了超過10%以上。
阿來替尼的五大系統SAEs發生率均相對較低
ALK-TKI的SAEs涉及五個系統,包括:呼吸系統、神經系統、心血管系統、消化系統和泌尿系統。其中,相比其他系統的SAEs,ALK-TKI表現出更為明顯的呼吸系統SAEs:克唑替尼為10.57%(95% CI: 7.22-13.92),阿來替尼為5.98%(95% CI: 3.59-8.38),塞瑞替尼為14.17%(95%CI: 10.85-17.48),布加替尼為13.48%(95%CI: 6.24-20.71)。
一代ALK-TKI克唑替尼在泌尿系統的SAEs發生率較高,為1.78%(95% CI: 0.77-2.78),而阿來替尼為0.01%(95% CI: 0.17-0.20),塞瑞替尼為0.78%(95% CI: 0.26-1.81),布加替尼為0.31%(95%CI: 0.46-1.08)。二代ALK-TKI(特別是塞瑞替尼和布加替尼)表現出更高的神經系統SAEs發生率:克唑替尼為3.88%(95% CI: 2.09-5.66),阿來替尼為3.07%(95%CI: 0.45-5.70),塞瑞替尼為8.84%(95% CI: 3.93-13.75),布加替尼為7.40%(95% CI: 4.70-10.10)。
總的來說,相比其他一/二代ALK-TKI,阿來替尼在五個系統的SAEs發生率相對較低。
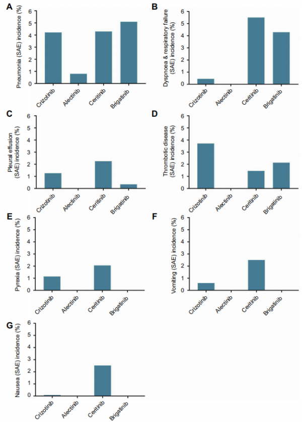
一/二代ALK-TKI的肺毒性明顯,阿來替尼的嚴重肺炎發生率相對較低
該研究對一/二代ALK-TKI常見的SAEs進行分析,結果發現一/二代ALK-TKI均存在明顯的肺毒性,不同ALK-TKI的具體SAEs發生情況有所差異。
●
克唑替尼的SAEs發生率從大到小排列如下:肺炎為4.21%(95% CI: 2.13-6.30),血栓性疾病為3.71%(95% CI: 1.85-5.58),胸腔積液為1.26%(95% CI: 0.74-1.77),發熱為1.14%(95%CI: 0.65-1.64),嘔吐為0.60%(95% CI: 0.03-1.17),谷丙轉氨酶水平升高為0.47%(95% CI: 0.02-0.96),呼吸困難和呼吸衰竭為0.44%(95% CI: 0.10-0.78),間質性肺炎(ILD)為0.36%(95% CI: 0.04-0.77),噁心為0.08%(95% CI: 0.07-0.22)。
● 阿來替尼表現出較好的安全性,發生率最高的SAE是肺炎,為0.80%(95% CI: 0.52-2.11),也低於其他ALK-TKI,阿來替尼的其他SAEs發生率均小於0.05%。
● 塞瑞替尼的SAEs發生率從大到小排列如下:呼吸困難和呼吸衰竭為5.50%(95% CI: 3.10-7.89),肺炎為4.29%(95% CI: 2.79-5.79),噁心為2.53%(95% CI: 1.37-3.69),嘔吐為2.50%(95% CI: 0.62-4.38),胸腔積液為2.26%(95% CI: 0.55-3.79),發熱為2.05%(95% CI: 0.49-3.61),血栓性疾病為1.45%(95% CI:0.57-2.34),腹瀉為1.45%(95% CI: 0.57-2.34)。
● 布加替尼表現出更明顯的肺毒性,SAEs發生率從大到小排列如下:肺炎為5.09%(95% CI:2.11-8.07),呼吸困難和呼吸衰竭為4.29%(95% CI: 0.67-7.90),胸腔積液為2.26%(95% CI:0.55-3.79),血栓性疾病為2.13%(95%CI: 0.64-3.63)。
研究者指出,ALK-TKI相關的SAEs應當引起注意,特別是在肺毒性方面。鑑於肺癌患者基線時肺功能較差,在給予治療前應評估ALK-TKI的肺毒性風險。根據這項META分析,阿來替尼似乎是一/二代ALK-TKI中較為安全的ALK-TKI,嚴重肺炎發生率低於其他一/二代ALK-TKI。
不同ALK-TKI的AEs發生率的比較
嚴重不良反應對人體的危害很大,越來越受到大家的廣泛關注。綜合克唑替尼、阿來替尼、塞瑞替尼、布加替尼、勞拉替尼的關鍵性一線治療臨床研究結果來看,透過間接對比發現,阿來替尼出現3級及以上不良反應的發生率相對較低。
諸多靶向藥的說明書上都特別標註了一種不良反應——間質性肺炎,ALK-TKI也不例外。綜合克唑替尼、阿來替尼、塞瑞替尼、布加替尼的關鍵研究結果來看,透過間接對比發現,布加替尼的間質性肺炎發生率較高,而阿來替尼的間質性肺炎發生率相對較低。但是這並不是頭對頭的臨床研究,不能直接比較≥3級AEs、間質性肺炎的發生率,僅供大家參考。
ALEX研究結果為阿來替尼的安全性獻上鐵證[3]。ALEX研究是一項多中心、大樣本、Ⅲ期隨機對照研究,納入標準為未接受ALK靶向治療的Ⅲ/Ⅳ期ALK陽性NSCLC患者,患者按1∶1比例隨機分為阿來替尼組(152例)和克唑替尼組(151例)。ALEX研究不僅證實了阿來替尼的療效:阿來替尼組的中位無進展生存期明顯優於克唑替尼組(34.8個月vs 10.9個月),同時證實了阿來替尼的低毒特點。
在安全性方面,阿來替尼組≥3級AEs的總髮生率低於克唑替尼組(52.0% vs 56.3%),阿來替尼組≥3級AEs的前三位為:貧血(5.9%),天冬氨酸轉氨酶增高(5.3%),谷丙轉氨酶增高(4.6%);克唑替尼組≥3級AEs的前三位為:谷丙轉氨酶增高(15.9%),天冬氨酸轉氨酶增高(10.6%),中性粒細胞減少(5.3%)。
表1. 阿來替尼vs克唑替尼的≥3級AEs發生率

