肥胖是熟知的心血管疾病、糖尿病、高血壓和多種慢性病的重要危險因素之一, 中國健康協會發布的《中國居民營養與慢性病狀況報告(2020年)》裡提及到目前國內成年人肥胖的比率已超過全人口的50%。在肥胖率上升的同時,肥胖相關的患病率與過去相比也有上升。如今流行全世界的COVID-19傳染病(新型冠狀病毒肺炎)盛行的情況下,英國研究組發現肥胖似乎也成為了造成新冠患者病情嚴重化的危險因素之一。
Lancet:Diabetes Endocrinology期刊今年六月發表了一項大型英國690萬統計人數的佇列研究,稱肥胖的新冠患者被感染後的自我痊癒能力較弱,比起採取居家隔離依靠自身免疫系統攻克病毒發起的感染症狀,更多的肥胖患者的病情嚴重程度達到需要入院治療的程度,他們的治癒情況將面臨更為嚴峻的考驗。該文章名為Associations betweenbody-mass index and COVID-19 severity in 6.9 million people in England: aprospective, community-based, cohort study,研究組運用了大規模人群的資料統計,證實了疫情初發期提起的理論,肥胖本身可能是一個顯著的新冠臨床重症風險因素。
從2020年年初1月24日至2020年4月30日,研究組透過英國2205家社群醫院提供的約691萬個年滿20歲以及上匿名患者的體徵資訊,並運用採集到的體重和身高資訊推算出BMI身體質量指數(Body-Mass Index)數值(kg/m²),由此來衡量人體的胖瘦程度以及是否存在健康隱患。除此之外,性別、人種、民族以及肥胖相關的發病率等相關資料資訊也被納入此研究中。
為了研究肥胖與感染新冠的嚴重程度是否相關,研究組從此六百多萬人群資料裡篩選出感染新冠的患者, 並按照病情的嚴重程度將患者分為三個大類:入院救治、重症監護(ICU)以及治療無效而死亡。透過資料整合,研究組運用了多變數Cox比例風險模型,以隨訪天數為時間變數,推算出每增加一單位BMI與新冠感染後嚴重程度的風險比。
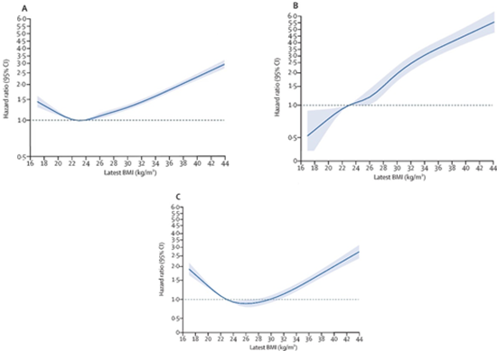
圖1、 BMI與感染新冠後的病情惡化風險相關性比率。
A-入院治療,B- ICU重症監護,C-死亡。
透過採集到的人口體徵資訊和這些人口裡感染新冠的患者情況,研究人員試圖找出BMI是否與感染新冠後的病情嚴重程度相關。資料表明,其中病情的風險值在A-入院救治和C-死亡這兩類嚴重性分類裡, BMI值23 kg/m²似乎成為了一個分水嶺。感染新冠患者的不良預後風險在當BMI值超過23 kg/m²時線性上升, 即使體重只是小幅增加,尤其在住院和死亡的風險率方面。
作者表示肥胖的新冠患者擁有重症風險的原因也許與他們體內的內臟脂肪和脂類異儲積有關(例如過多的脂肪細胞遊離導致附著於異常部位,例如肝,心臟和骨骼肌,過多的體內脂肪導致器官功能性代謝障礙)。雖然肥胖如何使新冠病情惡化的機制尚未明確,基於冠狀病毒入侵人體後需依靠自身的免疫系統與其對抗的基礎上,作者推測肥胖也許是一個促進炎症惡化、降低人體免疫力的引火點。#新冠#