    此外,在ALK-TKI長期使用過程中,我們還需要考慮合併其他用藥的情況。2020年發表在《Drug Design, Development and Therapy》雜誌中一篇關於ALK-TKI藥代動力學的文章表明[4]:攜帶其他基礎疾病的NSCLC患者在ALK-TKI靶向治療合併其他用藥時,阿來替尼需要考慮的更少。阿來替尼在與CYP3A代謝的藥物同用時,不需要調整劑量;而克唑替尼、塞瑞替尼、布加替尼和勞拉替尼都需要考慮避免與CYP3A代謝的藥物同用,或者在同用時降低劑量。
表2. ALK-TKIs對其他藥物暴露的影響

    ALK-TKI可以改善ALK融合陽性NSCLC患者的預後,大多數ALK-TKI的AEs可以很好地控制和耐受。不過,ALK-TKI的SAEs在臨床上也不容忽視,醫生在開ALK-TKI治療處方時應注意藥物相關的SAEs。META分析結果顯示,在一/二代ALK-TKI中,阿來替尼可能是較為安全的,期待未來開展更多的臨床研究來證實該META分析的結果[2]。
臨床實踐中,醫生不需要因懼怕文獻報道上的毒性而避免應用藥物,當出現ALK-TKI相關不良反應時,可以採用對症治療、藥量減少或停藥的方式來改善患者的不適[5]。
參考文獻:
[1].徐愛茹,馬為.ALK融合基因陽性的晚期非小細胞肺癌靶向治療進展[J].現代腫瘤醫學,2019,27(3):529-533.
[2].Helei Hou, Dantong Sun, Kewei Liu et al. The safety and serious adverse events of approved ALK inhibitors in malignancies: a meta-analysis.Cancer Manag Res. 2019 May 7;11:4109-4118.
[3].Mok T, Camidge DR, Gadgeel SM, et al. Updated overall survival and final progression-free survival data for patients with treatment-naive advanced ALK-positive non-small-cell lung cancer in the ALEX study. Ann Oncol. 2020;31(8):1056-1064.
[4].Zhao D, Chen J, Chu M, Long X, Wang J. Pharmacokinetic-Based Drug-Drug Interactions with Anaplastic Lymphoma Kinase Inhibitors: A Review. Drug Des Devel Ther. 2020;14:1663-1681.
[5].谷瑞雪,邢影,蔡莉.ALK抑制劑治療非小細胞肺癌的研究進展[J].中國腫瘤,2019,28(2):126-131.
*此文僅用於向醫學人士提供科學資訊,不代表本平臺觀點







 
			 
			 
			 
			 
			 
			 
			 
			 
			 
			 
			 
			 
			 
			